写在前面
五月,依旧是给自己挖坑,参加了DataWhale的五月自学课堂(从零手搓大模型实战)。
说是从零手搓,但深知自己远远没有大佬水平,达不到研究透透的程度,所以也就是看源码了解下内部逻辑,简简单单写写心得,期望有朝一日也能成为大佬。
So,今天挖的坑让明天的自己哭着来填(哭?哭也是要算时间的!)。
饭得一口一口吃,路得一点一点走。
下面是课程的链接:
本篇博文的所研究学习的源码是Qwen2,链接如下:
https://github.com/huggingface/transformers/tree/v4.39.3/src/transformers/models/qwen2
同时也链接一位大佬的知乎,对Qwen2源码逐行分析讲解,本博文也有一部分借鉴了该作:
本博文里面图来源于课程链接。
开卷开卷!(怎么感觉东西越学越多)
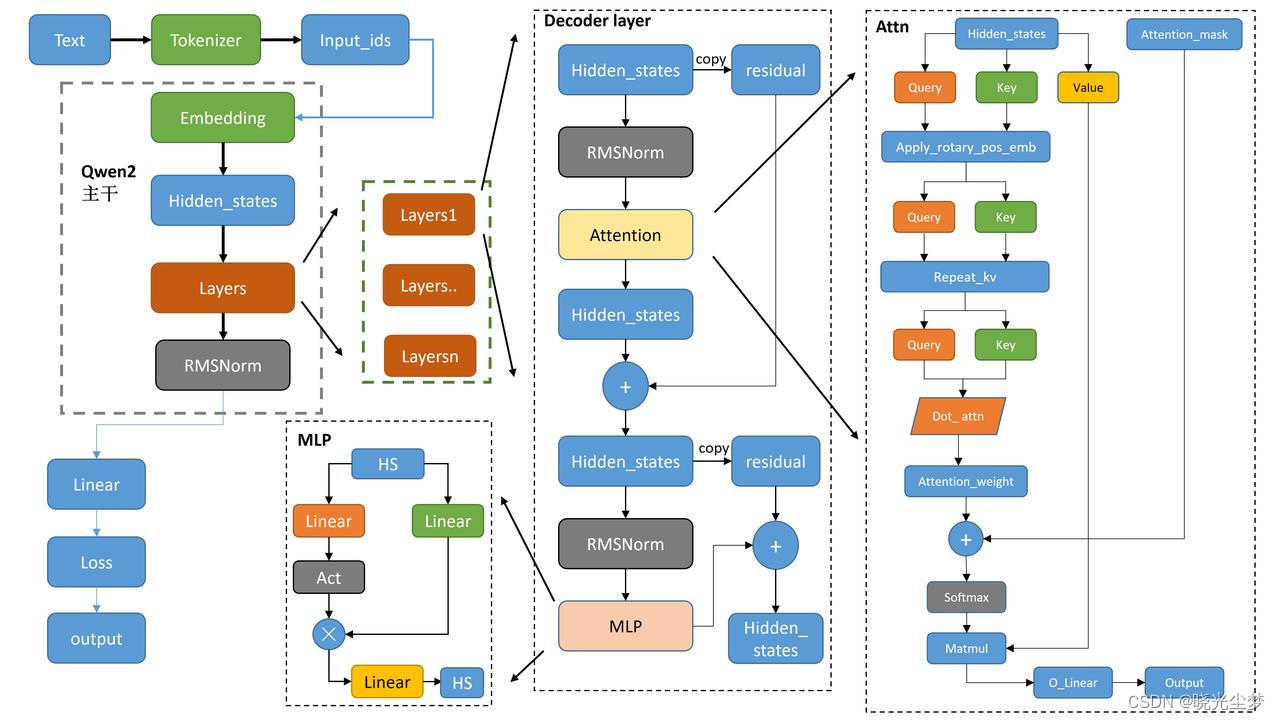
1、Qwen2整体介绍
这张图第一眼看上去确实很唬人,如果从左往右一点点耐心看,还是能看出些端倪。
其核心流程实际上只是最左边Qwen2主干的虚线框区域,文本Text经过词向量化处理后,得到一个向量(这么做的原因是每个文本长度不一样,为了让机器更好学习,便统一编码将其转化为某个固定长度的向量来互相区分,即文本转序列),至此便完成了Tokenizer和Embedding。
在Layers阶段,图中是进行了三次,每一次的Decoder中,输入都会先copy一份用于残差连接(将输入直接加入到输出,为的是防止神经网路的梯度爆炸和消失,也有一定原因是加强输入数据的影响)。
输入经过RMSNorm(通常矩阵计算要进行归一化防止不同特征的取值过大,常用的是layer norm,也就是每一项减去样本的均值,再除以样本的方差;而RMS则是去除了减去均值的操作,以便提升效率)处理后便来到Attn注意力机制。
(关于注意力机制部分之前看过的沐神讲论文,视频链接如下,后续也会补一文写心得)
Transformer论文逐段精读【论文精读】_哔哩哔哩_bilibili
之后再经过MLP数据处理,得到最后的结果。
大致框架如上,打开源码的路径,下面有四个文件:

| configuration_qwen2 | qwen2里面参数的配置文件 |
| modeling_qwen2 | qwen2的主体模型源码 |
| tokenization_qwen2 | qwen2的词向量化代码 |
| tokenization_qwen2_fast | qwen2的词向量化代码 |
注:run_demo是我按照视频教程敲的运行文件,并不是源码里带的。
源码架构如下:
- Qwen2RMSNorm: RMS归一化层
- Qwen2RotaryEmbedding: 旋转位置编码
- Attention
- Qwen2Attention: 注意力层
- Qwen2FlashAttention2: 使用Flash Attention 2.0版本加速的注意力层
- Qwen2SdpaAttention: 使用Sdpa(pytorch自带的加速, Scaled Dot-Product Attention)加速的注意力层
- Qwen2DecoderLayer: 编码层,核心结构,之后就是堆叠
- Qwen2PreTrainedModel: 预训练类
- Qwen2Model: 不带head的Qwen2模型
- Qwen2ForCausalLM: 带Causal LM head的Qwen2模型
- Qwen2ForSequenceClassification: 带序列分类头的Qwen2模型
其它函数简介:
- _get_unpad_data: 在flash attention的数据预处理中会用到.主要是对attention mask进行一些操作.
- rotate_half: 在旋转位置编码中用到
- apply_rotary_pos_emb: 对数据主要是注意力运算中的q,k做旋转位置编码
- repeat_kv: 主要是在MQA(Multi-Query Attention)和GQA(Group-Query Attention)中用到,因为q head数量是k,v head的数量的整数倍
后面的内容基本是围绕modeling_qwen2。
2、源码学习笔记
整体的代码很长,不过有一部分是关于几种注意力机制的不同实现。
按照前面的框架调用流程,逐一看一下源码。
研究学习下面的源码前,应该对照上面调用整体流程的demo示例,也就是run_demo。
1)Qwen2Model
这是Qwen2的主体类,继承了源码里面的Qwen2PreTrainedModel,父类中主要是一些参数设定以及模型中各个层级的权重初始化。
说白了,在这里初始化过程中,就要完成一系列参数设定,便于在forward中使用。
class Qwen2Model(Qwen2PreTrainedModel):
"""
Transformer decoder consisting of *config.num_hidden_layers* layers. Each layer is a [`Qwen2DecoderLayer`]
Args:
config: Qwen2Config,来源于前面提到的configuration_qwen2.py以及自己实际的传参
"""
def __init__(self, config: Qwen2Config):
super().__init__(config)
self.padding_idx = config.pad_token_id
self.vocab_size = config.vocab_size
# 构建主体的embedding
self.embed_tokens = nn.Embedding(config.vocab_size, config.hidden_size, self.padding_idx)
# 构建主体的layers层
self.layers = nn.ModuleList(
[Qwen2DecoderLayer(config, layer_idx) for layer_idx in range(config.num_hidden_layers)]
)
self._attn_implementation = config._attn_implementation
# 创建RMS归一化对象
self.norm = Qwen2RMSNorm(config.hidden_size, eps=config.rms_norm_eps)
# 梯度检查点,一种训练策略
self.gradient_checkpointing = False
# Initialize weights and apply final processing
# 主要是对参数进行初始化
self.post_init()
其中,gradient_checkpointing(梯度检查点)是一种训练优化策略,会降低显卡的内存占用,但相对应的,会延长训练时间。其工作原理是用时间换空间。检查点不保存整个计算所有中间结果帮助进行反向传播的计算,而是在反向传播的过程中重新计算中间结果。
在该类的forward函数中,前面一大堆都是对环境变量的设定与配置,如输入数据的shape,是否梯度检查,是否添加位置信息(注意力机制中的数据位置编码),注意力机制的实现方式等等。配合示意图查看很容易理解。
2)Qwen2DecoderLayer
# 注意力机制的实现方式字典
QWEN2_ATTENTION_CLASSES = {
"eager": Qwen2Attention,
"flash_attention_2": Qwen2FlashAttention2,
"sdpa": Qwen2SdpaAttention,
}
class Qwen2DecoderLayer(nn.Module):
def __init__(self, config: Qwen2Config, layer_idx: int):
super().__init__()
self.hidden_size = config.hidden_size
# 确定注意力机制的实现方式
if config.use_sliding_window and config._attn_implementation != "flash_attention_2":
logger.warning_once(
f"Sliding Window Attention is enabled but not implemented for `{config._attn_implementation}`; "
"unexpected results may be encountered."
)
self.self_attn = QWEN2_ATTENTION_CLASSES[config._attn_implementation](config, layer_idx)
# 多层感知机
self.mlp = Qwen2MLP(config)
# 创建两个对象,RMS标准化
self.input_layernorm = Qwen2RMSNorm(config.hidden_size, eps=config.rms_norm_eps)
self.post_attention_layernorm = Qwen2RMSNorm(config.hidden_size, eps=config.rms_norm_eps)
其中,在设定注意力机制的实现方式时,Qwen2Attention是本博文后面会注释学习的;Qwen2FlashAttention2是使用flash attention进行加速,目前该加速已经是attention计算的必备,只要有GPU加速;Qwen2SdpaAttention为Scaled Dot Product Attention,也是论文《Attention Is All You Need》中提到的。
对于forword函数,配合这部分的示意图更好理解:
def forward(
self,
hidden_states: torch.Tensor,
attention_mask: Optional[torch.Tensor] = None,
position_ids: Optional[torch.LongTensor] = None,
past_key_value: Optional[Tuple[torch.Tensor]] = None,
output_attentions: Optional[bool] = False,
use_cache: Optional[bool] = False,
**kwargs,
) -> Tuple[torch.FloatTensor, Optional[Tuple[torch.FloatTensor, torch.FloatTensor]]]:
if "padding_mask" in kwargs:
warnings.warn(
"Passing `padding_mask` is deprecated and will be removed in v4.37. "
"Please make sure use `attention_mask` instead.`"
)
residual = hidden_states
# 进入注意力前的RMS标准化
hidden_states = self.input_layernorm(hidden_states)
# Self Attention
hidden_states, self_attn_weights, present_key_value = self.self_attn(
hidden_states=hidden_states,
attention_mask=attention_mask,
position_ids=position_ids,
past_key_value=past_key_value,
output_attentions=output_attentions,
use_cache=use_cache,
)
# 残差连接
hidden_states = residual + hidden_states
# Fully Connected
residual = hidden_states
# MLP前面的RMS标准化
hidden_states = self.post_attention_layernorm(hidden_states)
hidden_states = self.mlp(hidden_states)
hidden_states = residual + hidden_states
outputs = (hidden_states,)
if output_attentions:
outputs += (self_attn_weights,)
if use_cache:
outputs += (present_key_value,)
return outputs
3)Qwen2Attention
配合框架图看更容易理解,这个类是注意力机制的实现形式,这部分先直接copy了
class Qwen2Attention(nn.Module):
def __init__(self, config: Qwen2Config, layer_idx: Optional[int] = None):
super().__init__()
self.config = config
self.layer_idx = layer_idx
if layer_idx is None:
logger.warning_once(
f"Instantiating {self.__class__.__name__} without passing `layer_idx` is not recommended and will "
"to errors during the forward call, if caching is used. Please make sure to provide a `layer_idx` "
"when creating this class."
)
self.hidden_size = config.hidden_size
self.num_heads = config.num_attention_heads
self.head_dim = self.hidden_size // self.num_heads
# 键值对的头数
self.num_key_value_heads = config.num_key_value_heads
# 键值对的组数,也就是批次
self.num_key_value_groups = self.num_heads // self.num_key_value_heads
self.max_position_embeddings = config.max_position_embeddings
self.rope_theta = config.rope_theta
self.is_causal = True
self.attention_dropout = config.attention_dropout
if (self.head_dim * self.num_heads) != self.hidden_size:
raise ValueError(
f"hidden_size must be divisible by num_heads (got `hidden_size`: {self.hidden_size}"
f" and `num_heads`: {self.num_heads})."
)
# 构建注意力机制的q,k,v,以及框架中新填的o四个线性层
self.q_proj = nn.Linear(self.hidden_size, self.num_heads * self.head_dim, bias=True)
self.k_proj = nn.Linear(self.hidden_size, self.num_key_value_heads * self.head_dim, bias=True)
self.v_proj = nn.Linear(self.hidden_size, self.num_key_value_heads * self.head_dim, bias=True)
self.o_proj = nn.Linear(self.num_heads * self.head_dim, self.hidden_size, bias=False)
# 构建旋转位置嵌入编码的对象
self.rotary_emb = Qwen2RotaryEmbedding(
self.head_dim,
max_position_embeddings=self.max_position_embeddings,
base=self.rope_theta,
)
至于forword,也是直接copy,不过这部分注意力机制新添了旋转位置嵌入操作,在本博文后面进行理解学习。
关于注意力部分实现方式理解呢,更多是结合之前看的沐神讲论文,详细内容还是打算放在新的博文章节里了,之后会重新编辑此博文放出链接。(才不是要交作业了,内容太多来不及编辑呢)
源码里面的步骤是:
- 首先将hidden_states送入Linear中得到query、key与value。
- 使用旋转位置嵌入操作rotary_emb,使用了旋转位置嵌入的余弦和正弦部分,将他们与query和key相乘,并将结果相加,从而实现旋转位置嵌入的效果。
- 将key_states和value_states重复group次,再执行dot attn操作。
- 在dot attn操作后得到attn_weights,加上attention_mask从而实现读取掩盖操作,在经过softmax与value_states相乘。得到attn_output。
- 再将上述的attn_output进行reshape操作,送入o_proj,得到最终的输出。
def forward(
self,
hidden_states: torch.Tensor,
attention_mask: Optional[torch.Tensor] = None,
position_ids: Optional[torch.LongTensor] = None,
past_key_value: Optional[Cache] = None,
output_attentions: bool = False,
use_cache: bool = False,
**kwargs,
) -> Tuple[torch.Tensor, Optional[torch.Tensor], Optional[Tuple[torch.Tensor]]]:
if "padding_mask" in kwargs:
warnings.warn(
"Passing `padding_mask` is deprecated and will be removed in v4.37. Please make sure use `attention_mask` instead.`"
)
# 获取形状信息,hidden_states输入的为(bs,T,hd)
bsz, q_len, _ = hidden_states.size()
# 对hidden_states进行Linear生成query、key、value
query_states = self.q_proj(hidden_states)
key_states = self.k_proj(hidden_states)
value_states = self.v_proj(hidden_states)
# reshape多头处理--分块--(bs,T,heads,hd_d)
query_states = query_states.view(bsz, q_len, self.num_heads, self.head_dim).transpose(1, 2)
key_states = key_states.view(bsz, q_len, self.num_key_value_heads, self.head_dim).transpose(1, 2)
value_states = value_states.view(bsz, q_len, self.num_key_value_heads, self.head_dim).transpose(1, 2)
kv_seq_len = key_states.shape[-2]
if past_key_value is not None:
if self.layer_idx is None:
raise ValueError(
f"The cache structure has changed since version v4.36. If you are using {self.__class__.__name__} "
"for auto-regressive decoding with k/v caching, please make sure to initialize the attention class "
"with a layer index."
)
kv_seq_len += past_key_value.get_usable_length(kv_seq_len, self.layer_idx)
# 将旋转位置嵌入应用于查询和键张量。使用了旋转位置嵌入的余弦和正弦部分,将它们与查询和键张量相乘,并将结果相加,从而实现旋转位置嵌入的效果
cos, sin = self.rotary_emb(value_states, seq_len=kv_seq_len)
query_states, key_states = apply_rotary_pos_emb(query_states, key_states, cos, sin, position_ids)
if past_key_value is not None:
cache_kwargs = {"sin": sin, "cos": cos} # Specific to RoPE models
key_states, value_states = past_key_value.update(key_states, value_states, self.layer_idx, cache_kwargs)
# repeat k/v heads if n_kv_heads < n_heads
# 先将key_states和value_states重复了num_key_value_groups次
key_states = repeat_kv(key_states, self.num_key_value_groups)
value_states = repeat_kv(value_states, self.num_key_value_groups)
# 使用dot attn实现q*kT/hd_d^0.5
attn_weights = torch.matmul(query_states, key_states.transpose(2, 3)) / math.sqrt(self.head_dim)
if attn_weights.size() != (bsz, self.num_heads, q_len, kv_seq_len):
raise ValueError(
f"Attention weights should be of size {(bsz, self.num_heads, q_len, kv_seq_len)}, but is"
f" {attn_weights.size()}"
)
if attention_mask is not None:
if attention_mask.size() != (bsz, 1, q_len, kv_seq_len):
raise ValueError(
f"Attention mask should be of size {(bsz, 1, q_len, kv_seq_len)}, but is {attention_mask.size()}"
)
# 然后 attn_weights 加上 attention_mask,实现读取顺序
attn_weights = attn_weights + attention_mask
# upcast attention to fp32
# softmax + dropout + values_states相乘
attn_weights = nn.functional.softmax(attn_weights, dim=-1, dtype=torch.float32).to(query_states.dtype)
attn_weights = nn.functional.dropout(attn_weights, p=self.attention_dropout, training=self.training)
attn_output = torch.matmul(attn_weights, value_states)
if attn_output.size() != (bsz, self.num_heads, q_len, self.head_dim):
raise ValueError(
f"`attn_output` should be of size {(bsz, self.num_heads, q_len, self.head_dim)}, but is"
f" {attn_output.size()}"
)
# 转置,修改形状等reshape操作
attn_output = attn_output.transpose(1, 2).contiguous()
attn_output = attn_output.reshape(bsz, q_len, self.hidden_size)
# 最后在进行一次o_proj
attn_output = self.o_proj(attn_output)
if not output_attentions:
attn_weights = None
return attn_output, attn_weights, past_key_value
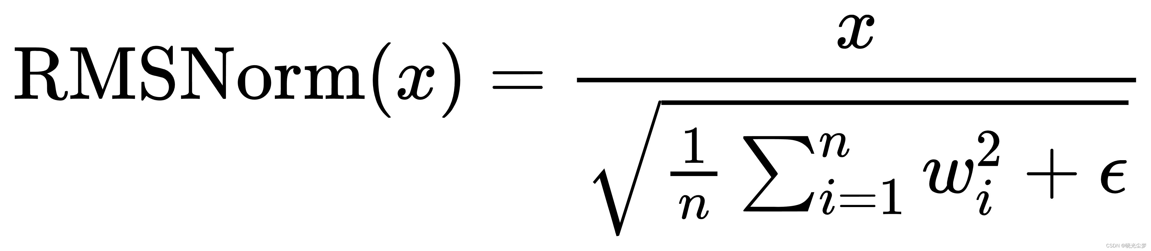
4)Qwen2RMSNorm
配合公式,就是计算均方根标准化。这里也就把教程里面的copy过来了。

其中,x为输入的矩阵数据,wi为最后一个维度的值,n表示最后一个维度的数量。
class Qwen2RMSNorm(nn.Module):
def __init__(self, hidden_size, eps=1e-6):
"""
Qwen2RMSNorm is equivalent to T5LayerNorm
"""
super().__init__()
self.weight = nn.Parameter(torch.ones(hidden_size))
# 设置这部分主要是为了防止除数为0,所以加一个小数
self.variance_epsilon = eps
def forward(self, hidden_states):
input_dtype = hidden_states.dtype
# 将数据转为torch.float32,保证足够的精度下,也有较快的运行速度
# 尤其时数据量比较大的情况下
hidden_states = hidden_states.to(torch.float32)
# 计算方差,这里keepdim是均值时保留维度,确保下面与hidden_states进行矩阵运算
variance = hidden_states.pow(2).mean(-1, keepdim=True)
# 数学计算公式
hidden_states = hidden_states * torch.rsqrt(variance + self.variance_epsilon)
return self.weight * hidden_states.to(input_dtype)
5)Qwen2MLP
配合结构示意图,这个类平平无奇,很传统的多层感知机,copy一下再额外加些注释:
class Qwen2MLP(nn.Module):
def __init__(self, config):
super().__init__()
self.config = config
# 设定网络尺寸
self.hidden_size = config.hidden_size
self.intermediate_size = config.intermediate_size
# 三个全连接层
self.gate_proj = nn.Linear(self.hidden_size, self.intermediate_size, bias=False)
self.up_proj = nn.Linear(self.hidden_size, self.intermediate_size, bias=False)
self.down_proj = nn.Linear(self.intermediate_size, self.hidden_size, bias=False)
# ACT2FN是自定义的一系列激活函数字典,config的定义来获取这里用到的激活函数类型
self.act_fn = ACT2FN[config.hidden_act]
def forward(self, x):
# 两个尺寸相同的网络,其中一个经过激活后与另一个结果相乘,得到的结果过第三层
return self.down_proj(self.act_fn(self.gate_proj(x)) * self.up_proj(x))
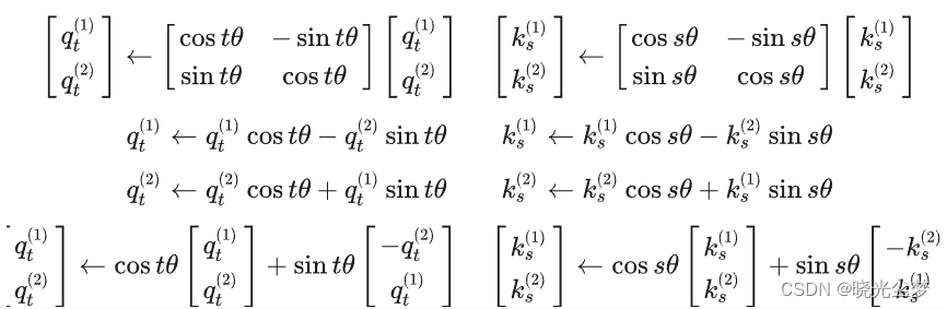
6)Qwen2RotaryEmbedding
位置编码类,主要作用是在于使用绝对编码方式完成了相对位置编码,这有利于提升模型的长度外推能力(训练数据的长度较短,推理数据的长度较长)
(说实话,这部分确实理论性很强,也需要一定的数学知识,看懂更需要一定的耐心)
copy教程中的图,先是第一张图,其中n为数据量,d为每个数据量的维度, R为位置编码矩阵,s,t为token的两个位置(这也是第一行中,为什么s-t说是相对位置编码,最后面的是绝对位置编码),W为权重矩阵,x为对应数据,Q,K对应于注意力机制。

第二张图:这三行箭头右边是一步步推到下来的。
因为cos的平方+sin的平方为1,所以第一行箭头两边等价;展开箭头右边便得到第二行;将箭头右边的cos合并,sin合并,也就是第三行。

第三图,是将上面的二维转化为d维度,正常奇偶相互交错,也就是第一行的式子,为了方便sin的计算,就进行了前后切半。

5034

被折叠的 条评论
为什么被折叠?



