文章目录
图像分类
图形分类介绍
对于输入的图像赋予一个标签,这个标签在指定的集合中。
例如:

图片也可以看成数组(大型三维数组)。
挑战:
1、单个物体从不同角度照的照片。
2、图像大小的问题(大头贴,全身照)
3、物体形状(水 冰)
4、遮挡问题
5、光照影响(白天 晚上)
6、物体和环境融合
7、同一个对象有不懂类别(椅子)
近邻分类器
- 数据驱动方式
提供每个类别的很多样本,进行算法学习,去识别,也就是用更多的情况去学习。
我们以CIFAR-10的例子进行介绍近邻分类器是如何进行分类。简单介绍一下该数据集,这个数据集由60000个32像素⾼和宽组成的⼩图像组成。每个图像都被标记为10个类之⼀(例如 ⻜机、汽⻋、⻦等),6W张图片,每个类别6K张,其中已经划分好了训练集5W个,测试集1W张图片。
这个算法需要比较距离,具体怎么进行距离之间的比较,有很多种方法,但是我们所使用的方法是L1距离,也就是图片中,每个像素点之间的差值绝对值,当做距离。
分类器及损失
基于图像像素映射的分类评分函数
SVM好人Softmax线性分类及其损失函数特点原理
线性分类

也就是我们的分类器是三条直线来区别类别:

W每一行对应一个分类器。权重是怎么去得到的?
学习到的权重:解释,w的每一行对应于其中一个类的模板。然后,通过使用内部积逐个比较叫每个模板和图像来获得图像的而每个类的分数,以找到“最适合”的模板。
存在问题:每个类别只能学到一个模板,学习能力是有限的。无法进行非线性分类。
损失函数

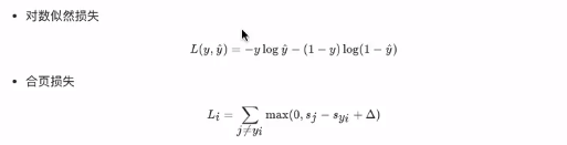
多分类的损失?hinge loss和交叉熵损失
hinge loss (合页损失)

本文深入探讨图像分类技术,包括面临的挑战、近邻分类器的工作原理、线性分类器及其损失函数,对比SVM与Softmax分类器的区别,并讨论了softmax函数的数据稳定性问题。
最低0.47元/天 解锁文章
2159

被折叠的 条评论
为什么被折叠?



