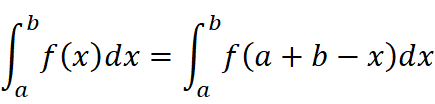
区间再现公式
区间再现
区间再现公式在不改变积分上下限的情况下实现了换元

将原积分中的 x 替换成 (a+b-x),即上下限之和与x的差,因此被称为“区间再现”,这种方法通常应用在含有三角函数得定积分计算上
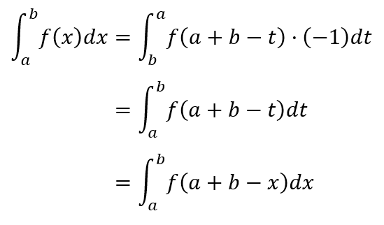
证明
定义未知数t,使得
![]()
则
![]()

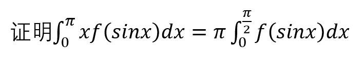
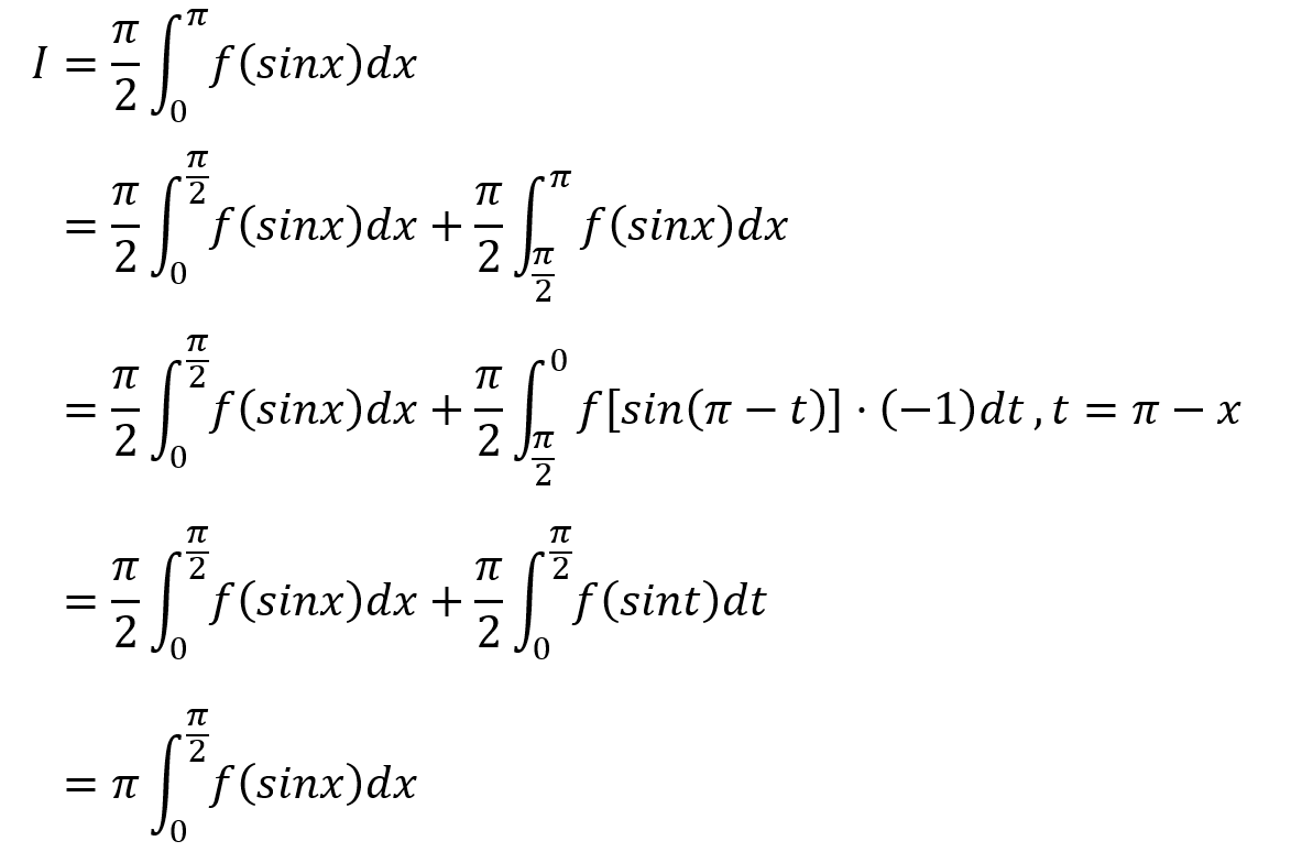
经典例题

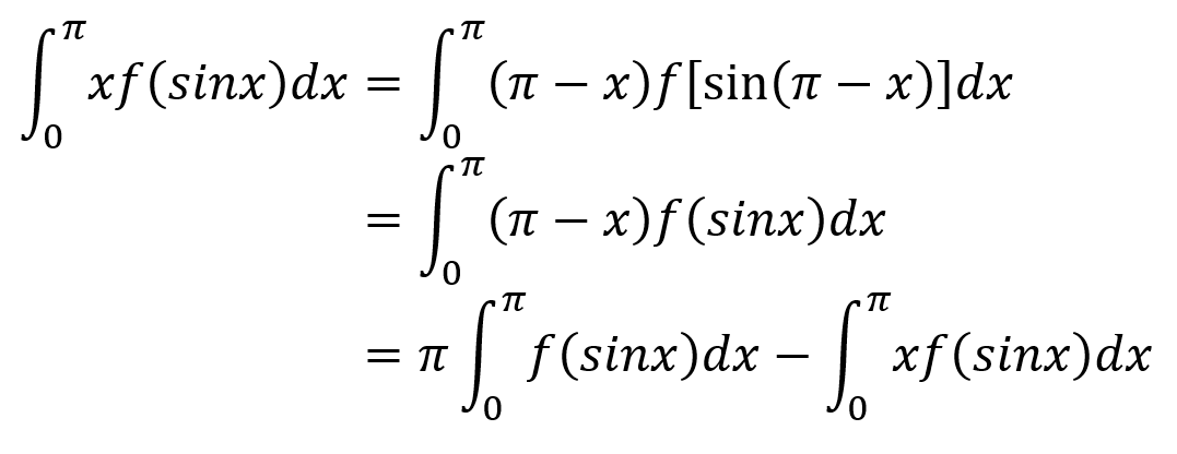
使用区间再现公式,得

令

移项得

公式推广
推广公式
若函数f(x),g(x)满足f(x)=f(a+b-x),g(x)+g(a+b-x)=m,则

证明

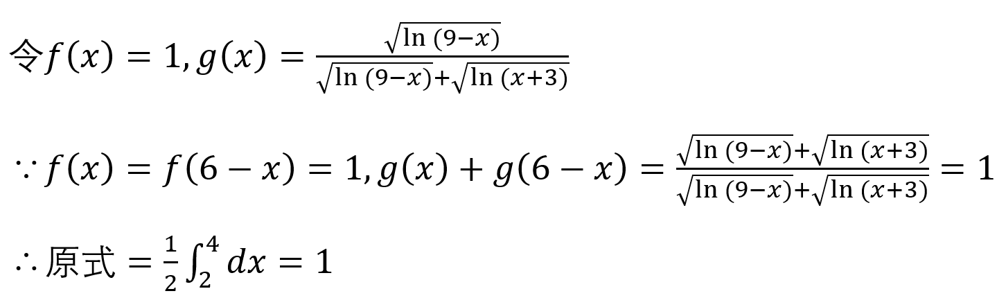
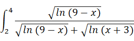
例题1

本题是48届美国大学生数学竞赛(B-1)赛题,解答方法如下

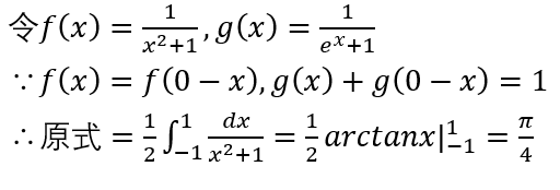
例题2

本题是前苏联奥林匹克数学竞赛试题,解答方法如下

本文深入探讨了区间再现公式的原理和应用,通过变换变量实现积分计算的简化。介绍了如何利用该公式解决含有三角函数的定积分问题,并通过两个经典例题进行详细解答,包括美国大学生数学竞赛和前苏联奥林匹克数学竞赛的题目。此外,还推广了公式的一般形式及其证明。
https://blog.dearxuan.com/2022/05/07/%E5%8C%BA%E9%97%B4%E5%86%8D%E7%8E%B0%E5%85%AC%E5%BC%8F%E7%9A%84%E7%90%86%E8%A7%A3%E4%B8%8E%E5%BA%94%E7%94%A8/
2340

被折叠的 条评论
为什么被折叠?



