基于短时傅里叶变换的同步压缩变换原理
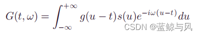
新的短时傅里叶变换(STFT)被定义为

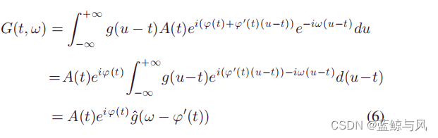
考虑一个单分量信号

对相位φ(t)\varphi (t)φ(t)进行泰勒展开,并丢弃二阶以及高阶项。

将上式带入STFT后,可得

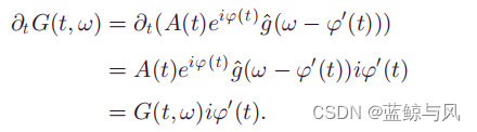
关于上式对时间ttt求导,得到关于瞬时频率φ′(t){\varphi}' (t)φ′(t)的表达式,

解出瞬时频率φ′(t){\varphi}' (t)φ′(t),可得

因此,把它作为瞬时频率估计式,定义同步压缩变换为

同步压缩变换以及大多数改进版本都是同样的套路,基于一个新的时频分析工具定义一个新的瞬时频率估计式,然后定义一个新的同步压缩变换。
Matlab代码
function [Ts] = SST(x,hlength);
% Computes the SST (Ts) of the signal x.
% INPUT
% x : Signal needed to be column vector.
% hlength: The hlength of window function.
% OUTPUT
% Ts : The SST
% Written by YuGang in Shandong University at 2016.5.13.
[xrow,xcol] = size(x);
if (xcol~=1),
error('X must be column vector');
end;
if (nargin < 1),
error('At least 1 parameter is required');
end;
if (nargin < 2),
hlength=round(xrow/5);
end;
Siglength=xrow;
hlength=hlength+1-rem(hlength,2);
ht = linspace(-0.5,0.5,hlength);ht=ht';
% Gaussian window
h = exp(-pi/0.32^2*ht.^2);
% derivative of window
dh = -2*pi/0.32^2*ht .* h; % g'
[hrow,hcol]=size(h); Lh=(hrow-1)/2;
N=xrow;
t=1:xrow;
[trow,tcol] = size(t);
tfr1= zeros (N,tcol) ;
tfr2= zeros (N,tcol) ;
tfr= zeros (round(N/2),tcol) ;
Ts= zeros (round(N/2),tcol) ;
for icol=1:tcol,
ti= t(icol); tau=-min([round(N/2)-1,Lh,ti-1]):min([round(N/2)-1,Lh,xrow-ti]);
indices= rem(N+tau,N)+1;
rSig = x(ti+tau,1);
%rSig = hilbert(real(rSig));
tfr1(indices,icol)=rSig.*conj(h(Lh+1+tau));
tfr2(indices,icol)=rSig.*conj(dh(Lh+1+tau));
end;
tfr1=fft(tfr1);
tfr2=fft(tfr2);
tfr1=tfr1(1:round(N/2),:);
tfr2=tfr2(1:round(N/2),:);
ft = 1:round(N/2);
bt = 1:N;
%%operator omega
nb = length(bt);
neta = length(ft);
va=N/hlength;
omega = zeros (round(N/2),tcol);
for b=1:nb
omega(:,b) = (ft-1)'+real(va*1i*tfr2(ft,b)/2/pi./tfr1(ft,b));
end
omega=round(omega);
for b=1:nb%time
% Reassignment step
for eta=1:neta%frequency
if abs(tfr1(eta,b))>0.0001%you can set much lower value than this.
k = omega(eta,b);
if k>=1 && k<=neta
Ts(k,b) = Ts(k,b) + tfr1(eta,b);
end
end
end
end
Ts=Ts/(xrow/2);
end
实验结果


[1] Gang Y , Yu M , Xu C . Synchroextracting Transform[J]. IEEE Transactions on Industrial Electronics, 2017, 64(10):8042-8054.
[2] Yu G , Wang Z , Zhao P . Multisynchrosqueezing Transform[J]. Industrial Electronics, IEEE Transactions on, 2018.

633





