Description
传送门
给定一张 N 个点,M 条边的无向图,边有红、绿、蓝三种颜色,分别用 1,2,3 表示。
求这张图有多少生成树,满足绿色边数量不超过 x,蓝色边数量不超过 y,答案对10^9 + 7 取模。
1 ≤ N ≤ 40,1 ≤ M ≤ 10^5
矩阵树定理
- 专门用来处理无向连通图生成树有关的计数问题。
- 首先定义基尔霍夫(Kirchhoff)矩阵为 度 数 矩 阵 A − 邻 接 矩 阵 E 度数矩阵A-邻接矩阵E 度数矩阵A−邻接矩阵E(都是n阶的)。 A [ i ] [ i ] A[i][i] A[i][i]为点i的度数。 E [ i ] [ j ] = 1 E[i][j]=1 E[i][j]=1表示 i , j i,j i,j有一条边。
- 定理内容:该矩阵的任意一个代数余子式相等,且生成树的个数即为该矩阵的任意一个代数余子式。(代数余子式即挖掉某一行某一列后剩下的 n − 1 n-1 n−1阶的矩阵的行列式)。
- 运用高斯消元即可做到 n 3 n^3 n3的时间复杂度。
矩阵树定理的推广
- 广义上来说求得的应该是所有生成树的边权乘积之和。对于简单的无向图来说边权就是1,就可以套用上面的结论。如果 ( i , j ) (i,j) (i,j)间有很多条平行边,那么对应的邻接矩阵的位置也就不是1了,而是边的条数,相当于是套了一个权值。
- 由于求行列式是一系列相乘的计算的,所以我们矩阵的元素还可以是多项式(具体参照这道题目),而求行列式的过程涉及到了多项式乘法。应该注意到的是,度数也要根据组成的不同分成多项式。
Solution
- 首先这道题目显然与矩阵树定理密切相关。
- 而多种颜色的边我们可以用多项式表示,每一对 ( i , j ) (i,j) (i,j)的边权可以用(a+bx+cy)表示,常数项,x的系数,y的系数分别表示红绿蓝。那么求行列式的多项式乘法最终的答案也是一个多项式, x i y j x^iy^j xiyj的系数自然就是 i i i条绿, j j j条蓝边的方案数。
- 感性理解。
- 那么问题在于模数和时间复杂度,使得我们不能直接用多项式乘法,求逆去做高斯消元求行列式。
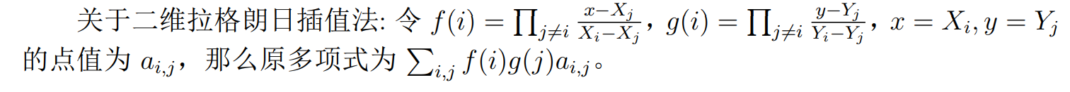
- 注意到最后次数在n以内,所以我们拿出我们处理多项式问题的又一利器——拉格朗日插值。我们直接暴力
n
2
n^2
n2枚举n种i,n种j,做二维的拉格朗日插值即可。二维的拉格朗日插值与一维的大同小异。

- 至此我们需要 n 2 n^2 n2枚举 i , j i,j i,j,里面一个 n 3 n^3 n3的行列式,以及一个 n 2 n^2 n2的多项式暴力乘法.
- O ( n 5 ) O(n^5) O(n5)
#include<cstdio>
#include<cmath>
#include<cstring>
#include<algorithm>
#define maxn 41
#define ll long long
#define mo 1000000007
using namespace std;
int n,m,i,j,k,cx,cy,du[maxn],x,y,z,a[maxn][maxn][3];
ll inv[maxn],F[maxn][maxn],A[maxn][maxn],X[maxn],Y[maxn],Z[maxn];
void read(int &x){
x=0; char ch=getchar();
for(;ch<'0'||ch>'9';ch=getchar());
for(;ch>='0'&&ch<='9';ch=getchar()) x=x*10+ch-'0';
}
ll ksm(ll x,ll y){
ll s=1;
for(;y;y/=2,x=x*x%mo) if (y&1)
s=s*x%mo;
return s;
}
ll Gauss(int x,int y){
for(i=1;i<n;i++) for(j=1;j<n;j++)
A[i][j]=-a[i][j][0]-a[i][j][1]*x-a[i][j][2]*y;
for(i=1;i<n;i++) {
A[i][i]=0;
for(j=1;j<=n;j++)
A[i][i]+=a[i][j][0]+a[i][j][1]*x+a[i][j][2]*y;
}
ll ans=1;
for(i=1;i<n;i++) {
if (!A[i][i]) {
for(j=i+1;j<n;j++) if (A[j][i]){
ans=-ans;
for(k=1;k<n;k++) swap(A[i][k],A[j][k]);
break;
}
if (!A[i][i]) return 0;
}
int inv0=ksm(A[i][i],mo-2); ans=ans*A[i][i]%mo;
for(j=i;j<n;j++) A[i][j]=A[i][j]*inv0%mo;
for(j=i+1;j<n;j++) for(k=n-1;k>=i;k--)
(A[j][k]-=A[j][i]*A[i][k])%=mo;
}
for(i=1;i<n;i++) ans=ans*A[i][i]%mo;
return ans;
}
int main(){
read(n),read(m),read(cx),read(cy);
for(i=1;i<=n;i++) inv[i]=ksm(i,mo-2);
for(i=1;i<=m;i++) {
read(x),read(y),read(z);
a[x][y][z-1]++,a[y][x][z-1]++;
du[x]++,du[y]++;
}
for(x=1;x<=n;x++) for(y=1;y<=n;y++){
ll tmp=Gauss(x,y);
memset(X,0,sizeof(X)),memset(Y,0,sizeof(Y));
X[0]=Y[0]=1;
for(k=0,i=1;i<=n;i++) if (i!=x){
tmp=tmp*inv[abs(x-i)]%mo*((x>i)?1:-1);
for(j=++k;j>=1;j--) X[j]=(-X[j]*i+X[j-1])%mo;
X[0]=-X[0]*i%mo;
}
for(k=0,i=1;i<=n;i++) if (i!=y){
tmp=tmp*inv[abs(y-i)]%mo*((y>i)?1:-1);
for(j=++k;j>=1;j--) Y[j]=(-Y[j]*i+Y[j-1])%mo;
Y[0]=-Y[0]*i%mo;
}
for(i=0;i<n;i++) for(j=0;j<n;j++)
F[i][j]+=X[i]*Y[j]%mo*tmp%mo;
}
for(i=0;i<n;i++) for(j=0;j<n;j++)
F[i][j]=(F[i][j]%mo+mo)%mo;
ll ans=0;
for(i=0;i<=cx;i++) for(j=0;j<=cy;j++)
ans+=F[i][j]%mo;
printf("%lld",(ans%mo+mo)%mo);
}

230

被折叠的 条评论
为什么被折叠?



