前言
电容在电子电路中扮演关键角色,能够存储电荷、滤波、耦合信号并稳定电压。它广泛用于电源管理、信号处理、时序控制等领域,直接影响电路的性能与可靠性。
一、电容分类
电容按照材料来分,主要分为:

注意:对于有极性电容,无论是直插式还是贴片式,在焊接时都应注意正负极,别接反了,一般直插式的有极性电容是长正短负,而且负极会有--的标识。
二、公式推导
电容C是为了方便表示单位电压下的电荷量而引入的物理量,单位为法拉(F)。C的大小与两极板面积成正比,与两极板间距离成反比。

我们可以通过分析电容的电压和电流公式得到:电容只有两端的电压变化时,电容才有电流流过,电容通交流。
三、电容性质
1.惯性元件
电容两端电压不突变,由上述公式可知,如果电容两端电压突变,电流则趋于无穷大。正是由于电容两端电压不突变,所以一般电路板不供电时,电容中还留有一定的电荷,需要并联放电电阻。
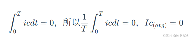
2、安秒积平衡——平均电流为0
根据电容电压不突变,得到下述公式:

可见,安秒积是平衡的,由此可得电容上的电流平均值为0:

电容上的平均电流为0,意味着电容中直流分量为0,那么电容对直流量就相当于短路,电容通交隔直。
3、储能元件
这个性质使得电容的应用很广泛,电容储存的能量为:
电容可以快速地充放电,电容储存的能量与电压的平方成正比,一般来说,电容的耐压值越高,电容储能越多,电容体积越大,像超级电容。
- 应用:
根据电容的储能性质,可以将电容暂时作为一个小电源,例如自举电容
(场景:如果MOS管12V导通,用5V的单片机控制MOS管,这里就需要电容,过程如下:)
1. **充电阶段**:
- MOS管关闭时,电源通过二极管给电容充电(电容两端电压≈电源电压,比如12V)。
2. **放电阶段**:
- MOS管导通时,电容的电压“叠加上”源极电压,临时把栅极电压举高(比如12V电容 + 5V源极 = 17V栅极电压),确保MOS管完全导通。
**通俗比喻**:
就像你踩凳子够高处的物品——电容是那个“凳子”,短暂把你(栅极电压)垫高
但是应注意,电容放电是非常迅速的,电容和电池;作为电源是不同的,如果想用电容作为稳定的电源,还应该加入线性稳压源进行稳压。
注意:电池和电容的区别:
电容放电迅速,电压线性下降,多应用于高功率脉冲、短时供电场合,电池可提供持续的能量,放电缓慢。

4、滤波元件
电容容抗:
可见,对于干扰信号频率越高,容抗越小;反之亦然——电容通高频阻低频;
应用:旁路电容在电源和地之间加入瓷片电容滤除干扰。还有很多种应用,比如X电容、Y电容等等。
实际电容的等效模型包括一个等效串联电阻(ESR)和一个等效串联电感(ESL),这些元件与理想电容器串联在一起。


根据自控原理的知识,分析电容的幅频特性曲线,当频率值在谐振频率点附近时,电容的滤波效果最好,对于不同的电容谐振频率点不同,一般会将不同电容并联组合来提高阻抗特性,进行更好的滤波。在应用中,由于电解电容低频、瓷片电容滤高频,会将两者并联改善滤波效果。
四、电容选型
- 电容的单位(法拉)

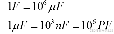
- 电容的容值在读取时,不同的电容读法可能不同,上网搜索即可,常用的瓷片电容就是有效数字加倍乘,单位是PF。例如473,就是47*10的3次方PF,即47nF。
- 耐压值:在选取电容耐压值时,有一搬留有一定的余量,取额定电压的80%。
总结
电容的纹波电压主要是因为电流流经电容内部的等效电阻所造成的。
3038

被折叠的 条评论
为什么被折叠?



