深度学习模型组件-AdaIN-自适应实例归一化(Adaptive Instance Normalization, AdaIN)

AdaIN-自适应实例归一化(Adaptive Instance Normalization, AdaIN)

自适应实例归一化(AdaIN)是一种用于风格迁移(Style Transfer)和图像生成的归一化方法,由 Huang & Belongie 在 2017 年提出。其核心思想是让目标风格图像的统计信息(均值和标准差)直接影响内容图像的特征,从而实现风格转换。AdaIN 主要用于 风格化生成任务,如 StyleGAN 和图像风格迁移(Style Transfer)等。


1. AdaIN 公式

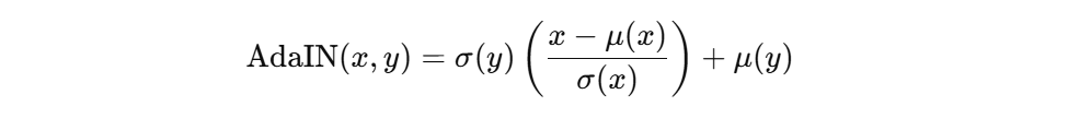
给定一个内容特征图 x 和一个风格特征图 y,AdaIN 的计算公式如下:

在这里插入图片描述

其中:

  • x内容特征,通常由CNN提取;
  • y风格特征,由风格图像计算得出;
  • μ(x), σ(x) 分别是 内容特征的均值和标准差
  • μ(y), σ(y) 分别是 风格特征的均值和标准差

解释

  1. 归一化(Normalization):先对内容特征x 进行实例归一化(Instance Normalization),即去掉它的均值并除以标准差,使其变成标准正态分布(均值为 0,标准差为 1)。
  2. 调整均值和标准差(Rescaling and Shifting):用风格特征 y 的均值 μ(y) 和标准差 σ(y)重新调整内容特征,使其的统计信息匹配风格图像,从而达到风格迁移的效果。

2. AdaIN 的核心思想

(1) 为什么使用均值和标准差?

  • 均值 表示图像的整体色调,比如明亮或暗淡。
  • 标准差 反映图像的对比度或纹理分布,如粗糙或光滑。
  • 通过调整内容特征的均值和标准差,使其匹配风格图像的统计信息,就可以在保留内容的同时注入风格信息。

(2) 相比 Batch Normalization(BN)和 Instance Normalization(IN)

归一化方式计算方式主要用途归一化范围
Batch Normalization(BN)计算整个 batch 内的均值和标准差训练深度网络,稳定梯度在 batch 维度上
Instance Normalization(IN)计算单个样本(每个通道)的均值和标准差风格迁移(基本形式)在单个样本的每个通道上
Adaptive Instance Normalization(AdaIN)用风格特征的均值和标准差替换内容特征的风格迁移、GAN融合风格和内容

3. AdaIN 在 Style Transfer 和 GAN 生成任务中的应用

(1) 经典风格迁移

AdaIN 最初用于风格迁移任务(Style Transfer),相比传统的基于VGG-19的风格损失方法(如 Gatys et al. 2016),AdaIN 直接利用风格图像的均值和标准差来调整内容图像的特征,简化了计算过程,并且不需要复杂的风格损失,只需通过前馈网络即可实现风格化。

流程

  1. 提取内容图像和风格图像的特征。
  2. 使用 AdaIN 归一化内容图像,使其风格化。
  3. 经过解码器(Decoder)将特征重建回图像。

这种方法在运行速度上远超基于风格损失的方法,同时效果也更自然。


(2) StyleGAN(风格生成网络)

AdaIN 也成为 StyleGAN 生成对抗网络的核心组件之一。在 StyleGAN 中:

  • 生成器采用 映射网络(Mapping Network) 将输入噪声 z 映射到一个潜在空间 w。
  • 这个w向量被用于调整 AdaIN 层的均值和标准差,实现可控的风格变化
  • 这样,StyleGAN 通过 AdaIN 控制不同尺度的风格特征,比如低层决定整体面部结构,高层控制细节(如皮肤纹理、发型等)。

StyleGAN 利用 AdaIN 的优点:

  • 通过 均值和标准差调控风格,可实现风格平滑插值(Style Mixing)。
  • 通过多层 AdaIN 分层控制不同尺度的风格,生成多样化的图像。

4. 总结

  • AdaIN(自适应实例归一化) 是一种归一化方法,主要用于风格迁移和 GAN 生成任务。
  • 它的核心思想是用风格图像的 均值和标准差 调整内容图像的特征,从而实现风格控制。
  • 相比传统的风格迁移方法,AdaIN 更高效,无需复杂的损失计算,只需前馈网络即可完成。
  • StyleGAN 中,AdaIN 通过 潜在向量 w 控制风格,使生成图像更加多样化和可控。
评论
添加红包

请填写红包祝福语或标题

红包个数最小为10个

红包金额最低5元

当前余额3.43前往充值 >
需支付:10.00
成就一亿技术人!
领取后你会自动成为博主和红包主的粉丝 规则
hope_wisdom
发出的红包
实付
使用余额支付
点击重新获取
扫码支付
钱包余额 0

抵扣说明:

1.余额是钱包充值的虚拟货币,按照1:1的比例进行支付金额的抵扣。
2.余额无法直接购买下载,可以购买VIP、付费专栏及课程。

余额充值