1. 二叉树
二叉树是一种常用的数据结构,是树这种数据机构的一种特例。它最多只有两个子节点,且如果有两个子节点,两个子节点之间是有顺序的,一个称为左孩子节点,一个称为右孩子节点。
每个节点的构造如下:
class TreeNode:
def __init__(self, x):
self.val = x
self.left = None
self.right = None
其中 val 是本节点的值,left 指向左孩子节点,right 指向右孩子节点。
2. DFS 深度优先遍历
深度遍历:对于一个节点 node,在它向下的分支中选择一条分支一直走下去,知道走到叶子节点并原路返回到节点 node,再选择另一条分支走,直到没有分支可走。
听上去有点抽象,我们从例子看看。
2.1 先序遍历:本节点 --> 左分支 --> 右分支

本图来自 leetcode 树的遍历
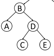
- 我们都是从根节点开始:顺序是本节点 --> 左分支 -->右分支。假设遍历结构放入数组 res 中,现在则为 [F]
- 然后根节点的左分支,即为这一部分,同样的本节点 --> 左分支 -->右分支,此时 res = [F, B]

- 继续左子树:这时候到达叶子节点 A,res = [F, B, A]
- 然后回到 B 为根节点的子树中,此时对于这个子树,B 和 A 都已经访问了,自然进入 B 的右子树中,然后按照规则继续,则 res = [F, B, A, D, C, E]
- 然后回到根节点,这个时候对于根节点来说自身和左分支已经遍历完成了,此时自然进入右分支,按照规则,最后的 res = [F, B, A, D, C, E, G, I, H]
2.2 中序遍历:左分支 --> 本节点 --> 右分支

- 我们都是从根节点开始:顺序是左分支 --> 本节点 --> 右分支。假设遍历结构放入数组 res 中,现在则为 []
- 然后根节点的左分支,即为这一部分,同样的左分支 --> 本节点 --> 右分支,此时 res = []

- 继续左子树:这时候到达叶子节点 A,res = [A]
- 然后回到 B 为根节点的子树中,此时对于这个子树,A 左分支都已经访问了,自然先遍历自身然后进入 B 的右子树中,然后按照规则继续,则 res = [A, B, C, D, E]
- 然后回到根节点,这个时候对于根节点来说左分支已经遍历完成了,此时遍历自身然后进入右分支ÿ

最低0.47元/天 解锁文章
383

被折叠的 条评论
为什么被折叠?



