1 双光栅实验介绍
图1为实验装置图,激光器发射的激光束,先通过静止光栅,再经由狭缝到达运动光栅,最后到达接收器;信号源输出矩形波,调节信号源的“功率调节”和“频率调节”旋钮使音叉共振,由此带动光栅振动;衍射光在光电接收器上形成的光斑分布在垂直于实验平台的一条直线上。该实验中,激光波长λ=635nm,音叉谐振频率f=506Hz左右。光电接收器使用的是硅光电池,响应时间在10-6~10-3s之间,响应率在17%左右。

图1 双光栅实验装置实物图
1.1 实验原理
1.1.1 位移光栅的多普勒频移光源、接收器、传播介质或中间反射器之间的相对运动所引起的接收器接收到的光波频率与光源频率发生的变化,由此产生的频率变化称为多普勒频移。
当激光平面波以一定角度入射光栅时,由于光栅上光疏和光密媒质部分对光波的位相延迟作用,使入射的平面波变成出射时的摺曲波阵面[5,6],如图2所示。

图2 摺曲波阵面出射示意图
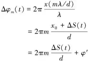
若衍射光栅在自身平面内以速度v垂直于栅缝方向运动,光栅栅缝线距为d,平面光波以角度θ1入射,以角度θ2衍射,入射波前和衍射波前与光栅平面交点为O(见图3)。t时刻,从O到光栅第n条线距
可写为
x=x0-v·Δt=x0+ΔS(t)
(1)
其中,x0是常数;ΔS(t)是Δt时间内的光栅位移。这样,经过N点在
和
间的光程差l=x(cosθ1+cosθ2)。由此得到衍射光的相位变化为

(2)

图3 运动光栅的衍射示意图
又根据光栅方程,d(cosθ1+cosθ2)=mλ,代入上式,得到第m级衍射光的相位变化为

(3)
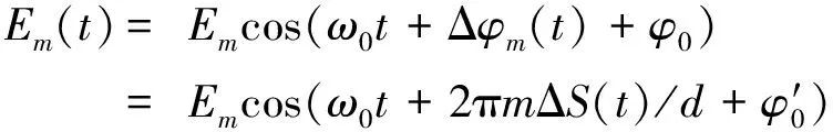
故第m级衍射光栅的表达式为

(4)
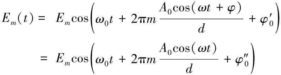
已知该实验的光栅作微小正弦振动,则有
ΔS(t)=A0cos(ωt+φ)
(5)
代入上式,有

(6)
1.1.2 光拍的获得与检测由于光的频率高达1014Hz

本文介绍了利用双光栅测量微弱振动的实验,探讨了实验中出现的毛刺和包络问题。毛刺是由多束光叠加产生的高级谐波造成,可通过调整双光栅间距来解决;包络则是由于音叉振动伴随转动导致衍射光斑强度变化,通过添加光阑限制不稳定部分光束可改善。实验结果表明,这些方法能显著提高测量精度。
最低0.47元/天 解锁文章
6533

被折叠的 条评论
为什么被折叠?



