一、度与平均度
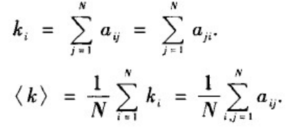
度:与节点直接相连的边的数目。
平均度:网络中所有节点的度的平均值,记为。
用k
i
_i
i表示节点i的度。
给定网络G的邻接矩阵A=(a
i
j
_{ij}
ij)
N
∗
N
_{N*N}
N∗N,我们有

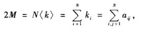
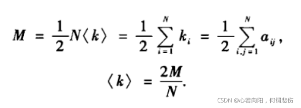
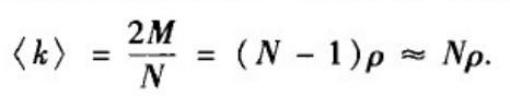
网络节点的度与网络边数M有如下关系:

亦既有

二、出度与入度
1、有向网络的度
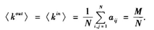
有向网络节点的度包括出度和入度,节点i的出度是指从节点i指向其它节点的边的个数,节点i的入读是指其它节点指向节点i的边的数目。
节点的出度和入读也可以通过邻接矩阵的元素来表示:

在有向网络中单个点的出度和入度可能不相同,单平均出度和平均入度是相同的。即以下等式成立:

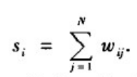
2、加权网络的度
对于加权网络而言,除了度的概念,还可以定义节点的强度。给定一个包含N个节点的加权网络G及其权值矩阵W=(w i j _{ij} ij)。
2.1 无向加权网络
如果G是无向加权网络,那么节点i的强度定义为:

2.2 有向加权网络
如果G是有向加权网络,那么节点i的出强度和入强度分别为:

三、网络稀疏性与稠密化
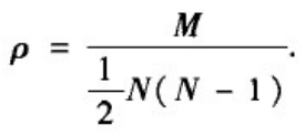
1、网络密度定义
一个包含 N个节点的网络的密度
ρ
\rho
ρ定义为网络中实际存在的边数M与最大可能的边数之比。
(1)无向网络密度

(2)有向网络密度

2、稀疏性
如果当N→ ∞ \infty ∞时网络密度趋于零或网络平均度趋于一个常数,就表明网络中实际存在的边数是比N 2 ^2 2低阶的,那么我们就可以认为该网络是稀疏的;此时,邻接矩阵中非零元素的比例也会趋于零。
3、稠密性
如果当N→ ∞ \infty ∞时网络密度趋于一个非零常数,就表明网络中实际存在的边数是与N 2 ^2 2同阶的,那么我们就可以认为该网络是稠密的;此时,邻接矩阵中非零元素的比例也会趋于一个常数。
4、平均度与网络密度之间的关系

将时刻t网络中的节点数和边数分别记为N(t)和M(t)。如果两者呈线性比例关系,即M(t)~N(t) ,那么由上式可见,平均度为一常数。另一方面,如果两者呈平方关系,即M(t)~N
2
^2
2(t),那么就意味着,平均而言,每个节点都会与网络中一定比例的其他节点直接相连,整个网络会演化为一个非常稠密的网络。研究表明,许多实际网络的演化是介于上述两种情形之间的,即服从如下的超线性关系,也称为稠密化幂律。

这意味着,一方面,相对而言,实际网络会随着时间的演化而变得越来越稠密;另一方面,与稠密的全耦合网络相比,实际网络仍然是稀疏的。
3425

被折叠的 条评论
为什么被折叠?



