
Motivation:
传统推荐系统通常关注用户的单一行为(购买行为),忽视了其他的辅助行为(浏览、加入购物车等)。
一些多行为推荐工作通常强调多种行为的差异,也就是他们通过区分不同行为去提取有用的信息。
然而
1.多行为推荐忽视了在不同行为中用户对物品的公共偏好。
2.多行为推荐仍然受到有限监督信号问题的困扰。
因此
提出了一个新颖的自监督图协同过滤模型对于多行为推荐(S-MBRec)。
首先,在每个行为中利用GCNs学习用户和物品的embeddings。
然后,设计了一个监督任务,它用来区分不同行为的重要性去获取embeddings之间的区别。
与此同时,提出了一个star-style对比学习任务去获取目标行为和辅助行为之间embeddings的共性;也为了缓解稀疏的监督信号,减少辅助行为之间的冗余并且提取它们最有用的信息。
Contribute:
1.之前多行为推荐工作致力于区分不同行为之间的区别,该论文是第一个研究如何保留它们之间的共性以及同时解决数据稀疏的问题。
2.提出S-MBRec,由监督任务和自监督任务组成。
3.实验S-MBRec比其他baselines更加work。
Problem formulation:
与其他多行为设定相似。只需注意:在本论文中,目标行为是第一个行为,其他行为为辅助行为。
Method:

S-MBRec由三部分组成:
1.左侧是在每种行为中利用GCNs学习用户和物品的node embedding.
右侧是两种任务:监督任务和自监督任务
2.监督任务:为了区分不同行为的重要性和获取embeddings之间的差异,在监督损失函数下利用自动学习权重系数去融合每种行为下的embeddings。
3.自监督任务:为了捕获目标行为和辅助行为的共性以及缓解数据稀疏问题,在目标行为和每个辅助行为之间构建对比学习。
Node Representation Learning:
常规GCNs操作



聚合L+1层embeddings,f是个函数:线性层、权重和、拼接操作。在本文中使用的是拼接操作。

Adaptive Supervised Task:
a_{uk}是用户第k种行为的权重系数,n_{uk}是用户在第k种行为下的交互物品数量。

聚合用户K种行为,生成最终的用户表征。

物品的特征是静态的,所以本文利用拼接和MLP生成最终的物品表征。

对于监督任务,使用BPR loss进行监督约束。

Star-style Self-supervised Task:
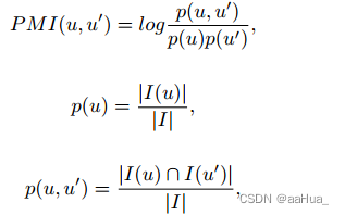
本文利用PMI计算在目标行为下用户(物品)有相似关联信息的正对。注意:计算的相关性PMI值必须大于阈值t才可以作为正对,负对在本文中采用随机挑选策略。

拿用户侧举例子(物品侧同理), 利用InfoNCE loss对比用户的目标行为和每个辅助行为的表征。

用户和物品目标行为和每个辅助行为的对比约束。

Model Training:

Dataset:
Beibei 、Taobao 、 Yelp
Experiments:

5551

被折叠的 条评论
为什么被折叠?



