最小二乘法多元函数超曲面拟合(python)

本文介绍了如何使用最小二乘法进行二元函数的曲面拟合,通过Python代码展示从构建多项式到求解参数的过程,强调了在非线性问题中应用最小二乘法的原理。

最小二乘法多元函数超曲面拟合问题

网上很多用最小二乘法拟合曲面的问题,但是最后给的例子都是拟合高维平面,本篇文章简单介绍用最小二乘法进行曲面拟合的方法,以二元函数的曲面逼近为例,用python实现,代码在文章最后。

一、最小二乘法

首先还是对最小二乘法的原理进行简单介绍:
考虑模型:
在这里插入图片描述

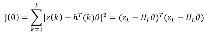
的辨识问题,式中z(k)和h(k)都是可观测数据,θ是待估参数,取准则函数:
在这里插入图片描述
极小化J(θ),求得θ的估计值,将使模型的输出最好的预报系统的输出。
将上式对θ求导,然后使导数等于零的时候取得的θ值即为参数矩阵的最优解,本篇文章中从头至尾忽略噪声项e(k)。推导过程我就不写了这个到处都是,直接写结果,参数矩阵θ的最优解为:
在这里插入图片描述
这里面要注意括号里必须是正则矩阵(即矩阵为非奇异,行列式的值不为0)

二、在拟合曲面时输入矩阵的选取

因为这篇文章是在二元函数的曲面方程拟合的情况下,多元的道理一样,自己去写参数多项式的项就可以了。
所以先假定两个输入值是x和y,z是函数的输出,如果z=ax + by, 就是一个最普通的平面,但是当扩展到一个二次曲面的时候,曲面的一般式就变成了z = ax^2 + by^2+cxy +dx +ey+f ,更高次的也是一样。本质上就是把原本只能用来解决线性问题

评论 15
添加红包

请填写红包祝福语或标题

红包个数最小为10个

红包金额最低5元

当前余额3.43前往充值 >
需支付:10.00
成就一亿技术人!
领取后你会自动成为博主和红包主的粉丝 规则
hope_wisdom
发出的红包
实付
使用余额支付
点击重新获取
扫码支付
钱包余额 0

抵扣说明:

1.余额是钱包充值的虚拟货币,按照1:1的比例进行支付金额的抵扣。
2.余额无法直接购买下载,可以购买VIP、付费专栏及课程。

余额充值