笔记:计算机视觉与深度学习-北邮-鲁鹏-2020年录屏
写在开头(重复的)
1.课程来源:B站视频.
2.笔记目的:个人学习+增强记忆+方便回顾
3.时间:2021年4月15日
4.同类笔记链接:(钩子:会逐渐增加20210428)
第一讲.第二讲.第三讲.第四讲.第五讲.第六讲.第七讲.第八讲.第九讲.第十讲.第十一讲.番外篇一个简单实现.第十二讲.第十三讲.第十四讲完结.
5.请一定观看视频课程,笔记是对视频内容的有限度的重现和基于个人的深化理解。
6.注意符号 SS:意味着我的个人理解,非单纯授课内容,有可能有误哦。
—以下正文—
前讲回顾(00:00-08:54)

深刻理解卷积(只有明白了卷积,才能深刻理解这个网络的作用)
一、补充材料—卷积与图像去噪
-1.深刻理解卷积(只有明白了卷积,才能深刻理解这个网络的作用)
(一)初识卷积操作
- 1.引子—图像去噪

- 2.卷积核

3.卷积的数学定义:
- 3.1 应当注意,我们要将卷积核翻转180度后,再对图像进行处理,这是才是卷积操作。体现在公式中就是 H i-u,j-v 。若不反转,就对图像进行处理,称为相关。
- 3.2 但是,在课程中,卷积核通常都是对称的。也就不再强调卷积核是否旋转,但要有相关的意识。
- 4.卷积的性质:
- 4.1叠加性:

- 4.2平移不变性:

- 4.3交换律
- 4.4结合律
- 4.5分配律
- 4.6标量
- 4.1叠加性:
- 5.边界填充问题
- 5.1零填充(zero-padding)
- 5.2拉伸
- 5.3镜像
- 6.小结:卷积是图像处理中一个基础而又重要的图像操作,它可以实现:平移、平滑、锐化…
(二)高斯卷积核【常用的卷积核】
- 1.高斯卷积核的公式及其权重的可视化图片

- 2.高斯卷积核权重值在5*5矩阵中的具体值(σ = 1)

- 3.生成步骤

- 4.高斯卷积核中需要设置的参数:卷积核尺寸、高斯函数的标准差σ。
- 4.1不同高斯函数的标准差对权值的影响:标准差越小(如σ = 1),权重约向中间集中;标准差越大(如σ = 5),权重约平均。既方差越大,平滑效果越好。
- 4.2不同卷积核尺寸对权值的影响:尺寸越大,平滑效果越好。
- 4.3经验法则:将卷积核的半窗尺寸设置为3σ,最终卷积模板尺寸为2*3σ+1。(视频42:30有解释)
- 5.高斯卷积核的功能:
- 5.1去除图像中的“高频”成分(故又称:低通滤波器)
- 5.2两个高斯卷积卷积后得到的还是高斯卷积核

- 5.3 高斯卷积核可分离为两个一维高斯的乘积

- 5.4 以上的7.5.2和7.5.3可以大大降低计算量!!!!!!
(三)图像噪声与中值滤波器
- 1.高斯噪声:(噪声服从N(μ,σ)正态分布)

- 2.高斯噪声对应的处理方法自然是低通滤波器(高斯卷积核)
- 3.椒盐噪声和脉冲噪声:对应的处理方法是中值滤波器(选原图卷积核感受野内n个数值的中值,既替换进去的值本就存在于原图中)
二、卷积与边缘提取
(一)边缘提取
-
1.边缘:图像中亮度明显而急剧变化的点。
-
2.分析图像中边缘的种类:

-
3.边缘检测方法:求导,导数最大处就是边缘
- 3.1数学视角—边缘检测的导数比较难求,Δ 趋近于0比较难算,为化简直接取1。

- 3.2 转换为图像视角—Δ = 1,在图像中变化1,就是下一位的像素点。则上图公式变为 导数= 下一位像素点的值 - 本像素点的值。
- 3.4 (与高斯卷积核可以拆分为2个一维高斯的成绩一样)将此处的边缘提取也划分为x、y两个方向,则可分别近似求出函数的x偏导和y偏导

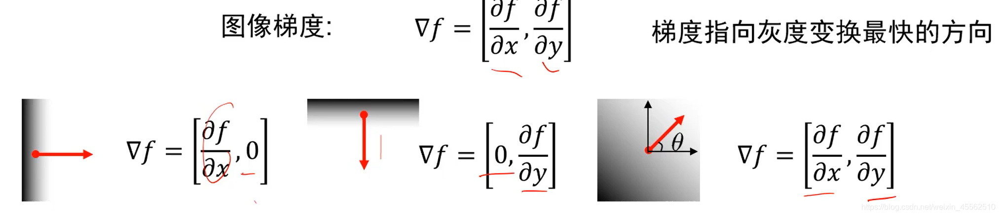
- 3.5图像的梯度(和数学里的概念一样,由偏导组合起来的向量)

- 3.6梯度的模值(图4级下公式)

- 3.1数学视角—边缘检测的导数比较难求,Δ 趋近于0比较难算,为化简直接取1。
-
4.先通过高斯卷积核平滑图像+再通过图像的梯度提取边缘(为缓解图像噪声对梯度的影响,进而缓解对边缘提取的影响,直观的想到的方法高斯卷积核平滑)(PS:图一后侧标注“噪声信号”,应理解为“含噪声信号的信号”)

- 4.1显然的上图的运算过于麻烦(下面就看不懂了,只记结果吧)

这就是“高斯一阶偏导卷积核”
- 4.1显然的上图的运算过于麻烦(下面就看不懂了,只记结果吧)
-
5.提到高斯卷积核,就要讨论不同标准差情况下的卷积效果(窗口默认=2*3σ+1)

-
6.这是遇到了新问题,如果原图像是逐渐变亮\变暗的,则梯度变化是连续的,通过梯度提取的边界是有宽度的。但是我们想要的是一个锐利的边界。

- 6.1 使用非极大值抑制,提取出锐利的边缘(既每个点梯度和左右对比,梯度最大则留下,否则删除,效果如图)

- 6.2 非最大化抑制会产生新的噪声,这是需要通过设置阈值进行调整,但是高阈值导致细节丢失、低阈值导致噪声去除不干净。这时引入双阈值操作方式:双阈值操作方式,是指提取高阈值和低阈值的边,之后用低阈值的边连接到高阈值的边上,能连接的保留,不能连接的低阈值边视为噪声丢弃。

- 6.3 以上高斯一阶偏导核卷积器+计算梯度和方向+非极大值抑制+双阈值提取操作 = canny边缘检测器。(目前为止最有效的边缘检测器)
- 6.1 使用非极大值抑制,提取出锐利的边缘(既每个点梯度和左右对比,梯度最大则留下,否则删除,效果如图)
本文详细介绍了计算机视觉中的卷积操作,包括卷积的数学定义、性质、边界填充方法,以及高斯卷积核在图像去噪中的应用。深入探讨了卷积在边缘提取中的作用,阐述了高斯一阶偏导卷积核如何用于边缘检测,并通过非极大值抑制和双阈值提取实现Canny边缘检测器。此外,还讨论了噪声类型和相应的滤波器选择。
700

被折叠的 条评论
为什么被折叠?



