KPCA,中文名称”核主成分分析“,是对PCA算法的非线性扩展,言外之意,PCA是线性的,其对于非线性数据往往显得无能为力,例如,不同人之间的人脸图像,肯定存在非线性关系,自己做的基于ORL数据集的实验,PCA能够达到的识别率只有88%,而同样是无监督学习的KPCA算法,能够轻松的达到93%左右的识别率(虽然这二者的主要目的是降维,而不是分类,但也可以用于分类),这其中很大一部分原因是,KPCA能够挖掘到数据集中蕴含的非线性信息。
今天突然心血来潮,想重新推导一下KPCA的公式,期间遇到了几个小问题,上博客查阅,发现目前并没有一个专注于KPCA公式推导的文章,于是决定写一篇这样的博客
(转载请注明:http://blog.csdn.net/wsj998689aa/article/details/40398777,作者:王嗣钧)。
1. 理论部分
KPCA的公式推导和PCA十分相似,只是存在两点创新:
1. 为了更好地处理非线性数据,引入非线性映射函数
,将原空间中的数据映射到高维空间,注意,这个
是隐性的,我们不知道,也不需要知道它的具体形式是啥。
2. 引入了一个定理:空间中的任一向量(哪怕是基向量),都可以由该空间中的所有样本线性表示,这点对KPCA很重要,我想大概当时那个大牛想出KPCA的时候,这点就是它最大的灵感吧。话说这和”稀疏“的思想比较像。
假设中心化后的样本集合X(d*N,N个样本,维数d维,样本”按列排列“),现将X映射到高维空间,得到
,假设在这个高维空间中,本来在原空间中线性不可分的样本现在线性可分了,然后呢?想啥呢!果断上PCA啊!~
于是乎!假设D(D >> d)维向量
为高维空间中的特征向量,
为对应的特征值,高维空间中的PCA如下:
(1)
和PCA太像了吧?这个时候,在利用刚才的定理,将特征向量
利用样本集合
线性表示,如下:
(2)
然后,在把
代入上上公式,得到如下的形式:
(3)
进一步,等式两边同时左乘
,得到如下公式:
(4)
你可能会问,这个有啥用?
这样做的目的是,构造两个
出来,进一步用核矩阵K(为对称矩阵)替代,其中:
(5)
第二个等号,是源于核函数的性质,核函数比较多,有如下几种:

于是,公式进一步变为如下形式:
(6)
两边同时去除K,得到了PCA相似度极高的求解公式:
(7)
求解公式的含义就是求K最大的几个特征值所对应的特征向量,由于K为对称矩阵,所得的解向量彼此之间肯定是正交的。
但是,请注意,这里的
只是K的特征向量,但是其不是高维空间中的特征向量,回看公式(2),高维空间中的特征向量w应该是由
进一步求出。
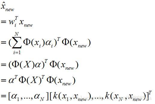
这时有的朋友可能会问,这个时候,如果给定一个测试样本
,应该如何降维,如何测试?
是这样的,既然我们可以得到高维空间的一组基
,这组基可以构成高维空间的一个子空间,我们的目的就是得到测试样本
在这个子空间中的线性表示,也就是降维之后的向量。具体如下:
(8)
于是呼~就可以对
降维了,然后就做你想要做的事情。。。。
2. 实验部分
做了一些仿真实验,分别比较了PCA与KPCA之间的效果,KPCA基于不同核函数的效果,二者对于原始数据的要求,以及效果随着参数变化的规律。
1)下面展示的是“无重叠的”非线性可分数据下,PCA与KPCA(基于高斯核)的区别,注意,原始数据是二维数据,投影之后也是二维数据



2)下面展示的是“部分重叠的”非线性可分数据下,PCA与KPCA的区别



3)下面展示的是“无高斯扰动的”非线性可分数据下,PCA与KPCA的区别



4)下面展示的是上述三类数据下,基于多项式核函数的KPCA效果



5)下面展示的是在“部分重叠的”非线性可分数据下,基于多项式核函数的KPCA在不同多项式参数下的效果图






3. 实验结论
4. 代码
function [eigenvalue, eigenvectors, project_invectors] = kpca(x, sigma, cls, target_dim)
% kpca进行数据提取的函数
psize=size(x);
m=psize(1); % 样本数
n=psize(2); % 样本维数
% 计算核矩阵k
l=ones(m,m);
for i=1:m
for j=1:m
k(i,j)=kernel(x(i,:),x(j,:),cls,sigma);
end
end
% 计算中心化后的核矩阵
kl=k-l*k/m-k*l/m+l*k*l/(m*m);
% 计算特征值与特征向量
[v,e] = eig(kl);
e = diag(e);
% 筛选特征值与特征向量
[dump, index] = sort(e, 'descend');
e = e(index);
v = v(:, index);
rank = 0;
for i = 1 : size(v, 2)
if e(i) < 1e-6
break;
else
v(:, i) = v(:, i) ./ sqrt(e(i));
end
rank = rank + 1;
end
eigenvectors = v(:, 1 : target_dim);
eigenvalue = e(1 : target_dim);
% 投影
project_invectors = kl*eigenvectors; %计算在特征空间向量上的投影
end
function compare
clear all;
close all;
clc;
% 生成非线性可分的三类数据
if exist('X1.mat')
load 'X1.mat'
load 'X2.mat'
load 'X3.mat'
figure(1)
plot(X1(1, :),X1(2, :) ,'ro')
hold on;
plot(X2(1, :),X2(2, :),'g*')
hold on;
plot(X3(1, :),X3(2, :),'b.')
hold on;
title('原始数据');
xlabel('第一维');
ylabel('第二维');
saveas(gcf, '原始数据图.jpg')
else
[X1, X2, X3] = generate_data();
save 'X1.mat' X1
save 'X2.mat' X2
save 'X3.mat' X3
end
X = [X1 X2 X3];
[nFea, nSmps] = size(X);
nClsSmps = nSmps / 3;
% PCA
[vec_pca, Y_pca, value_pca] = princomp(X');
Y_pca = Y_pca';
figure(2);
plot(Y_pca(1, 1 : nClsSmps),Y_pca(2, 1 : nClsSmps), 'ro');
hold on;
plot(Y_pca(1, nClsSmps + 1 : 2 * nClsSmps),Y_pca(2, nClsSmps + 1 : 2 * nClsSmps), 'g*');
hold on;
plot(Y_pca(1, 2 * nClsSmps + 1 : end),Y_pca(2, 2 * nClsSmps + 1 : end), 'b.');
hold on;
title('PCA');
xlabel('第一维');
ylabel('第二维');
saveas(gcf, 'PCA投影图.jpg')
% KPCA
percent = 1;
var = 2; % 1 代表高斯核,2代表多项式核,3代表线性核
sigma = 6; % 核参数
[vec_KPCA, value_KPCA, Y_pca] = kpca(X', sigma, var, 2);
Y_pca = Y_pca';
figure(3);
plot(Y_pca(1, 1 : nClsSmps),Y_pca(2, 1 : nClsSmps), 'ro');
hold on;
plot(Y_pca(1, nClsSmps + 1 : 2 * nClsSmps),Y_pca(2, nClsSmps + 1 : 2 * nClsSmps), 'g*');
hold on;
plot(Y_pca(1, 2 * nClsSmps + 1 : end),Y_pca(2, 2 * nClsSmps + 1 : end), 'b.');
hold on;
str = strcat('KPCA', '(p =', num2str(sigma), ')');
title(str);
xlabel('第一维');
ylabel('第二维');
str = strcat(str, '.jpg')
saveas(gcf, str)
end

本文详细阐述了KPCA的理论推导过程,并通过仿真实验对比了KPCA与PCA在处理非线性数据时的表现。重点讨论了KPCA引入的非线性映射函数和其在高维空间中的应用,以及不同核函数对数据降维效果的影响。实验部分展示了在不同类型数据集上KPCA与PCA的差异,特别是对于非线性可分数据的处理能力。此外,还提供了一段实现KPCA算法的代码,帮助读者更好地理解和实践KPCA。
8665

被折叠的 条评论
为什么被折叠?



