💥💥💞💞欢迎来到本博客❤️❤️💥💥
🏆博主优势:🌞🌞🌞博客内容尽量做到思维缜密,逻辑清晰,为了方便读者。
⛳️座右铭:行百里者,半于九十。
💥1 概述
本文旨在使用各种功率调节系统(PCS)对超导磁能储存系统(SMES)进行建模,例如基于晶闸管的PCS(六脉波变流器和十二脉波变流器)和基于电压源变流器(VSC)的PCS。对基于晶闸管的PCS和基于VSC的PCS进行了建模和仿真。还根据总谐波失真(THD)、有源和无源功率控制能力、控制结构和功率处理能力等各种标准进行了比较。MATLAB/Simulink用于模拟SMES的各种功率调节系统。
超导性是指在临界温度以下,导体材料完全没有电阻的现象,是自然界中最迷人的现象之一。虽然超导性是由恩尼斯在1911年发现的,但直到1970年代,SMES才首次被提出作为电力系统中的一项技术。能量储存在通过超导线圈内流动直流电流所产生的磁场中。SMES是一项有潜力为公用事业传输和配电系统带来重要功能特性的技术[3],[4]。SMES系统由超导线圈、低温系统和带有控制和保护功能的功率转换或调节系统(PCS)组成。与其他储能系统相比,SMES的优势包括:总体效率非常高,因为它不需要将能量从一种形式转换为另一种形式。根据其功率转换单元的控制回路和开关特性,SMES系统可以非常快速地响应(兆瓦/毫秒)。由于其快速响应和高效率,SMES系统受到了电力公用事业和政府的广泛关注。SMES系统可靠(无可动部件)且对环境友好。与其他储能技术相比,SMES技术在两种应用中具有独特优势,即电力系统传输控制和稳定性以及电能质量。尽管目前SMES系统可能不具备成本效益,但它们的效率和快速响应能力是正面的。SMES的效率和快速响应能力已经被并且可以进一步在各种电力系统各个层面的不同应用中得到利用。SMES系统具有提供电力系统整体增强安全性和可靠性的能力。表1列出了SMES在发电、传输和配电方面的潜在应用特性。
一、SMES系统基本原理与结构
1. 工作原理
SMES利用超导体的零电阻特性,将电能转化为磁场能存储于超导线圈中。充电时,电网交流电(AC)经功率调节系统(PCS)转换为直流电(DC)注入线圈;放电时,磁场能通过PCS逆变为AC馈入电网。因超导态电流无衰减,能量可长期储存,循环效率>95%。
2. 核心组件
| 组件 | 功能与特性 | 技术细节 |
|---|---|---|
| 超导线圈 | 储能核心元件,磁场能 E=12LI2E=21LI2(LL:电感,II:电流) | - 材料:NbTi/Nb3Sn(液氦温区4K) - 形状:环形(漏磁小,适合中小型)或螺管形(结构简单,适合大型) |
| 低温冷却系统 | 维持超导态,制冷需求:低温超导(LTSC)>高温超导(HTSC) | - 常用冷却剂:液氦/超流氦 - 高温超导可降低制冷成本 |
| 功率调节系统 | 控制AC/DC双向转换,响应速度毫秒级 | - PWM变流器实现独立有功/无功控制 - 支持整流(充电)和逆变(放电) |
| 监控系统 | 实时数据采集与动态控制 | - 内环(电流控制)+外环(功率控制) |

3. 技术优势
- 高效性:能量转换效率>95%
- 快速响应:毫秒级充放电,适用电网调频
- 长寿命:无机械损耗,维护成本低
- 环保性:无化学污染,静音运行
二、建模方法与数学模型
1. 电磁-热耦合模型
-
电磁场方程:
其中 σ(T)为超导材料电导率(温度相关)。 -
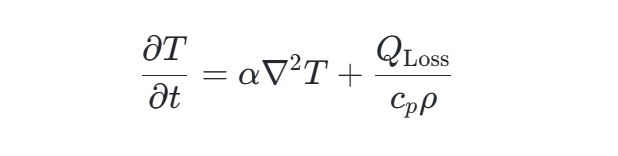
热力学方程:

QLoss 由洛伦兹力或热扰动引起。
2. 控制系统模型
采用状态空间方程描述PCS动态:

u 为触发脉冲信号,y 为输出功率。
3. 多参数优化模型
- 结构方程模型(SEM) :分析超导材料性能、机械强度、冷却效率的交互影响。
- 优化目标:最小化成本(超导材料占40%+冷却系统占30%)。
三、仿真工具与平台
1. 常用仿真软件
| 工具 | 适用场景 | 局限性 |
|---|---|---|
| MATLAB/Simulink | 多物理场耦合仿真(电磁、控制、热力学) | 复杂模型计算效率低 |
| COMSOL Multiphysics | 电磁-热耦合分析,磁场分布可视化 | 需高计算资源 |
| HFSS/ANSYS | 电磁场精细仿真(如洛伦兹力分布) | 接口集成复杂 |
| NS-3/OPNET | 电网环境下的通信延迟与稳定性测试 | 不适用控制系统设计 |

2. 协同仿真平台
- ANSYS EKM:集成多工具仿真流程,支持数据共享与负载均衡。
- Altair Simulation Manager:全生命周期管理(设计→后处理)。
四、典型应用案例
1. 电网稳定性增强
- 案例:风电系统集成SMES平抑功率波动,响应时间<50ms,提升并网稳定性30%。
- 控制策略:预设线圈储能25%~75%,实时调节充放电。
2. 高端制造业电能质量
- 案例:芯片制造厂部署SMES,电压暂降减少90%,保障超洁净电力。
- 经济效益:减少废品率,年节省成本$2M。
3. 军工领域
- 舰船电磁弹射:SMES提供瞬时高功率(100MW级),替代传统飞轮。
五、关键技术挑战
1. 多物理场耦合复杂性
- 机械形变:洛伦兹力导致线圈结构应力,需有限元分析优化支撑结构。
- 热稳定性:液氦温区微热扰动可能引发失超(quench),需实时监测。
2. 材料与成本瓶颈
- 临界参数限制:超导材料的临界电流(IcIc)和临界磁场(BcBc)制约储能密度。
- 成本占比:超导材料($400/kA·m)+制冷系统占总投资70%。
3. 仿真与实测偏差
- 制造公差:线圈绕制误差导致磁场分布偏离理论模型。
- 解决方案:采用"空间映射法"(Space-Mapping)校准仿真参数。
4. 未来研究方向
- 高温超导应用:Bi-2223线材(77K)可降低制冷能耗50%。
- 智能控制算法:结合LSTM预测电网负荷,优化充放电策略。
六、结论
SMES建模需综合电磁学、热力学、控制理论,仿真工具应匹配应用场景(如MATLAB适用于控制系统,ANSYS适用于结构分析)。当前研究重点在于突破材料限制、降低制冷成本、提升多尺度模型精度。随着高温超导技术发展,SMES在电网调频、高端制造及军工领域的应用潜力将进一步释放。
📚2 运行结果




🎉3 参考文献
文章中一些内容引自网络,会注明出处或引用为参考文献,难免有未尽之处,如有不妥,请随时联系删除。

800

被折叠的 条评论
为什么被折叠?



