目录:多分类及多标签分类算法
一、单标签二分类问题
1.1 单标签二分类算法原理
单标签二分类这种问题是我们最常见的算法问题,主要是指label标签的取值只有两种,并且算法中只有一个需要预测的label标签;直白来讲就是每个实例的可能类别只有两种(A or B);此时的分类算法其实是在构建一个分类线将数据划分为两个类别。常见的算法:Logistic、SVM、KNN、决策树等。

Logistic算法原理:

二、单标签多分类问题
单标签多分类问题其实是指待预测的label标签只有一个,但是label标签的取值可能有多种情况;直白来讲就是每个实例的可能类别有
K
K
K种(
t
1
t_1
t1 ,
t
2
t_2
t2 ,
⋯
\cdots
⋯,
t
k
t_k
tk ,k≥3);常见算法:Softmax、KNN、决策树等。


在实际的工作中,如果是一个多分类的问题,我们可以将这个待求解的问题转换 为二分类算法的延伸,即将多分类任务拆分为若干个二分类任务求解,具体的策略如下:
- One-Versus-One(ovo):一对一
- One-Versus-All / One-Versus-the-Rest(ova/ovr): 一对多
- Error Correcting Output codes(纠错码机制):多对多

2.1 ovo
原理:
将 K K K个类别中的两两类别数据进行组合,然后使用组合后的数据训练出来一个模型,从而产生 K ( K − 1 ) / 2 K(K-1)/2 K(K−1)/2个分类器,将这些分类器的结果进行融合,并将分类器的预测结果使用多数投票的方式输出最终的预测结果值。

2.1.1 手写代码
def ovo(datas,estimator):
'''datas[:,-1]为目标属性'''
import numpy as np
Y = datas[:,-1]
X = datas[:,:-1]
y_value = np.unique(Y)
#计算类别数目
k = len(y_value)
modles = []
#将K个类别中的两两类别数据进行组合,并对y值进行处理
for i in range(k-1):
c_i = y_value[i]
for j in range(i+1,k):
c_j = y_value[j]
new_datas = []
for x,y in zip(X,Y):
if y == c_i or y == c_j:
new_datas.append(np.hstack((x,np.array([2*float(y==c_i)-1]))))
new_datas = np.array(new_datas)
algo = estimator()
modle = algo.fit(new_datas)
modles.append([(c_i,c_j),modle])
return modles
def argmaxcount(seq):
'''计算序列中出现次数最多元素'''
'''超极简单的方法'''
# from collections import Counter
# return Counter(seq).values[0]
'''稍微复杂的'''
# dict_num = {}
# for item in seq:
# if item not in dict_num.keys():
# dict_num[item] = seq.count(item)
# # 排序
# import operator
# sorted(dict_num.items(), key=operator.itemgetter(1))
'''字典推导'''
dict_num = dict_num = {i: seq.count(i) for i in set(seq)}
def ovo_predict(X,modles):
import operator
result = []
for x in X:
pre = []
for cls,modle in modles:
pre.append(cls[0] if modle.predict(x) else cls[1])
d = {i: pre.count(i) for i in set(pre)} #利用集合的特性去重
result.append(sorted(d.items(),key=operator.itemgetter(1))[-1][0])
return result
也可以直接调用封装好的代码:
2.1.2 调用API
class sklearn.multiclass.OneVsOneClassifier(estimator, n_jobs=1)


代码如下:
from sklearn import datasets
from sklearn.multiclass import OneVsOneClassifier
from sklearn.svm import LinearSVC
from sklearn.neighbors import KNeighborsClassifier
# 加载数据
iris = datasets.load_iris()
# 获取X和y
X, y = iris.data, iris.target
print("样本数量:%d, 特征数量:%d" % X.shape)
# 设置为3,只是为了增加类别,看一下ovo和ovr的区别
y[-1] = 3
# 模型构建
clf = OneVsOneClassifier(LinearSVC(random_state=0))
# clf = OneVsOneClassifier(KNeighborsClassifier())
# 模型训练
clf.fit(X, y)
# 输出预测结果值
print(clf.predict(X))
print("效果:{}".format(clf.score(X, y)))
# 模型属性输出
k = 1
for item in clf.estimators_:
print("第%d个模型:" % k, end="")
print(item)
k += 1
print(clf.classes_)
2.2 ovr
原理:
在一对多模型训练中,不是两两类别的组合,而是将每一个类别作为正例,其它剩余的样例作为反例分别来训练 K K K个模型;然后在预测的时候,如果在这 K K K个模型中,只有一个模型输出为正例,那么最终的预测结果就是属于该分类器的这个类别;如果产生多个正例,那么则可以选择根据分类器的置信度作为指标,来选择置信度最大的分类器作为最终结果,常见置信度:精确度、召回率。

2.2.1 手写代码
def ovr(datas,estimator):
'''datas[:,-1]为目标属性'''
import numpy as np
Y = datas[:,-1]
X = datas[:,:-1]
y_value = np.unique(Y)
#计算类别数目
k = len(y_value)
modles = []
#准备K个模型的训练数据,并对y值进行处理
for i in range(k):
c_i = y_value[i]
new_datas = []
for x,y in zip(X,Y):
new_datas.append(np.hstack((x,np.array([2*float(y==c_i)-1]))))
new_datas = np.array(new_datas)
algo = estimator()
modle = algo.fit(new_datas)
confidence = modle.score(new_datas) #计算置信度
modles.append([(c_i,confidence),modle])
return modles
def ovr_predict(X,modles):
import operator
result = []
for x in X:
pre = []
cls_confi = []
for cls,modle in modles:
cls_confi.append(cls)
pre.append(modle.predict(x))
pre_res = []
for c,p in zip(cls_confi,pre):
if p == 1:
pre_res.append(c)
if not pre_res:
pre_res = cls_confi
result.append(sorted(pre_res,key=operator.itemgetter(1))[-1][0])
return result
2.2.2 调用API
sklearn.multiclass.OneVsRestClassifier


代码如下:
from sklearn import datasets
from sklearn.multiclass import OneVsRestClassifier
from sklearn.svm import LinearSVC
from sklearn.metrics import accuracy_score
# 数据获取
iris = datasets.load_iris()
X, y = iris.data, iris.target
print("样本数量:%d, 特征数量:%d" % X.shape)
# 设置为3,只是为了增加类别,看一下ovo和ovr的区别
y[-1] = 3
# 模型创建
clf = OneVsRestClassifier(LinearSVC(random_state=0))
# 模型构建
clf.fit(X, y)
# 预测结果输出
print(clf.predict(X))
# 模型属性输出
k = 1
for item in clf.estimators_:
print("第%d个模型:" % k, end="")
print(item)
k += 1
print(clf.classes_)
2.3 OvO和OvR的区别

2.4 Error Correcting
原理:将模型构建应用分为两个阶段:编码阶段和解码阶段。
编码阶段中对K个类别中进行M次划分,每次划分将一部分数据分为正类,一部分数据分为反类,每次划分都构建出来一个模型,模型的结果是在空间中对于每个类别都定义了一个点;
解码阶段中使用训练出来的模型对测试样例进行预测,将预测样本对应的点和类别之间的点求距离,选择距离最近的类别作为最终的预测类别。

sklearn.multiclass.OutputCodeClassifier
代码的结构为:
class sklearn.multiclass.OutputCodeClassifier(estimator, code_size=1.5, random_state=None, n_jobs=1)


代码如下:
from sklearn import datasets
from sklearn.multiclass import OutputCodeClassifier
from sklearn.svm import LinearSVC
from sklearn.metrics import accuracy_score
# 数据获取
iris = datasets.load_iris()
X, y = iris.data, iris.target
print("样本数量:%d, 特征数量:%d" % X.shape)
# 模型对象创建
# code_size: 指定最终使用多少个子模型,实际的子模型的数量=int(code_size*label_number)
# code_size设置为1,等价于ovr子模型个数;
# 设置为0~1, 那相当于使用比较少的数据划分,效果比ovr差;
# 设置为大于1的值,那么相当于存在部分模型冗余的情况
clf = OutputCodeClassifier(LinearSVC(random_state=0), code_size=30, random_state=0)
# 模型构建
clf.fit(X, y)
# 输出预测结果值
print(clf.predict(X))
print("准确率:%.3f" % accuracy_score(y, clf.predict(X)))
# 模型属性输出
k = 1
for item in clf.estimators_:
print("第%d个模型:" % k, end="")
print(item)
k += 1
print(clf.classes_)

三、多标签算法问题
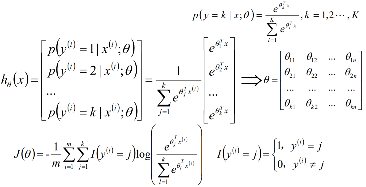
Multi-Label Machine Learning(MLL算法)是指预测模型中存在多个y值,具体分为两类不同情况:
- 多个待预测的y值;
- 在分类模型中, 一个样例可能存在多个不固定的类别。
根据多标签业务问题的复杂性,可以将问题分为两大类:
- 待预测值之间存在相互的依赖关系;
- 待预测值之间是不存在依赖关系的。
对于这类问题的解决方案可以分为两大类:
- 转换策略(Problem Transformation Methods);
- 算法适应(Algorithm Adaptation)。

注意:在多标签中一般认为每个标签只有两个类别,即(+1,和 - 1),如果一个标签有多个类别,则需要把类别分解成取值为+1或者- 1的新标签。
3.1 Problem Transformation Methods
Problem Transformation Methods又叫做策略转换或者问题转换,是一种将多标签的分类问题转换成为单标签模型构造的问题,然后将模型合并的一种方式,主要有以下几种方式:
- Binary Relevance(first-order)
- Classifier Chains(high-order)
- Calibrated Label Ranking(second-order)
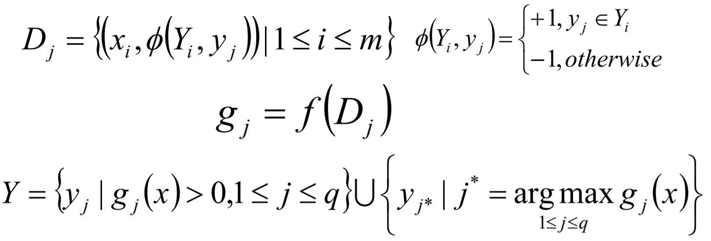
3.1.1 Binary Relevance
Binary Relevance的核心思想是将多标签分类问题进行分解,将其转换为q个二元分类问题,其中每个二元分类器对应一个待预测的标签。

def Binary_Relevance(X,Y,estimator):
'''Y是一个只有0和1的数组'''
import numpy as np
# 计算标签的个数
q = Y.shape[1]
Y_label = [i for i in range(q)]
modles = []
#准备K个模型的训练数据,并对y值进行处理
for j in Y_label:
D_j = []
for x,y in zip(X,Y):
D_j.append(np.hstack((x,np.array([1 if j in Y_label[y==1] else -1]))))
new_datas = np.array(D_j)
algo = estimator()
g_j = algo.fit(new_datas)
modles.append(g_j)
# Y = Y.replace(0,-1) #把所有的0替换成-1
# for j in Y_label:
# new_datas = np.hstack((X,Y[:,j].reshape(-1,1)))
# new_datas = np.array(new_datas)
# algo = estimator()
# g_j = algo.fit(new_datas)
# modles.append(g_j)
return modles
def Binary_Relevance_predict(X,modles,label_name):
import operator
result = []
for x in X:
pre_res = []
for g_j in modles:
pre_res.append(g_j.predict(x))
Y = set(np.array(label_name)[np.array(pre_res)>0]).union(label_name[pre_res.index(max(pre_res))])
result.append(Y)
return result
Binary Relevance方式的优点如下:
- 实现方式简单,容易理解;
- 当y值之间不存在相关的依赖关系的时候,模型的效果不错。
缺点如下:
- 如果y直接存在相互的依赖关系,那么最终构建的模型的泛化能力比较弱;
- 需要构建q个二分类器,q为待预测的y值数量,当q比较大的时候,需要构建的模型 会比较多。
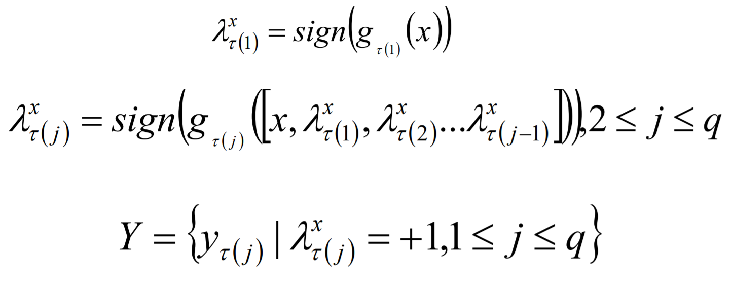
3.1.2 Classifier Chains
Classifier Chains的核心思想是将多标签分类问题进行分解,将其转换成为一个二元分类器链的形式,其中链后的二元分类器的构建是在前面分类器预测结果的基础上的。在模型构建的时候,首先将标签顺序进行shuffle打乱排序操作,然后按照从头到尾分别构建每个标签对应的模型。

Classifier Chains模型构建:

Classifier Chains模型预测:


Classifier Chains方式的优点如下:
- 实现方式相对比较简单,容易理解;
- 考虑标签之间的依赖关系,最终模型的泛化能力相对于Binary Relevance方式构建的模型效果要好。
缺点如下: 很难找到一个比较适合的标签依赖关系。
sklearn.multioutput.ClassifierChain
class sklearn.multioutput.ClassifierChain(base_estimator, order=None, cv=None, random_state=None)



import numpy as np
import matplotlib.pyplot as plt
from sklearn.datasets import make_multilabel_classification
from sklearn.multioutput import MultiOutputClassifier
from sklearn.svm import SVC
from sklearn.preprocessing import LabelBinarizer
from sklearn.decomposition import PCA
def plot_hyperplane(clf, min_x, max_x, linestyle, label):
# 画图
w = clf.coef_[0]
a = -w[0] / w[1]
xx = np.linspace(min_x - 5, max_x + 5)
yy = a * xx - (clf.intercept_[0]) / w[1]
plt.plot(xx, yy, linestyle, label=label)
def plot_subfigure(X, Y, subplot, title):
# 将X进行降维操作,变成两维的数据
X = PCA(n_components=2).fit_transform(X)
min_x = np.min(X[:, 0])
max_x = np.max(X[:, 0])
min_y = np.min(X[:, 1])
max_y = np.max(X[:, 1])
classif = MultiOutputClassifier(SVC(kernel='linear'))
classif.fit(X, Y)
plt.subplot(2, 2, subplot)
plt.title(title)
zero_class = np.where(Y[:, 0])
one_class = np.where(Y[:, 1])
plt.scatter(X[:, 0], X[:, 1], s=40, c='gray')
plt.scatter(X[zero_class, 0], X[zero_class, 1], s=160, edgecolors='b',
facecolors='none', linewidths=2, label='Class 1')
plt.scatter(X[one_class, 0], X[one_class, 1], s=80, edgecolors='orange',
facecolors='none', linewidths=2, label='Class 2')
plot_hyperplane(classif.estimators_[0], min_x, max_x, 'r--',
'Boundary\nfor class 1')
plot_hyperplane(classif.estimators_[1], min_x, max_x, 'k-.',
'Boundary\nfor class 2')
plt.xticks(())
plt.yticks(())
plt.xlim(min_x - .5 * max_x, max_x + .5 * max_x)
plt.ylim(min_y - .5 * max_y, max_y + .5 * max_y)
if subplot == 1:
plt.xlabel('First principal component')
plt.ylabel('Second principal component')
plt.legend(loc="upper left")
plt.figure(figsize=(8, 6))
X, Y = make_multilabel_classification(n_classes=2,
allow_unlabeled=False, # 该参数控制是否有类别缺省的数据,False表示没有
random_state=1)
plot_subfigure(X, Y, 1, "With unlabeled samples + CCA")
plt.subplots_adjust(.04, .02, .97, .94, .09, .2)
plt.show()
import numpy as np
import matplotlib.pyplot as plt
from sklearn.datasets import make_multilabel_classification
from sklearn.multiclass import OneVsRestClassifier
from sklearn.svm import SVC
from sklearn.preprocessing import LabelBinarizer
from sklearn.decomposition import PCA
def plot_hyperplane(clf, min_x, max_x, linestyle, label):
# 画图
w = clf.coef_[0]
a = -w[0] / w[1]
xx = np.linspace(min_x - 5, max_x + 5)
yy = a * xx - (clf.intercept_[0]) / w[1]
plt.plot(xx, yy, linestyle, label=label)
def plot_subfigure(X, Y, subplot, title):
# 将X进行降维操作,变成两维的数据
X = PCA(n_components=2).fit_transform(X)
min_x = np.min(X[:, 0])
max_x = np.max(X[:, 0])
min_y = np.min(X[:, 1])
max_y = np.max(X[:, 1])
classif = OneVsRestClassifier(SVC(kernel='linear'))
classif.fit(X, Y)
plt.subplot(2, 2, subplot)
plt.title(title)
zero_class = np.where(Y[:, 0])
one_class = np.where(Y[:, 1])
plt.scatter(X[:, 0], X[:, 1], s=40, c='gray')
plt.scatter(X[zero_class, 0], X[zero_class, 1], s=160, edgecolors='b',
facecolors='none', linewidths=2, label='Class 1')
plt.scatter(X[one_class, 0], X[one_class, 1], s=80, edgecolors='orange',
facecolors='none', linewidths=2, label='Class 2')
plot_hyperplane(classif.estimators_[0], min_x, max_x, 'r--',
'Boundary\nfor class 1')
plot_hyperplane(classif.estimators_[1], min_x, max_x, 'k-.',
'Boundary\nfor class 2')
plt.xticks(())
plt.yticks(())
plt.xlim(min_x - .5 * max_x, max_x + .5 * max_x)
plt.ylim(min_y - .5 * max_y, max_y + .5 * max_y)
if subplot == 1:
plt.xlabel('First principal component')
plt.ylabel('Second principal component')
plt.legend(loc="upper left")
plt.figure(figsize=(8, 6))
X, Y = make_multilabel_classification(n_classes=2, n_labels=1,
allow_unlabeled=False, # 该参数控制是否有类别缺省的数据,False表示没有
random_state=1)
plot_subfigure(X, Y, 1, "With unlabeled samples + CCA")
plt.subplots_adjust(.04, .02, .97, .94, .09, .2)
plt.show()
多标签分类问题(OneVsRestClassifier)
3.2 Algorithm Adaptation
Algorithm Adaptation又叫做算法适应性策略,是一种将现有的单标签的算法直接应用到多标签上的一种方式,主要有以下几种方式:
k近邻算法(k-Nearest Neighbour, KNN)的思想:如果一个样本在特征空间中的k个最相似(即特征空间中距离最近)的样本中的大多数属于某一个类别,那么该样本属于这个类别。
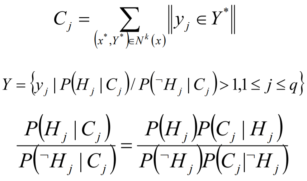
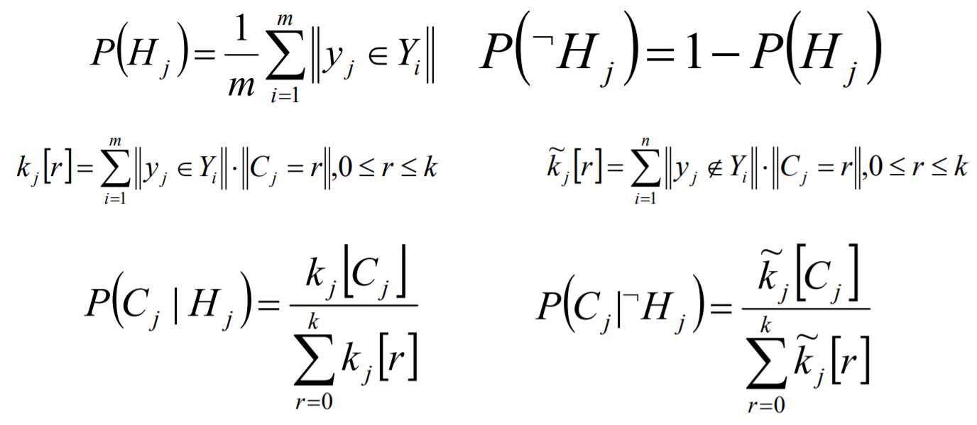
ML-kNN的思想:对于每一个实例来讲,先获取距离它最近的k个实例,然后使用这些实例的标签集合,通过最大后验概率(MAP)来判断这个实例的预测标签集合的值。
最大后验概率(MAP):其实就是在最大似然估计(MLE)中加入了这个要估计量 的先验概率分布。



ML-DT是使用决策树处理多标签内容,核心在于给予更细粒度的信息殇增益准则来构建这个决策树模型。

本文介绍了多分类问题,特别是单标签的二分类和多分类问题。讨论了OvO(一对一)和OvR(一对多)的策略,包括手动实现和使用sklearn库的API。同时,提到了ErrorCorrectingOutputcodes(纠错码机制)以及多标签问题的转换策略,如BinaryRelevance和ClassifierChains。文章还展示了如何使用sklearn库中的ClassifierChain和OneVsRestClassifier实现多标签分类。
477

被折叠的 条评论
为什么被折叠?



