Gamma函数和Beta函数是最基本也是最重要的两个特殊函数,它们如同基石般奠定了整个特殊函数论大厦的基础。相信你在微积分和统计里,经常看到他们的身影,所以快来getGamma 函数和 Beta 函数的技能。
1 Gamma函数
1.1 介绍
伽马函数(Gamma 函数),即欧拉第二积分,是阶乘函数在实数与复数上扩展的一类函数。该函数在分析学、概率论、偏微分方程和组合数学中有重要的应用。与之有密切联系的函数是贝塔函数,也叫第一类欧拉积分,可以用来快速计算同伽马函数形式相类似的积分。
我们接触的Gamma函数一般是下面的形式:
Γ
(
x
)
=
∫
0
∞
t
x
−
1
e
−
t
d
t
\Gamma(x) = \int_{0}^{\infty}t^{x-1}e^{-t}dt
Γ(x)=∫0∞tx−1e−tdt
通过分部积分的方法,可以推导出这个函数具有如下的递归性质:
Γ ( x + 1 ) = x Γ ( x ) \Gamma(x+1) = x\Gamma(x) Γ(x+1)=xΓ(x)
于是很容易证明,
Γ
(
x
)
\Gamma(x)
Γ(x) 函数可以当成是阶乘在实数集上的延拓,具有如下性质:
Γ
(
n
)
=
(
n
−
1
)
!
\Gamma(n) = (n-1)!
Γ(n)=(n−1)!
要了解更多的 Gamma 函数的历史,推荐阅读
- Philip J. Davis,Leonhard Euler’s Integral: A Historical Profile of the Gamma Function
- Jacques Dutka,The Early History of the Factorial Function
- Detlef Gronnau,Why is the gamma function so as it is?
1.2 推导
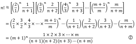
在某一个特殊的时刻,欧拉发现阶乘
n
!
n!
n! 可以用一个无穷乘积表示:
n
!
=
[
(
2
1
)
n
1
n
+
1
]
[
(
3
2
)
n
2
n
+
2
]
[
(
4
3
)
n
3
n
+
3
]
⋯
①
n! = [(\frac{2}{1})^n \frac{1}{n+1}] [(\frac{3}{2})^n \frac{2}{n+2}] [(\frac{4}{3})^n \frac{3}{n+3}] \cdots \quad ①
n!=[(12)nn+11][(23)nn+22][(34)nn+33]⋯①
如果有m项乘积:

当
m
>
>
n
m >> n
m>>n 时,上式可继续计算:

当 m → ∞ m \to \infty m→∞ 时,无穷乘积的极限:
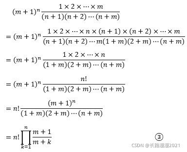
lim n → ∞ ( m + 1 ) n 1 × 2 × 3 × ⋯ × m ( n + 1 ) ( n + 2 ) ( n + 3 ) ⋯ ( n + m ) ⏟ ( 1 ) = lim n → ∞ n ! ∏ k = 1 n m + 1 m + k ⏟ ( 2 ) = n ! \lim_{n \to \infty}\underbrace{(m+1)^n \frac{1 \times 2 \times 3 \times \cdots \times m}{(n+1)(n+2)(n+3)\cdots(n+m)}}_{(1)} = \lim_{n \to \infty} \underbrace{n! \prod_{k=1}^{n} \frac{m+1}{m+k}}_{(2)} = n! n→∞lim(1) (m+1)n(n+1)(n+2)(n+3)⋯(n+m)1×2×3×⋯×m=n→∞lim(2) n!k=1∏nm+km+1=n!
值得注意的是,
n
!
n!
n! 明显不等于(2),(2)又是由(1)整理而来的,因此
n
!
n!
n! 也不等于(1),而是在
m
→
∞
m \to \infty
m→∞ 时
n
!
n!
n! 等于(1)或(2)的极限。以
n
=
2
n = 2
n=2 为例,
n
!
=
2
n! = 2
n!=2 ,
m
m
m 是2、50、100时,(1)的结果分别是1.5、1.9615384615384617、1.980392156862745,展开的越多,越接近于
n
!
n!
n!。
有了这个无穷乘积,欧拉便把
n
=
1
2
n = \frac{1}{2}
n=21 代入①式,得到:

根号里面的东西是英国数学家沃利斯(John Wallis)在1665年写下的沃利斯公式:
2
1
×
2
3
×
4
3
×
4
5
×
6
5
×
6
7
×
8
7
×
8
9
×
10
9
⋯
=
∏
n
=
1
∞
2
n
2
n
−
1
⋅
2
n
2
n
+
1
=
π
2
\frac{2}{1} \times \frac{2}{3} \times \frac{4}{3} \times \frac{4}{5} \times \frac{6}{5} \times \frac{6}{7} \times \frac{8}{7} \times \frac{8}{9} \times \frac{10}{9} \cdots = \prod_{n=1}^{\infty}\frac{2n}{2n-1} \cdot \frac{2n}{2n+1} = \frac{\pi}{2}
12×32×34×54×56×76×78×98×910⋯=n=1∏∞2n−12n⋅2n+12n=2π
于是,欧拉把沃利斯公式折半:
2 3 × 4 3 × 4 5 × 6 5 × 6 7 × 8 7 × 8 9 × 10 9 ⋯ = π 4 ( 1 2 ) ! = π 2 \frac{2}{3} \times \frac{4}{3} \times \frac{4}{5} \times \frac{6}{5} \times \frac{6}{7} \times \frac{8}{7} \times \frac{8}{9} \times \frac{10}{9} \cdots = \frac{\pi}{4} \\ (\frac{1}{2})! = \frac{\sqrt \pi}{2} 32×34×54×56×76×78×98×910⋯=4π(21)!=2π
欧拉发现
(
1
2
)
!
(\frac{1}{2})!
(21)! 的计算结果中居然有
π
\pi
π,有
π
\pi
π 的地方通常会和圆的积分相关。于是,欧拉开始尝试把
n
!
n!
n! 表达为积分形式。虽然Wallis 的时代微积分还没有发明出来,Wallis是使用插值的方式做推导计算的,但是Wallis 公式的推导过程基本上就是在处理积分
∫
0
1
x
1
2
(
1
−
x
)
1
2
d
x
\int_{0}^{1}x^{\frac{1}{2}}(1-x)^{\frac{1}{2}}dx
∫01x21(1−x)21dx,受Wallis 的启发,欧拉开始考虑如下的一般形式的积分:
J
(
a
,
n
)
=
∫
0
1
x
a
(
1
−
x
)
n
d
x
J(a,n) = \int_{0}^{1}x^{a}(1-x)^{n}dx
J(a,n)=∫01xa(1−x)ndx
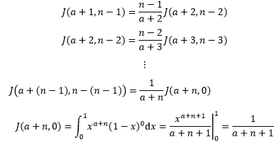
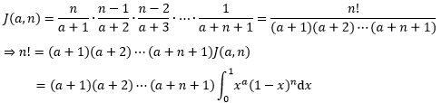
式子中, n n n 为正整数, a a a 为正实数。利用分部积分:
继续使用分部积分:

上面的所有递推合并到一起就得到了最终的结果:
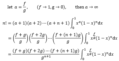
现在阶乘变成了积分的形式。然而这个式子的前提是 n n n 是正整数,无法推广到分数,欧拉继续研究如何化简这个表达式。 a a a 是一个任意实数,能否让 a a a 消失?一个惯用的方法是取极端值, a > 0 a > 0 a>0 的一个极端是无穷,看看让 a a a 趋近于无穷时会得到什么结果。这里欧拉使用的技巧是让 a a a 等于两个实数的商:
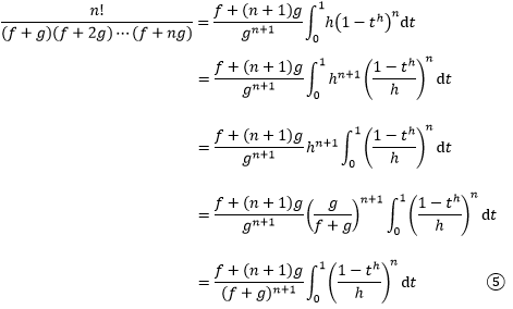
等式两侧同时除以
(
f
+
g
)
(
f
+
2
g
)
⋯
(
f
+
n
g
)
(f+g)(f+2g) \cdots (f+ng)
(f+g)(f+2g)⋯(f+ng):
n
!
(
f
+
g
)
(
f
+
2
g
)
⋯
(
f
+
n
g
)
=
f
+
(
n
+
1
)
g
g
n
+
1
∫
0
1
x
f
g
(
1
−
x
)
n
d
x
④
\frac{n!}{(f+g)(f+2g) \cdots (f+ng)} = \frac{f+(n+1)g}{g^{n+1}} \int_{0}^{1}x^{\frac{f}{g}}(1-x)^n dx \quad ④
(f+g)(f+2g)⋯(f+ng)n!=gn+1f+(n+1)g∫01xgf(1−x)ndx④
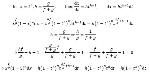
当 f → 1 , g → 0 f \to 1,g \to 0 f→1,g→0 时,左侧趋近于 n ! n! n!,但是右侧出现了讨厌的0分母,此时为了简化计算:
将上式的结论代入④:
用求极限的方式去掉
f
和
g
f 和 g
f和g:
lim
f
→
1
,
g
→
0
n
!
(
f
+
g
)
(
f
+
2
g
)
⋯
(
f
+
n
g
)
=
n
!
lim
f
→
1
,
g
→
0
f
+
(
n
+
1
)
g
(
f
+
g
)
n
+
1
=
1
\lim_{f \to 1,g \to 0} \frac{n!}{(f+g)(f+2g) \cdots (f+ng)} = n! \\ \lim_{f \to 1,g \to 0} \frac{f+(n+1)g}{(f+g)^{n+1}} =1
f→1,g→0lim(f+g)(f+2g)⋯(f+ng)n!=n!f→1,g→0lim(f+g)n+1f+(n+1)g=1
当
f
→
1
,
g
→
0
时,
h
→
0
,
(
1
−
t
h
)
/
h
f \to 1,g \to 0 时,h \to 0,(1-t^h)/h
f→1,g→0时,h→0,(1−th)/h的极限变成了
0
/
0
0/0
0/0 的形式,在洛必达法则的帮助下,
0
/
0
型和
∞
/
∞
0/0 型和 \infty/\infty
0/0型和∞/∞ 型的极限也是可以求解的。令
u
(
h
)
=
1
−
t
h
,
v
(
h
)
=
h
u(h) = 1-t^h,v(h) = h
u(h)=1−th,v(h)=h,根据洛必达法则:
lim
h
→
0
u
(
h
)
v
(
h
)
=
lim
h
→
0
u
′
(
h
)
v
′
(
h
)
=
lim
h
→
0
−
l
n
t
1
=
−
l
n
t
\lim_{h \to 0} \frac{u(h)}{v(h)} = \lim_{h \to 0} \frac{u^{'}(h)}{v^{'}(h)} = \lim_{h \to 0} \frac{-lnt}{1} = -lnt
h→0limv(h)u(h)=h→0limv′(h)u′(h)=h→0lim1−lnt=−lnt
于是在对⑤的等式两侧求极限时,神奇的一幕出现了:
n
!
=
∫
0
1
(
−
l
n
t
)
n
d
t
n! = \int_{0}^{1}(-lnt)^ndt
n!=∫01(−lnt)ndt
任意实数 a a a 已经消失了, n ! n! n! 变成了一个简洁的积分形式。继续变换:
于是得到欧拉最早定义的伽玛函数,实际上就是阶乘扩展到实数范围:
Γ
(
x
)
=
x
!
=
∫
0
∞
u
x
e
−
u
d
u
(
x
>
0
)
\Gamma(x) = x! = \int_{0}^{\infty}u^xe^{-u}du(x>0)
Γ(x)=x!=∫0∞uxe−udu(x>0)
但是欧拉后来修改了伽玛函数的定义,变成了:
Γ
(
x
)
=
(
x
−
1
)
!
Γ
(
x
)
=
∫
0
1
(
−
l
n
t
)
x
−
1
d
t
⑥
Γ
(
x
)
=
∫
0
∞
u
x
−
1
e
−
u
d
u
⑦
\Gamma(x) = (x-1)! \quad\\ \Gamma(x) = \int_{0}^{1}(-lnt)^{x-1}dt \quad ⑥ \\ \Gamma(x) = \int_{0}^{\infty}u^{x-1} e^{-u}du \quad ⑦
Γ(x)=(x−1)!Γ(x)=∫01(−lnt)x−1dt⑥Γ(x)=∫0∞ux−1e−udu⑦
这也是现在我们所说的伽玛函数,⑥和⑦是两种表达,⑦更为常见,从积分域可以看出 t 和 u t和u t和u 的取值范围。
看一下 Γ \Gamma Γ 函数的曲线:
补充:
Gamma函数还有其他定义,这里只简单介绍,详细推导请阅读:Gamma函数的那些事儿——四种定义
Γ ( x ) = lim n → ∞ n x n ! x ( x + 1 ) ( x + 2 ) ⋯ ( x + n − 1 ) ( x + n ) Γ ( x ) = 1 x ∏ k = 1 ∞ ( 1 + 1 k ) x 1 + x k 1 Γ ( x ) = x e γ x ∏ k = 1 ∞ ( 1 + x k ) e − x k ( W e i e r s t r a s s 无穷乘积形式) \Gamma(x) = \lim_{n \to \infty} \frac{n^xn!}{x(x+1)(x+2)\cdots (x+n-1)(x+n)} \\ \Gamma(x) = \frac{1}{x} \prod_{k=1}^{\infty}\frac{(1+\frac{1}{k})^x}{1+\frac{x}{k}} \\ \frac{1}{\Gamma(x)} = xe^{\gamma x} \prod_{k=1}^{\infty}(1+\frac{x}{k})e^{-\frac{x}{k}} (Weierstrass无穷乘积形式) Γ(x)=n→∞limx(x+1)(x+2)⋯(x+n−1)(x+n)nxn!Γ(x)=x1k=1∏∞1+kx(1+k1)xΓ(x)1=xeγxk=1∏∞(1+kx)e−kx(Weierstrass无穷乘积形式)
1.3 Gamma函数的性质
Gamma 函数在数学分析中不断被深入研究,在概率论中也是无处不在,很多统计分布都和这个函数相关。常用性质:
- 递推公式
Γ ( x + 1 ) = Γ ( x ) Γ ( n + 1 2 ) = π 2 2 n ( 2 n ) ! n ! Γ ( x ) Γ ( 1 − x ) = π s i n ( π a ) Γ ( x + 1 2 ) = Γ ( 2 x ) Γ ( 1 2 ) Γ ( x ) 2 2 x − 1 \Gamma(x+1) = \Gamma(x) \\ \quad \\ \Gamma(n + \frac{1}{2}) = \frac{\sqrt \pi}{2^{2n}} \frac{(2n)!}{n!} \\ \quad \\ \Gamma(x) \Gamma(1-x) = \frac{\pi}{sin(\pi a)} \\ \quad \\ \Gamma(x + \frac{1}{2}) = \frac{\Gamma(2x) \Gamma(\frac{1}{2})}{\Gamma(x)2^{2x-1}} Γ(x+1)=Γ(x)Γ(n+21)=22nπn!(2n)!Γ(x)Γ(1−x)=sin(πa)πΓ(x+21)=Γ(x)22x−1Γ(2x)Γ(21)
我们知道
0
!
=
1
0! = 1
0!=1,
Γ
(
1
)
\Gamma(1)
Γ(1)对此进行解释:
0
!
=
Γ
(
1
)
=
∫
0
∞
u
1
−
1
e
−
u
d
u
=
∫
0
∞
e
−
u
d
u
=
−
e
−
u
∣
0
∞
=
−
e
−
∞
+
1
=
1
0! = \Gamma(1) = \int_{0}^{\infty}u^{1-1}e^{-u}du = \int_{0}^{\infty}e^{-u}du = -e^{-u}|_{0}^{\infty} = -e^{-\infty} + 1 = 1
0!=Γ(1)=∫0∞u1−1e−udu=∫0∞e−udu=−e−u∣0∞=−e−∞+1=1
积分中常用的几个数值:
| f ( x ) f(x) f(x) | ∫ 0 + ∞ f ( x ) d x \int_{0}^{+\infty}f(x)dx ∫0+∞f(x)dx | 备注 |
|---|---|---|
| x − 1 2 e − x x^{-\frac{1}{2}}e^{-x} x−21e−x | π \sqrt \pi π | Γ ( 1 2 ) \Gamma(\frac{1}{2}) Γ(21) |
| e − x e^{-x} e−x | 1 1 1 | Γ ( 1 ) \Gamma(1) Γ(1) |
| x 1 2 e − x x^{\frac{1}{2}}e^{-x} x21e−x | π 2 \frac{\sqrt \pi}{2} 2π | Γ ( 3 2 ) \Gamma(\frac{3}{2}) Γ(23) |
| x e − x xe^{-x} xe−x | 1 1 1 | Γ ( 2 ) \Gamma(2) Γ(2) |
| 详细推导请参考:伽马函数常用积分数值 |
(1)欧拉常数
γ
\gamma
γ
γ
=
−
d
Γ
(
x
)
d
x
∣
x
=
1
=
lim
n
→
∞
(
1
+
1
2
+
1
3
+
⋯
+
1
n
−
l
n
(
n
)
)
=
lim
n
→
∞
∑
k
=
1
n
1
k
−
l
n
n
\gamma = - \frac{d\Gamma(x)}{dx} |_{x=1} = \lim_{n \to \infty}(1 + \frac{1}{2}+ \frac{1}{3} + \cdots + \frac{1}{n} - ln (n)) \\ = \lim_{n \to \infty} \sum_{k=1}^{n} \frac{1}{k} - ln n
γ=−dxdΓ(x)∣x=1=n→∞lim(1+21+31+⋯+n1−ln(n))=n→∞limk=1∑nk1−lnn
(2)Digamma 函数
Ψ
(
x
)
=
d
l
o
g
Γ
(
x
)
d
x
=
Γ
′
(
x
)
Γ
(
x
)
=
−
γ
+
∫
0
1
1
−
x
z
−
1
1
−
x
d
x
\Psi(x) = \frac{dlog \Gamma(x)}{dx} = \frac{\Gamma^{'}(x)}{\Gamma(x)} = -\gamma + \int_{0}^{1} \frac{1 -x ^{z-1}}{1-x}dx
Ψ(x)=dxdlogΓ(x)=Γ(x)Γ′(x)=−γ+∫011−x1−xz−1dx
这也是一个很重要的函数,在涉及求 Dirichlet 分布相关的参数的极大似然估计时,往往需要使用到这个函数。Digamma 函数具有如下漂亮的性质:
- 递推公式
Ψ ( x + 1 ) = Ψ ( x ) + 1 x \Psi(x+1) = \Psi(x) + \frac{1}{x} Ψ(x+1)=Ψ(x)+x1 - 反射公式
ψ ( 1 − x ) = ψ ( x ) + π cot π x \psi(1-x)=\psi(x)+\pi\cot\pi x ψ(1−x)=ψ(x)+πcotπx - 倍加公式
ψ ( 2 x ) = 1 2 ψ ( x ) + 1 2 ψ ( x + 1 2 ) + ln 2 \psi(2x)=\frac{1}{2}\psi(x)+\frac{1}{2}\psi\left(x+\frac{1}{2}\right)+\ln2 ψ(2x)=21ψ(x)+21ψ(x+21)+ln2
函数
Ψ
(
x
)
\Psi(x)
Ψ(x) 和欧拉常数
γ
\gamma
γ 以及
ζ
\zeta
ζ 函数都有密切关系,令
Ψ
n
(
x
)
=
d
n
+
1
l
o
g
Γ
(
x
)
d
x
n
+
1
\Psi_n(x) = \frac{d^{n+1}{log \Gamma(x)}}{dx^{n+1}}
Ψn(x)=dxn+1dn+1logΓ(x)
则
Ψ
0
(
x
)
=
Ψ
(
x
)
\Psi_0(x) = \Psi(x)
Ψ0(x)=Ψ(x),可以证明:
Ψ
(
n
)
=
−
γ
+
∑
k
=
1
n
−
1
1
k
(
n
∈
N
)
Ψ
(
x
)
=
−
γ
−
∑
k
=
0
∞
(
1
x
+
k
−
1
k
+
1
)
(
x
∈
C
)
Ψ
(
1
)
=
−
γ
,
Ψ
(
2
)
=
1
−
γ
Ψ
1
(
1
)
=
ζ
(
2
)
=
π
2
6
,
Ψ
2
(
1
)
=
=
−
2
ζ
(
3
)
\Psi(n) = -\gamma + \sum_{k=1}^{n-1} \frac{1}{k} (n \in N)\\ \Psi(x) = -\gamma - \sum_{k=0}^{\infty}(\frac{1}{x+k} - \frac{1}{k+1}) (x \in C) \\ \Psi(1) = -\gamma,\Psi(2) = 1 - \gamma \\ \Psi_1(1) = \zeta(2) = \frac{\pi^2}{6},\Psi_2(1) = = -2 \zeta(3)
Ψ(n)=−γ+k=1∑n−1k1(n∈N)Ψ(x)=−γ−k=0∑∞(x+k1−k+11)(x∈C)Ψ(1)=−γ,Ψ(2)=1−γΨ1(1)=ζ(2)=6π2,Ψ2(1)==−2ζ(3)
1.4 Gamma函数的应用
(1)利用伽马函数求导数
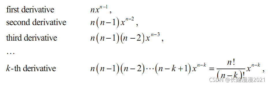
我们原来只能定义一阶、二阶等整数阶导数,有了 Gamma 函数我们可以把函数导数的定义延拓到实数集,从而可以计算 1/2 阶导数, 同样的积分作为导数的逆运算也可以有分数阶。 我们先考虑一下
x
n
x^n
xn 的各阶导数:

由于 k 阶导数可以用阶乘表达,于是我们用 Gamma 函数表达为:
Γ
(
n
+
1
)
Γ
(
n
−
k
+
1
)
x
n
−
k
\frac{\Gamma(n+1)}{\Gamma(n-k+1)}x^{n-k}
Γ(n−k+1)Γ(n+1)xn−k
于是基于上式,我们可以把导数的阶从整数延拓到实数集。例如,取
n
=
1
,
k
=
1
2
n=1, k = \frac{1}{2}
n=1,k=21 我们可以计算
x
x
x 的
1
2
\frac{1}{2}
21 阶导数为:
Γ
(
1
+
1
)
Γ
(
1
−
1
/
2
+
1
)
x
1
−
1
/
2
=
2
x
π
\frac{\Gamma(1+1)}{\Gamma(1-1/2+1)}x^{1-1/2} = \frac{2 \sqrt x}{\sqrt \pi}
Γ(1−1/2+1)Γ(1+1)x1−1/2=π2x
对于一般的函数
f
(
x
)
f(x)
f(x) 通过 Taylor 级数展开可以表达为幂级数,于是借用
x
n
x^n
xn 的分数阶导数,我们可以尝试定义出任意函数的分数阶导数。不过有点遗憾的是这种定义方法并非良定义的,不是对所有函数都适用,但是这个思想却是被数学家广泛采纳了,并由此发展了数学分析中的一个研究课题:Fractional Calculus,在这种微积分中,分数阶的导数和积分都具有良定义,而这都依赖于 Gamma 函数。
(2)利用利用伽马函数简化级数
当我们求不出一些级数,但是我们可以让它在不同的形式间转化,例如:
∑
k
=
1
∞
1
k
k
=
1
+
1
2
2
+
1
3
3
+
1
4
4
+
1
5
5
+
⋯
\sum_{k=1}^{\infty}\frac{1}{k^k} = 1 + \frac{1}{2^2} +\frac{1}{3^3}+\frac{1}{4^4}+\frac{1}{5^5} + \cdots
k=1∑∞kk1=1+221+331+441+551+⋯
根据 n ! = Γ ( n + 1 ) n! = \Gamma(n+1) n!=Γ(n+1) 对级数进行如下构造:
∑ k = 1 ∞ 1 k k = ∑ k = 1 ∞ Γ ( k ) ( k − 1 ) ! k k = ∑ k = 1 ∞ 1 ( k − 1 ) ! k k ∫ 0 ∞ x k − 1 e − x d x = ∑ k = 1 ∞ 1 ( k − 1 ) ! ∫ 0 ∞ ( x k ) k − 1 e − x d x k \sum_{k=1}^\infty{1\over k^k}=\sum_{k=1}^\infty{\Gamma(k)\over(k-1)!k^k}=\sum_{k=1}^\infty{1\over(k-1)!k^k}\int_0^\infty x^{k-1}e^{-x}\mathrm{d}x=\sum_{k=1}^\infty{1\over(k-1)!}\int_0^\infty\left(x\over k\right)^{k-1}e^{-x}{\mathrm{d}x\over k} k=1∑∞kk1=k=1∑∞(k−1)!kkΓ(k)=k=1∑∞(k−1)!kk1∫0∞xk−1e−xdx=k=1∑∞(k−1)!1∫0∞(kx)k−1e−xkdx
令 t = x k t = \frac{x}{k} t=kx,则 d t = d x k dt = \frac{dx}{k} dt=kdx,于是得到变换后的级数表达式:
∑ k = 1 ∞ 1 k k = ∑ k = 1 ∞ 1 ( k − 1 ) ! ∫ 0 ∞ t k − 1 e − k t d t \sum_{k=1}^\infty{1\over k^k}=\sum_{k=1}^\infty{1\over(k-1)!}\int_0^\infty t^{k-1}e^{-kt}\mathrm{dt} k=1∑∞kk1=k=1∑∞(k−1)!1∫0∞tk−1e−ktdt
再用 u = e − t ⇒ t = − ln ( u ) ⇒ d t = − d u u u=e^{-t}\Rightarrow t=-\ln(u)\Rightarrow\mathrm{dt}=-{\mathrm{d}u\over u} u=e−t⇒t=−ln(u)⇒dt=−udu 进行换元,得到:
∑ k = 1 ∞ 1 k k = ∑ k = 1 ∞ 1 ( k − 1 ) ! ∫ 0 1 ( − ln ( u ) ) k − 1 u k d u u = ∫ 0 1 ∑ k = 1 ∞ ( − u ln ( u ) ) k − 1 ( k − 1 ) ! d u \sum_{k=1}^\infty{1\over k^k}=\sum_{k=1}^\infty{1\over(k-1)!}\int_0^1(-\ln(u))^{k-1}u^k\mathrm{du\over u}=\int_0^1\sum_{k=1}^\infty{(-u\ln(u))^{k-1}\over(k-1)!}\mathrm{d}u k=1∑∞kk1=k=1∑∞(k−1)!1∫01(−ln(u))k−1ukudu=∫01k=1∑∞(k−1)!(−uln(u))k−1du
其中最后一项的求和号与积分号互换位置是通过控制收敛定理(Dominated convergence theorem)得到的。最后我们根据指数函数的麦克劳林展开 e x = ∑ n = 0 ∞ x k n ! e^x = \sum_{n =0}^{\infty}\frac{x^k}{n!} ex=∑n=0∞n!xk,将积分继续简化,得到:
∑ k = 1 ∞ 1 k k = ∫ 0 1 e − u ln ( u ) d u = ∫ 0 1 u − u d u \sum_{k=1}^\infty{1\over k^k}=\int_0^1 e^{-u\ln(u)}\mathrm{d}u=\int_0^1u^{-u}\mathrm{d}u k=1∑∞kk1=∫01e−uln(u)du=∫01u−udu
最终通过补 Gamma 函数将一个级数转化为了一个简短的定积分。
(3)欧拉余元公式(Euler’s reflection formula)
Γ
(
x
)
Γ
(
1
−
x
)
=
x
−
1
∏
k
=
1
∞
(
1
−
x
2
k
2
)
−
1
Γ
(
x
)
Γ
(
1
−
x
)
=
π
s
i
n
(
π
x
)
\Gamma(x)\Gamma(1-x) = x^{-1} \prod_{k=1}^{\infty}(1 - \frac{x^2}{k^2})^{-1}\\ \Gamma(x)\Gamma(1-x) = \frac{\pi}{sin(\pi x)}
Γ(x)Γ(1−x)=x−1k=1∏∞(1−k2x2)−1Γ(x)Γ(1−x)=sin(πx)π
(4)用Gamma函数美化
ζ
(
s
)
\zeta(s)
ζ(s)
黎曼函数的定义是:
ζ
(
s
)
=
∑
k
=
1
∞
1
k
s
\zeta(s) = \sum_{k=1}^{\infty} \frac{1}{k^s}
ζ(s)=k=1∑∞ks1
将
ζ
(
s
)
\zeta(s)
ζ(s) 和
Γ
(
s
)
\Gamma(s)
Γ(s) 相乘可以得到:
ζ
(
s
)
Γ
(
s
)
=
∫
0
∞
t
s
−
1
e
−
t
1
−
e
−
t
d
t
\zeta(s) \Gamma(s) = \int_{0}^{\infty}\frac{t^{s-1} e^{-t}}{1- e^{-t}}dt
ζ(s)Γ(s)=∫0∞1−e−tts−1e−tdt
(5)斯特林公式
Gamma 函数作为阶乘的推广,它也有和 Stirling 公式类似的一个结论:
Γ
(
x
+
1
)
≈
2
π
e
−
x
x
x
+
1
2
\Gamma(x+1) \approx \sqrt{2 \pi}e^{-x}x^{x+\frac{1}{2}}
Γ(x+1)≈2πe−xxx+21
2 Beta函数
2.1 介绍
贝塔函数具有很好的性质,以及实用的递推公式,另外,Gamma 函数和 Beta 函数之间存在好的关系。
2.2 推导
欧拉在伽玛函数的推导中实际上引入了两类积分形式:
J
(
a
,
n
)
=
∫
0
1
x
a
(
1
−
x
)
n
d
x
(
a
>
0
,
n
>
0
)
S
(
x
)
=
∫
0
∞
u
x
e
−
u
d
u
(
x
>
0
)
J(a, n) = \int_{0}^{1}x^a(1-x)^ndx(a > 0,n>0)\\ S(x) = \int_{0}^{\infty}u^xe^{-u}du (x>0)
J(a,n)=∫01xa(1−x)ndx(a>0,n>0) S(x)=∫0∞uxe−udu(x>0)
后来把这两个积分的参数做了-1的偏移,改为:
B
(
α
,
β
)
=
∫
0
1
x
α
−
1
(
1
−
x
)
β
−
1
d
x
(
α
>
0
,
β
>
0
)
Γ
(
x
)
=
∫
0
∞
u
x
−
1
e
−
u
d
u
(
x
>
0
)
B(\alpha, \beta) = \int_{0}^{1}x^{\alpha-1}(1-x)^{\beta-1}dx (\alpha>0,\beta >0)\\ \Gamma(x) = \int_{0}^{\infty}u^{x-1}e^{-u}du (x>0)
B(α,β)=∫01xα−1(1−x)β−1dx(α>0,β>0)Γ(x)=∫0∞ux−1e−udu(x>0)
由上面的推导可以得到 B ( α , β ) B(\alpha, \beta) B(α,β)的表达式,现在称为贝塔函数或贝塔积分。
当 α < 1 \alpha < 1 α<1 时,是以 x = 0 x = 0 x=0 为瑕点的无界函数反常积分;当 β < 1 \beta < 1 β<1 时,是以 x = 1 x = 1 x=1 为瑕点的无界函数反常积分,应用柯西判别法可证得到 α > 0 , β > 0 \alpha > 0,\beta > 0 α>0,β>0 时,这两个无界函数反常积分都收敛,所以贝塔函数的定义域为 α > 0 , β > 0 \alpha > 0,\beta > 0 α>0,β>0。
下面推导伽马函数与贝塔函数之间存在的关系:
这里需要用到一个新的概念——卷积(Convolution)和拉普拉斯变换,对于卷积的物理意义,请参考:如何通俗易懂地解释卷积,由卷积定理可知:
L
{
(
f
∗
g
)
(
t
)
}
=
L
{
f
(
t
)
}
⋅
L
{
g
(
t
)
}
\mathcal{L} \{(f \ast g)(t)\} = \mathcal{L} \{f(t)\} \cdot \mathcal{L}\{g(t)\}
L{(f∗g)(t)}=L{f(t)}⋅L{g(t)}
接下来研究一下幂函数拉普拉斯变换的性质(其中标注的地方进行了换元:
τ
=
s
t
⟹
d
τ
=
s
d
t
\tau = st \implies d \tau = sdt
τ=st⟹dτ=sdt):
L
{
t
a
}
=
∫
0
∞
t
a
e
−
s
t
d
t
=
1
s
a
+
1
∫
0
∞
(
s
t
)
a
e
−
(
s
t
)
(
s
d
t
)
=
1
s
a
+
1
∫
0
∞
τ
(
a
+
1
)
−
1
e
−
τ
d
τ
(
∗
)
=
Γ
(
a
+
1
)
s
a
+
1
\mathcal{L} \{t^a\} = \int_{0}^{\infty}t^a e^{-st}dt \\ = \frac{1}{s^{a+1}} \int_{0}^{\infty}(st)^ae^{-(st)}(sdt) \\ = \frac{1}{s^{a+1}} \int_{0}^{\infty}\tau^{(a+1)-1}e^{-\tau} d \tau \quad (\ast) \\ = \frac{\Gamma(a+1)}{s^{a+1}}
L{ta}=∫0∞tae−stdt=sa+11∫0∞(st)ae−(st)(sdt)=sa+11∫0∞τ(a+1)−1e−τdτ(∗)=sa+1Γ(a+1)
由上面定义的Beta函数
B
(
α
,
β
)
=
∫
0
1
x
α
−
1
(
1
−
x
)
β
−
1
d
x
B(\alpha, \beta) = \int_{0}^{1}x^{\alpha-1}(1-x)^{\beta-1}dx
B(α,β)=∫01xα−1(1−x)β−1dx,这个表达式看起来像两个幂函数的卷积,所以我们可以写出它的卷积表达式:
∫
0
t
x
α
−
1
(
t
−
x
)
β
−
1
d
x
=
t
α
−
1
∗
t
β
−
1
\int_{0}^{t}x^{\alpha-1}(t-x)^{\beta-1}dx = t^{\alpha-1} \ast t^{\beta-1}
∫0txα−1(t−x)β−1dx=tα−1∗tβ−1
对该卷积进行拉普拉斯变换,可以得到:
L
{
t
α
−
1
∗
t
β
−
1
}
=
L
{
t
α
−
1
}
⋅
L
{
t
β
−
1
}
=
Γ
(
α
)
Γ
(
β
)
s
α
+
β
=
Γ
(
α
)
Γ
(
β
)
Γ
(
α
+
β
)
Γ
(
α
+
β
−
1
+
1
)
s
(
α
+
β
−
1
)
+
1
=
Γ
(
α
)
Γ
(
β
)
Γ
(
α
+
β
)
L
{
t
x
+
y
−
1
}
\mathcal{L} \{t^{\alpha-1} \ast t^{\beta-1}\} = \mathcal{L} \{t^{\alpha-1}\} \cdot \mathcal{L} \{t^{\beta-1}\} = \frac{\Gamma(\alpha)\Gamma(\beta)}{s^{\alpha + \beta}} \\ = \frac{\Gamma(\alpha)\Gamma(\beta)}{\Gamma({\alpha + \beta}}) \frac{\Gamma(\alpha+ \beta-1 +1)}{s^{(\alpha + \beta-1) +1}} = \frac{\Gamma(\alpha)\Gamma(\beta)}{\Gamma({\alpha + \beta}}) \mathcal{L}\{ t^{x+y-1}\}
L{tα−1∗tβ−1}=L{tα−1}⋅L{tβ−1}=sα+βΓ(α)Γ(β)=Γ(α+βΓ(α)Γ(β))s(α+β−1)+1Γ(α+β−1+1)=Γ(α+βΓ(α)Γ(β))L{tx+y−1}
其中Beta函数正好是 t = 1 t=1 t=1 的情况,最后得到了用Gamma函数“美化”后的Beta函数表达式:
B ( α , β ) = Γ ( α ) Γ ( β ) Γ ( α + β ) B ( α , 1 − α ) = Γ ( α ) Γ ( 1 − α ) B(\alpha, \beta) = \frac{\Gamma(\alpha)\Gamma(\beta)}{\Gamma(\alpha + \beta)} \\ B(\alpha, 1-\alpha) = \Gamma(\alpha)\Gamma(1- \alpha) B(α,β)=Γ(α+β)Γ(α)Γ(β)B(α,1−α)=Γ(α)Γ(1−α)
2.3 性质
- 对称性
B ( α , β ) = B ( β , α ) B(\alpha, \beta) = B(\beta, \alpha) B(α,β)=B(β,α)
参考
- Beta 函数和 Gamma 函数有什么用:https://www.zhihu.com/question/31407058/answer/51863214
- 神奇的 Gamma 函数:https://cosx.org/2013/01/lda-math-gamma-function
- 伽马函数:https://www.cnblogs.com/bigmonkey/p/12168500.html
- 伽马函数:https://blog.csdn.net/qq_43141726/article/details/104943994
- Gamma函数的应用:https://zhuanlan.zhihu.com/p/114595109
- The gamma function:https://core.ac.uk/download/pdf/22874824.pdf
- The digamma function:http://emmy.uprrp.edu/lmedina/papers/part10/Part10.pdf
- The beta function:http://scientia.mat.utfsm.cl/archivos/vol16/ar2.pdf
本文详细介绍了伽马函数和贝塔函数的起源、推导过程、关键性质及其在微积分、概率论中的应用,包括Gamma函数的阶乘扩展、积分表示及与Beta函数的关联。通过实例展示了如何利用这些函数简化级数和求导,以及它们在数据分析、统计分布中的重要作用。
957

被折叠的 条评论
为什么被折叠?



