

网上学习资料一大堆,但如果学到的知识不成体系,遇到问题时只是浅尝辄止,不再深入研究,那么很难做到真正的技术提升。
一个人可以走的很快,但一群人才能走的更远!不论你是正从事IT行业的老鸟或是对IT行业感兴趣的新人,都欢迎加入我们的的圈子(技术交流、学习资源、职场吐槽、大厂内推、面试辅导),让我们一起学习成长!
对连续线性定常系统有:

显然要计算系统状态转移矩阵 ,有多种方法,如定义法、Laplace变换法、Sylvester方法。
在Matlab中采用了Pade逼近求取的方法,调用格式为:phi=expm( )。
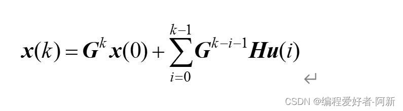
对离散线性定常系统有:

提升IT技术:从系统化学习到Matlab工具在动态系统建模中的应用

最低0.47元/天 解锁文章
3385

被折叠的 条评论
为什么被折叠?



