更多MATLAB数据分析视频请点击,或者在网易云课堂上搜索《MATLAB数据分析与统计》 http://study.163.com/course/courseMain.htm?courseId=1003615016
随着计算机技术的快速发展,随机数在越来越多的领域得到了广泛应用,例如信息安全,网络游戏,计算机仿真和模拟计算,这一章将介绍常用的概率分布及概率计算、利用MATLAB生成随机数。
1.概率分布及概率计算
1.1 概率分布的定义
设X为一随机变量,对任意实数x,定义
F(x)=P(X<=x)
为X的分布函数。根据随机变量取值的特定,随机变量分为离散型和连续型两种。P为X的概率函数
1.2 几种常见的概率分布
(1)二项分布
若随机变量X的概率函数为
则称X服从二项分布,记为X~B(n,p)。其期望E(X)=np,方差var(X)=np(1-p)。
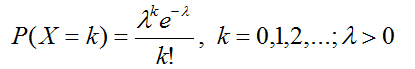
(2)泊松分布
若随机变量X的概率函数为
则称X服从参数为λ的泊松分布,记为X~P(λ)。其期望E(x)=λ,方差var(X)=λ。
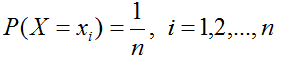
(3)离散均匀分布
若随机变量X的概率函数为
则称X服从离散的均匀分布
(4)连续均匀分布
若随机变量X的概率密度函数为
则称X服从区间[a,b]上的连续均匀分布,记为X~U(a,b)。其期望E(X)=(a+b)/2,方差var(X)=(b-a)^2/12.
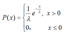
(5)指数分布
若随机变量X的概率密度函数为
其中λ>0为参数,则称X服从指数分布,记为X~Exp(λ)。其期望E(X)=λ,方差var(x)=λ^2
(6)正态分布
若随机变量X的概率密度函数为
其中,σ>0,μ为分布参数,则称X服从正态分布,记为X~N(μ,σ^2),其期望E(X)=μ,方差var(X)=σ^2。特别地,当μ=0,σ=1时,称X服从标准正态分布,记为X~N(0,1)。
(7)卡方分布

本文介绍了概率分布的基本概念,如离散型和连续型随机变量,以及常见的概率分布,如二项分布、泊松分布、正态分布等。详细讲解了如何在MATLAB中使用各种函数计算概率分布、分布函数值和逆概率分布函数值,并生成不同分布的随机数。此外,还展示了如何使用randsample和slicesample函数生成符合特定概率密度函数的随机数。

最低0.47元/天 解锁文章
2103

被折叠的 条评论
为什么被折叠?



