声明:文章是从本人公众号中复制而来,因此,想最新最快了解各类智能优化算法及其改进的朋友,可关注我的公众号:强盛机器学习,不定期会有很多免费代码分享~
目录
动麦优化算法(Animated Oat Optimization algorithm, AOO)是一种新型的元启发式算法(智能优化算法),不同于以往的动物园算法,该算法借鉴燕麦种子在潮湿环境下“滚—弹”传播的三段式运动机理,将全局探索与局部开发巧妙嵌入一个两阶段框架中。该算法由Ruo-Bin Wang等人于2025年4月发表在SCI一区期刊《Knowledge-Based Systems》上!

由于发表时间较短,谷歌学术上还没人引用!你先用,你就是创新!

原理简介
灵感:动画燕麦为禾本科燕麦属一年生草本植物,茎直立,最高可达200厘米,叶为矛状,小穗由两片质地较薄的草质颖片组成,呈卵状披针形,花朵呈披针形排列。成熟时,整个小穗与颖片分离。这种植物的种子不仅能忍受延长的休眠期和恶劣的条件,而且还表现出吸湿运动。

一、初始化阶段
在开始主要策略前,需要先初始化种群的位置:
![]()
其中 r∈(0,1) 为均匀随机数,UBj,LBj分别是第j维上下界,Dim为问题维度 。
二、生物学参数映射
在开发的数学模型中,动画燕麦种子运动散布过程的特征与种子主芒的长度、质量以及滚动过程中的偏心系数有关。这些可以使用以下方程计算:

m为种子质量,𝐿主芒长度,𝑒 偏心旋转系数;𝑡/𝑇 为归一化迭代比;𝑐 控制从探索平滑过渡到开发。
三、勘探阶段
当一部分动画燕麦种子从植物上掉落后,它们的传播主要是通过风、水或动物的影响或作用来实现的。这种传播模式表现出显著的随机性,允许在广泛的解决方案空间中进行探索。位置更新如下:

其中UB是目标问题的上界,Xt+1(i)是第t+1代中第i个个体的位置,Xbest是群体中最佳个体的位置。
四、开发阶段
在这个阶段,剩余的动画燕麦种子将根据它们是否遇到障碍物分为两种传播方法。此外,我们假设两种情况的概率相等。
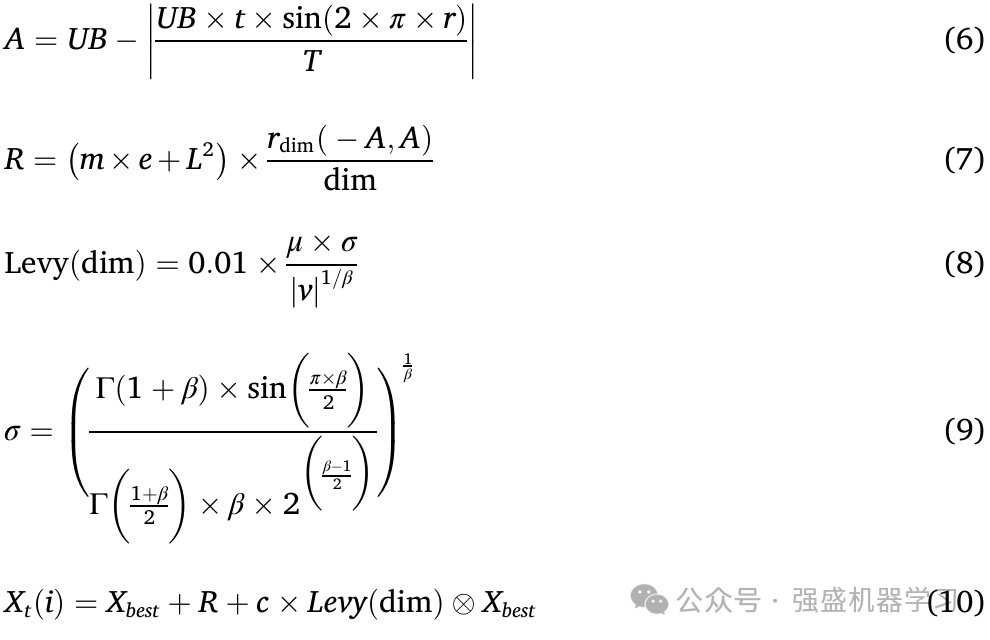
在没有障碍物的情况下,种子位置的变化是通过由水分诱导的应力梯度驱动的吸湿滚动来实现的。我们使用卡扣屈曲的临界曲率来模拟这种运动。滚动机制在数学上表示为偏心旋转和扭矩公式:

其中rdim(−A,A)是一个随机矩阵,其值范围为−A到A,其维度与目标问题相匹配。在Levy飞行中,μ表示期望位置或平均值,通常用于调整步长,是0到1之间的随机值。这种随机性有助于控制飞行过程中的运动方向和距离。σ是步长的尺度参数,它控制步长分布的宽度,决定步长变化的范围,v表示当前速度矢量,反映粒子或个体的运动状态,β是稳定分布的参数,它决定了步长分布的形状,并影响步长的随机性和多样性。最后,Γ表示伽马函数,它是阶乘函数的连续扩展,用于计算非整数参数的阶乘值。当使用Levy飞行时,我们只需要确定问题的维数和β的值(在本文中,β被设置为1.5)。
当种子在传播过程中遇到障碍物时,我们假设主芒经历由储存的能量驱动的喷射。整个种子扩散过程以抛射运动为特征。为了模拟这一过程,我们使用简化的抛射体运动模型进行位置更新,位置更新公式如下:

其中k是种子主芒的弹性系数,x是在弹射能量储存期间主芒长度的变化,θ是弹射轨迹与地面之间的角度,α是抛射运动期间的空气阻力系数,r是0和1之间的随机数,并且r是0和T之间的随机数。
算法流程图和伪代码
为了使大家更好地理解,这边给出作者算法的流程图和伪代码,非常清晰!


如果实在看不懂,不用担心,可以看下源代码,再结合上文公式理解就一目了然了!
性能测评
原文作者使用CEC2022测试套件与9个著名的优化算法的比较。分析表明,AOO具有竞争力。最后,将AOO算法与DV-Hop算法相结合。实验结果表明,AOO算法具有解决复杂优化问题的能力,并具有作为实际工程应用中可靠优化器的潜力。
这边为了方便大家对比与理解,采用23个标准测试函数,即CEC2005,设置种群数量为30,迭代次数为1000,和2024年新出的鹅优化算法进行对比!这边展示其中5个测试函数的图,其余十几个测试函数大家可以自行切换尝试!





可以看到,这个算法在不同类型的函数下测试结果均不错,在大部分函数上均超过了2024年的鹅优化算法!大家应用到各类预测、优化问题中也是一个不错的选择~
参考文献
[1]Wang R B, Hu R B, Geng F D, et al. The Animated Oat Optimization Algorithm: A Nature-Inspired Metaheuristic for Engineering Optimization and a Case Study on Wireless Sensor Networks[J]. Knowledge-Based Systems, 2025: 113589.
完整代码
如果需要免费获得图中的完整测试代码,只需点击下方小卡片,再后台回复关键字,不区分大小写:
AOO
也可点击下方小卡片,再后台回复个人需求(比如AOO-LSTM-Attention)付费定制以下AOO算法优化模型(看到秒回):
1.回归/时序/分类预测类:SVM、RVM、LSSVM、ELM、KELM、HKELM、DELM、RELM、DHKELM、RF、SAE、LSTM、BiLSTM、GRU、BiGRU、PNN、CNN、BP、XGBoost、LightGBM、TCN、BiTCN、ESN、Transformer等等均可~
2.组合预测类:CNN/TCN/BiTCN/DBN/Transformer/Adaboost结合SVM、RVM、ELM、LSTM、BiLSTM、GRU、BiGRU、Attention机制类等均可(可任意搭配非常新颖)~
3.分解类:EMD、EEMD、VMD、REMD、FEEMD、TVFEMD、CEEMDAN、ICEEMDAN、SVMD、FMD等分解模型均可~
4.路径规划类:机器人路径规划、无人机三维路径规划、冷链物流路径优化、VRPTW路径优化等等~
5.优化类:光伏电池参数辨识优化、光伏MPPT控制、储能容量配置优化、微电网优化、PID参数整定优化、无线传感器覆盖优化、图像分割、故障诊断、车间调度等等均可~~
6.原创改进优化算法(适合需要创新的同学):原创改进2025年的动麦优化算法SFOA以及鱼鹰OOA、蛇鹫SBOA等任意优化算法均可,保证测试函数效果,一般可直接核心!
388

被折叠的 条评论
为什么被折叠?



