(自)协方差矩阵与互协方差矩阵简介
协方差矩阵解析
最新推荐文章于 2024-04-09 09:59:23 发布
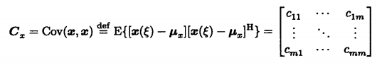
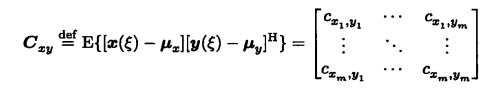
本文深入探讨了协方差矩阵和互协方差矩阵的概念,解释了它们在多变量统计分析中的作用。自协方差矩阵反映了随机向量内部各元素间的协方差关系,而互协方差矩阵则描述了两个不同随机向量元素之间的协方差。通过实例,文章详细阐述了这两种矩阵的计算方法及其在实际应用中的意义。


最低0.47元/天 解锁文章
2万+

被折叠的 条评论
为什么被折叠?



