本章主要内容为二维傅立叶变换及其反变换,频域平滑滤波器、频域锐化滤波器,以及同态滤波器的相关介绍。
本章要求重点掌握图像频域滤波的基本流程及表示;二维离散傅里叶变换的表示及特点;频域平滑滤波器的基本原理和目的,三种典型滤波器;频域锐化滤波器的基本原理和目的,三种典型滤波器;同态滤波器的基本原理和目的。
本章科普内容为图像变换域滤波;离散傅里叶变换;频域带通滤波器。
4.1 二维傅里叶变换及其反变换
4.1.1 图像变换域滤波
图像虽然具有明确视觉意义,但人眼并不能从中直接看出频域信息。通过变换,找出图像的频率成分,有助于图像的增强、去噪。

4.1.2 图像频域滤波
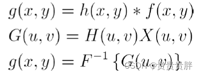
频率滤波需要先进行傅里叶变换,将图像的空域信息转换到频域进行处理,然后再反变换回空域还原为图像,具体流程如下:

参考二维傅里叶变换及逆变换公式:

上述模型中用到的FFT和IFFT对应于快速傅里叶变换与快速傅里叶反变换,空域滤波对应的频域滤波可依次由以下三个公式简单表示:

4.1.3 正弦型变换:离散傅里叶变换(DFT)
4.1.3.1 一维离散傅里叶变换(1D-DFT)
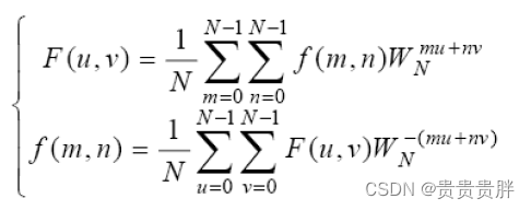
对于有限长序列f(n) (n = 0, 1, 2, ·····, N-1),其DFT为:

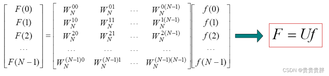
1D-DFT矩阵表示:

其中U称为变换矩阵,从U的构成形式可知:
由此可知,U是一个酉矩阵,且
所以1D-DFT是正交变换,其反变换为:
4.1.3.2 二维离散傅里叶变换(2D-DFT)
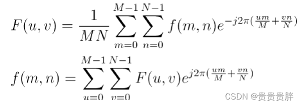
令f(x, y)表示一幅大小为M×N像素的数字图像,其中x=0, 1, 2, ···, M-1,y=0, 1, 2, ···, N-1。由F(u,v)表示的f(x, y)的二维离散傅里叶变换(DFT)及二维离散傅里叶反变换由下式给出:

其中,m, n, u, v均为整数,0 ≤ m, n, u, v ≤ N-1。使用确定频率的变量u和v,可以将指数项展开为正弦函数和余弦函数。频率域是使用u和v作为(频率)变量,由F(u, v)构成的坐标系,而空间域是使用x和y作为(空间)变量,由f(x, y)构成的坐标系。
傅里叶变换表示为复数形式:
傅里叶变换表示成为指数形式:
幅度谱:
相位:
功率谱:
4.1.3.3 2D-DFT的性质
(1)变换核的可分离性
在离散傅里叶变换中,变换核为:
变换核的可分离性说明2D-DFT可通过两次1D-DFT完成,具体计算如下:
因此,我们无论从行方向还是列方向开始对 进行1D-DFT,都可以得到最终的二维傅里叶变换:

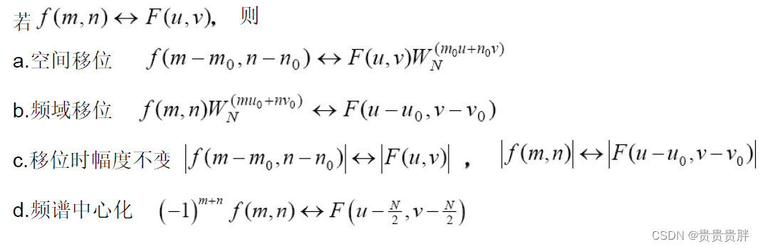
(2)移位特性

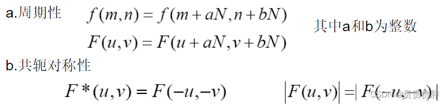
(3)周期性和共轭特性

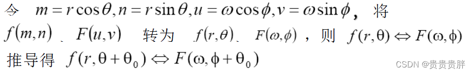
(4)旋转不变性

(5)比例尺(尺度变换)

(6)平均性

(7)卷积定理

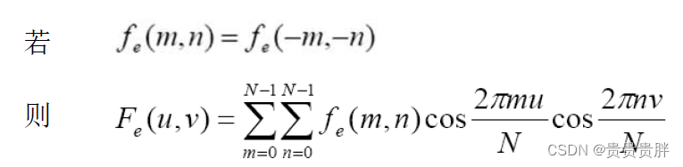
(8)实偶函数的DFT

(9)实奇函数的DFT

4.2 图像频域滤波
4.2.1 频域低通滤波器
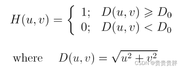
(1)理想低通滤波器(ILPF)


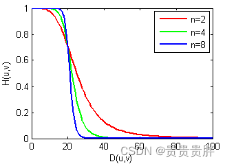
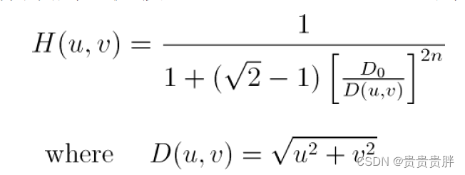
(2)Butterworth低通滤波器(BLPF)


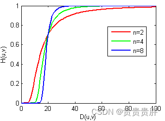
n为整数,称为滤波器的阶数,n越大,通带和阻带的近似性越好,过渡带也越陡。


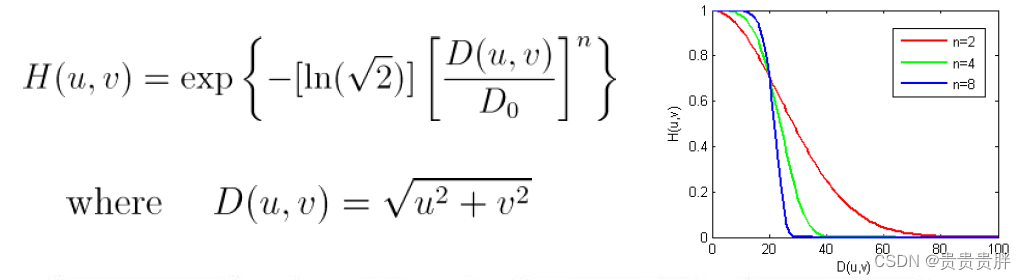
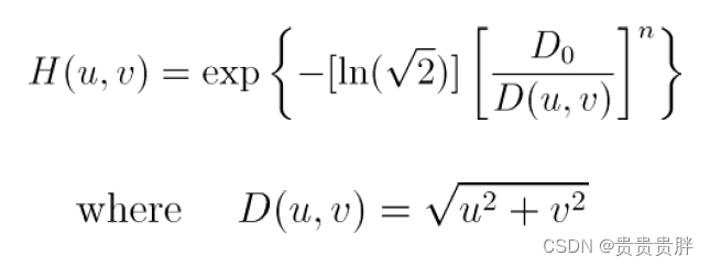
(3)指数低通滤波器(ELPF)

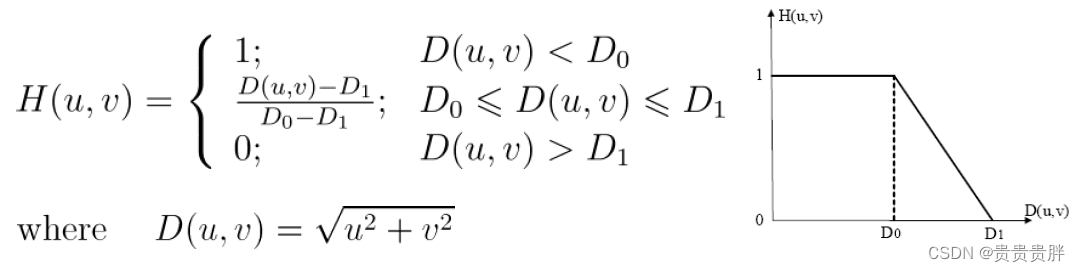
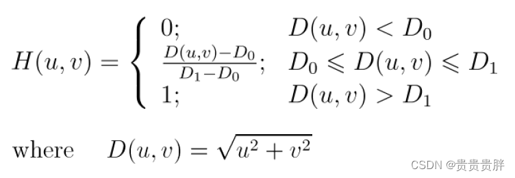
(4)梯形低通滤波器(TLPF)

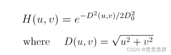
(5)高斯低通滤波器(GLPF)
高斯滤波器的空域和频域形式相同,从频域来看没有振铃现象。

4.2.2 频域高通滤波器
(1)理想高通滤波器(IHPF)


(2)Butterworth高通滤波器(BHPF)


(3)指数高通滤波器(EHPF)


(4)梯形高通滤波器(THPF)


4.2.3 频域带通滤波器
(1)双高斯差带通滤波器(DOG)


4.3 同态滤波
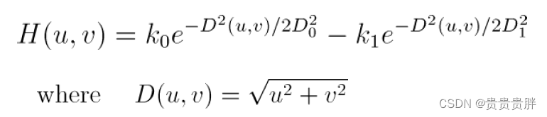
同态滤波是一种把频率过滤和灰度变换结合起来的图像处理方法。它根据图像的照度反射模型,利用压缩亮度范围和增强对比度来改善图像质量。
同态滤波主要为了解决:(1)光照不均匀,则使图像上对应于照度暗的区域,无法分辨细节;(2)动态范围过大,如在夏日强光照射下成像,景物细节无法区分。
同态滤波可以增强图像暗区细节,同时又不损失图像亮区细节。
入射分量 在空间缓慢变化,处于低频区域;
反射分量 反映细节,处于高频区域。
同态滤波的滤波滤波步骤:
(1)图像光照模型建模:
(2)变换到对数坐标系(注意条件!!!)
(3)变换到频域
(4)用传递函数H实施频域滤波
(5)变换回时域
(6)变换回原坐标


1663

被折叠的 条评论
为什么被折叠?



