今天给大家介绍一个ABAQUS显式动力学分析的应用-二维切削仿真,案例模型如下图所示。

图1 案例了解
回顾一下ABAQUS的有限元分析流程:

图2 ABAQUS有限元分析流程
![]()
一、前处理
![]()
1.1 几何模型的构建
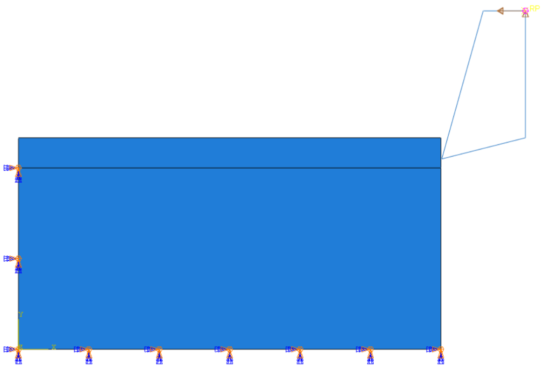
Part模块通过create part创建2D-deformable-shell工件模型,矩形尺寸大小为10*5;通过create part创建2D-discrete rigid-wire刀具模型,依据工件尺寸大致创建,并在任意角点处创建参考点。
1.2 材料参数的定义
今天给大家介绍一个ABAQUS显式动力学分析的应用-二维切削仿真,案例模型如下图所示。

图1 案例了解
回顾一下ABAQUS的有限元分析流程:

图2 ABAQUS有限元分析流程
![]()
一、前处理
![]()
1.1 几何模型的构建
Part模块通过create part创建2D-deformable-shell工件模型,矩形尺寸大小为10*5;通过create part创建2D-discrete rigid-wire刀具模型,依据工件尺寸大致创建,并在任意角点处创建参考点。
1.2 材料参数的定义
1244

被折叠的 条评论
为什么被折叠?
