-----------------------------------------------概念----------------------------------------------------------------------------
1 周期函数的三角形式和复指数形式,以及两种系数之间的转换:



以三次谐波来近似周期函数时,存在三角系数和复指数系数:
{a0,a1b1,a2b2,a3b3} vs {c-3,c-2,c-1,c0,c1,c2,c3 }
从奥本海姆那本信号书上可以看出另外一种转换方式:
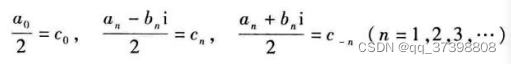
an=2Real(cn) =cn+cfn,bn=-2Image(cn)=i(cn-cfn)

2 当周期函数还是奇函数时,是正弦级数,cn,cfn是共轭的纯虚数

{b1,b2,b3} vs {c-3,c-2,c-1,c1,c2,c3 }
3 当周期函数还是偶函数时,是余弦级数,cn,cfn是相等的实数

{a0,a1,a2,a3} vs {c-3,c-2,c-1,c0,c1,c2,c3 }
4周期函数是非奇非偶函数时,cn,cfn是共轭的复数
-----------------------------------------------举例子-------------------------------------------------------------------------
CAS 计算器 - GeoGebra ,选择CAS计算器
1 当周期函数还是奇函数时,是正弦级数,an=0 vs cn,cfn是共轭的纯虚数
同济高数下册312页例一
三角级数:an=0,一组正弦波
l=π
f(x)=如果(0≤x≤l,1,如果(-l≤x<0,-1))
N=5
a0=((1)/(l)) 积分(f(x),-l,l)
an(x)=序列(((1)/(l)) 积分(f(x) cos(((n π x)/(l))),-l,l),n,1,N)
bn(x)=序列(((1)/(l)) 积分(f(x) sin(((n π x)/(l))),-l,l),n,1,N)
XieBo(x)=序列(元素(an,n) cos(((n π x)/(l)))+元素(bn,n) sin(((n π x)/(l))),n,1,N)
F=((a0)/(2))+总和(XieBo)

复级数:an=2Real(cn) =cn+cfn,bn=-2Inamge(cn)=i(cn-cfn)
先计算复系数cn,cfn(共轭的纯虚数),然后转换成三角系数(与上面直接算的三角系数一致),最后画出三角级数和的图像
l=π
f(x)=如果(0≤x≤l,1,如果(-l≤x<0,-1))
N=5
c0=((积分(f(x),-l,l))/(2 l))
cn(x)=序列(((积分(f(x) ℯ^(-((n π x ί)/(l))),-l,l))/(2 l)),n,1,N)
cfn(x)=序列(((积分(f(x) ℯ^(-((n π x ί)/(l))),-l,l))/(2 l)),n,-1,-N)
a0=2 c0
an(x)=序列(元素(cn,n)+元素(cfn,n),n,1,N)
bn(x)=序列((元素(cn,n)-元素(cfn,n)) ί,n,1,N)
F=((a0)/(2))+总和(序列(元素(an,n) cos(((n π x)/(l))),n,1,N))+总和(序列(元素(bn,n) sin(((n π x)/(l))),n,1,N))

2 当周期函数还是偶函数时,是余弦级数,cn,cfn是相等的实数
信号与系统 奥本海姆121页 ,例3.5
//直接计算三角系数
l=2
f(x)=如果(abs(x)≤1,1,如果(1<abs(x)<2,0))
N=5
a0=((1)/(l)) 积分(f(x),-l,l)
an(x)=序列(((1)/(l)) 积分(f(x) cos(((n π x)/(l))),-l,l),n,1,N)
bn(x)=序列(((1)/(l)) 积分(f(x) sin(((n π x)/(l))),-l,l),n,1,N)
XieBo(x)=序列(元素(an,n) cos(((n π x)/(l)))+元素(bn,n) sin(((n π x)/(l))),n,1,N)
F=((a0)/(2))+总和(XieBo)

//先计算复系数,后转换成三角系数
l=2
f(x)=如果(abs(x)≤1,1,如果(1<abs(x)<2,0))
N=5
c0=((积分(f(x),-l,l))/(2 l))
cn(x)=序列(((积分(f(x) ℯ^(-((n π x ί)/(l))),-l,l))/(2 l)),n,1,N)
cfn(x)=序列(((积分(f(x) ℯ^(-((n π x ί)/(l))),-l,l))/(2 l)),n,-1,-N)
a0=2 c0
an(x)=序列(元素(cn,n)+元素(cfn,n),n,1,N)
bn(x)=序列((元素(cn,n)-元素(cfn,n)) ί,n,1,N)
F=((a0)/(2))+总和(序列(元素(an,n) cos(((n π x)/(l))),n,1,N))+总和(序列(元素(bn,n) sin(((n π x)/(l))),n,1,N))

3 周期函数是非奇非偶函数时,an,bn≠0,cn,cfn是共轭的复数


本文探讨了周期函数的三角级数与复指数级数表示,并通过实例介绍了如何利用GeoGebra计算器进行计算及转换。针对不同类型的周期函数(奇函数、偶函数、非奇非偶函数),详细解释了它们对应的级数形式及其系数特点。

被折叠的 条评论
为什么被折叠?



