DSN-DDI: an accurate and generalized framework for drug–drug interaction prediction by dual-view representation learning
基本信息
这是一篇于2023.1.2发表在briefings in bioinformatics上的期刊论文,第一作者是湖南大学的研究生Zimeng Li,现在微软实习。
博客创建者
武松
博客贡献人
武松:主要内容编写
作者
Zimeng Li, Shichao Zhu, Bin Shao, Xiangxiang Zeng, Tong Wang and Tie-Yan Liu
标签
drug–drug interaction, drug side effect, dual-view learning, molecular graph
摘要
药物-药物相互作用(DDI)预测确定了药物组合的相互作用的可能性。以往的研究通常从整个药物分子的单一或双重视角对药物信息进行建模,但忽略了原子间的详细相互作用,导致信息不完整和噪声,限制了DDI预测的准确性。在这项工作中,我们提出了一种新的双视图药物表示学习网络(DSN-DDI),该网络迭代使用局部和全局表示学习模块,同时从单个药物(“内视图”)和药物对(“间视图”)中学习药物的子结构。综合评价表明,DSN-DDI在先验设置下的准确率相对提高了13.01%,准确率超过99%,从而显著提高了现有药物的DDI预测性能。更重要的是,DSN-DDI对未知药物的准确性达到了相对提高的7.07%,并显示了对现实世界的DDI应用的有用性。最后,DSN-DDI在协同药物联合预测方面具有良好的可转移性,因此可以作为药物发现领域的一个广义框架。
问题定义
作者将DDI预测问题形式化为一个二值分类问题,以及提出了一个新的drug-drug graph的定义。
DDI预测
给定一个三元组,由两个药物D和交互类型R组成,DDI预测可以定义为一个函数f: D×R×D→[0,1],其中1表明该三元组(Di,R,Dj)中两种药物Di和Dj存在交互类型R,0意味着不存在。DDI预测的目标是学习函数f,并预测两种药物之间发生给定相互作用类型的三元组存在的概率。值得注意的是,本研究中的DDI预测任务被认为是一个二元分类任务,而不是直接预测交互类型。对于不同的交互类型,学习到的模型可以分别在取相应的三元组时进行预测。
Drug–drug graph
单个药物的化学结构可以自然地表示为 G = ( V , E ) G =(V,E) G=(V,E)的无向图,其中V是具有相应原子输入特征的节点集,E是它们之间的边。
对于内视图,作者用邻接矩阵 a ∈ R N × N , A i , j ∈ { 0 , 1 } a∈R^{N×N},A_{i, j}∈\{0,1\} a∈RN×N,Ai,j∈{0,1}来表示边,其中 N : = ∣ V ∣ N := |V| N:=∣V∣表示原子数, I i j = 0 I_{ij}=0 Iij=0表示原子i和原子j之间没有边。
对于间视图,作者设计了一个药物对的二部图。给定一个包含两种药物和相互作用类型的三元组,互联在两个药物 D i , D j Di,Dj Di,Dj被定义为一个二部图 ∼ G : = D i × D j ∼G := D_i×D_j ∼G:=Di×Dj,邻接矩阵 ∼ A ∈ R N i × N j ∼A∈R^{N_i×N_j} ∼A∈RNi×Nj, ∼ A i j ∈ { 0 , 1 } ∼A_{ij}∈\{0,1\} ∼Aij∈{0,1}和 N i , N j Ni,Nj Ni,Nj分别表示两种药物的节点的数量。 ∼ A i , j = 1 ∼A_{i,j} = 1 ∼Ai,j=1表示drugA中的i原子与drugB中的j原子之间有一条边。在二部图中,对于drugA中的每个原子i,我们将其与drugB中的每个原子j连接起来。最后,我们将DDI预测的双视图子结构学习建立在具有内连A和互连˜A的drug-drug graph上,学习DDI预测函数f作为一个二元分类问题。
方法
方法架构图

方法描述
本文的关键点在于作者所提出的dual-view representation learning,即在学习一个药物对的子结构表示时,不仅学习药物分子内部的信息intra-view,也学习药物对之间的信息表示inter-view。除此之外,下面还将介绍具体的模块组成。
药物表示学习
这篇文章同样以药物分子的每个原子为中心节点,往外拓展到邻居节点,并增加距离来迭代学习不同尺度的子结构表达,如下图所示:

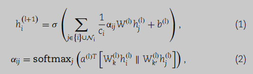
然后将每个原子的表示进行聚合,从而得到整个药物分子的全局表示。在原子级别的表示学习过程中,这篇文章使用到注意力的机制来对邻居节点的相关性进行权重分配,然后进行聚合得到该原子的intra-view表示。

对于inter-view表示的计算方法与之类似,就是中心原子与其他节点的注意力分配以及聚合计算两个过程,但注意inter-view表示是基于drugA中的一个作为中心的原子与drugB中的所有原子之间进行的。
然后对于一个中心原子学习到的intra-view和inter-view表示,需要进行融合,实际就是通过训练一个MLP,将两个节点表示进行连接,然后通过该MLP即可。公式如下所示:

接下来经过SAGPooling层,将属于一个药物分子的各个原子得到的多个子结构进行注意力分配与聚合,从而得到该分子的全局表示。但注意此时得到的表示仍是属于某一个迭代次数的,即不同size的药物表示仍未进行聚合。
DSN decoder
在作者称为DSN decoder模块中完成不同size的药物分子表示的聚合。聚合的公式如下所示:

实际上该部分的工作同前人一样,就是使用协注意力来计算药物对之间的相关性,如上图公式(8)所示。本文做法是先计算同一 s i z e = l size=l size=l的一对药物的分子之间的相关性,然后用这个相关性对不同size的药物对表示进行加权聚合,最终得到该药物对对于产生这种副作用的可能性。
实验
实验设置
数据集
drugbank,twosides
基准模型
MR-GNN:利用图卷积网络嵌入节点级特征,然后捕获每种药物的不同子结构的表示。这些表示都被输入到一个递归神经网络中,用于DDI预测;
MHCADDI:在单个药物的表征学习过程中,利用共同注意机制,基于药物对的结构信息来整合内外信息;
SSI-DDI:将每个节点的隐藏表示作为子结构,然后计算这些子结构之间的交互来预测DDI;
GAT-DDI:利用图注意网络(GAT)进行药物表示学习和DDI预测;
GMPNN-CS:学习不同的化学子结构,然后模拟这些子结构之间的相互作用,以进行最终的DDI预测;
SA-DDI:利用子结构感知的GNN,设计了一种新的子结构注意机制来学习DDI预测药物。
参数设置
DSN-DDI包含四个DSN编码器块。每个区块都有一个表示层,两种药物的权重,各自药物的视图内层和药物对的访谈层。各层均采用GAT机制,配备两个注意头进行消息传递。每个DSN编码器输出128维的隐藏表示,包括64维视图间嵌入和64维视图内嵌入。药物图中的每个节点都有一个原始的55维化学特征供输入(补充表S1)。作者使用网格搜索的方法在验证集上进行超参数选择。补充表S2总结了网格搜索空间。模型使用Xavier初始化初始化,并在1024ddi的小批量上进行训练。作者使用Adam SGD优化器[28],在药物库上训练200个时代和在双侧上训练120个时代的模型。感应设置的学习率分别为0.01,感应设置为0.001。
实验结果及分析
基准实验
作者在两个数据集上分别进行了实验,使用目前在DDI领域最先进的六个模型MR-GNN、MHCADDI、SSI-DDI、GAT-DDI、GMPNN-CS、SA-DDI作为基准模型进行了对比,实验结果表明了DSN-DDI的优越性,达到了新的最先进性能。
transductive setting

inductive setting

消融实验
作者进行消融实验以验证DSN-DDI各模块对模型效果的贡献程度。分别设置了7个模块,分别去除这些模块照常进行实验,对评估指标进行比较。

实验结果显示在去除inter-view后的两个指标wo_inter和wo_inter_update上,模型性能出现显著下降,其余的下降却并不明显。由此可以推断,inter-view即药物分子间信息对于药物表征学习具有重要贡献,从dual-view来进行学习是有益的。
现实世界数据实验
用以评估模型的泛化性能,作者选取了新的FDA获批药物作为测试集,使用旧的现实药物分子作为训练集,训练的模型来进行实验,并与过去的三个最先进性能模型SSI-DDI, GMPNN-CS, SA-DDI进行对比,验证了DSN-DDI的在现实中进行预测的优越性。

可解释性实验
为了进一步研究学习到的子结构,作者提取并说明了5种DDI情况下具有重要原子的有效子结构,DSN-DDI对所有五种情况都做出了几乎完美的预测。并验证了在去除这些得分最高的原子后,性能急剧下降,而随机去除原子对预测性能并不产生太大影响。


相关知识链接
下载
基础知识
- deep learning
- DDI basic concepts
基准实验涉及的论文
[27] Wishart D S, Feunang Y D, Guo A C, et al. DrugBank 5.0: a major update to the DrugBank database for 2018[J]. Nucleic acids research, 2018, 46(D1): D1074-D1082.
[1] Tatonetti N P, Ye P P, Daneshjou R, et al. Data-driven prediction of drug effects and interactions[J]. Science translational medicine, 2012, 4(125): 125ra31-125ra31.
[23] Zitnik M, Agrawal M, Leskovec J. Modeling polypharmacy side effects with graph convolutional networks[J]. Bioinformatics, 2018, 34(13): i457-i466.
[13] Xu N, Wang P, Chen L, et al. Mr-gnn: Multi-resolution and dual graph neural network for predicting structured entity interactions[J]. arXiv preprint arXiv:1905.09558, 2019.
[21] Deac A, Huang Y H, Veličković P, et al. Drug-drug adverse effect prediction with graph co-attention[J]. arXiv preprint arXiv:1905.00534, 2019.
[28]Kingma D P, Ba J. Adam: A method for stochastic optimization[J]. arXiv preprint arXiv:1412.6980, 2014.
[18] Nyamabo A K, Yu H, Shi J Y. SSI–DDI: substructure–substructure interactions for drug–drug interaction prediction[J]. Briefings in Bioinformatics, 2021, 22(6): bbab133.
[25] Veličković P, Cucurull G, Casanova A, et al. Graph attention networks[J]. arXiv preprint arXiv:1710.10903, 2017.
[19] Nyamabo A K, Yu H, Liu Z, et al. Drug–drug interaction prediction with learnable size-adaptive molecular substructures[J]. Briefings in Bioinformatics, 2022, 23(1): bbab441.
[20] Yang Z, Zhong W, Lv Q, et al. Learning size-adaptive molecular substructures for explainable drug–drug interaction prediction by substructure-aware graph neural network[J]. Chemical Science, 2022, 13(29): 8693-8703.
方法组件涉及的论文
[25] Veličković P, Cucurull G, Casanova A, et al. Graph attention networks[J]. arXiv preprint arXiv:1710.10903, 2017.
[21] Deac A, Huang Y H, Veličković P, et al. Drug-drug adverse effect prediction with graph co-attention[J]. arXiv preprint arXiv:1905.00534, 2019.
[18] Nyamabo A K, Yu H, Shi J Y. SSI–DDI: substructure–substructure interactions for drug–drug interaction prediction[J]. Briefings in Bioinformatics, 2021, 22(6): bbab133.
[19] Nyamabo A K, Yu H, Liu Z, et al. Drug–drug interaction prediction with learnable size-adaptive molecular substructures[J]. Briefings in Bioinformatics, 2022, 23(1): bbab441.
[26] Lu J, Yang J, Batra D, et al. Hierarchical question-image co-attention for visual question answering[J]. Advances in neural information processing systems, 2016, 29.
相关工作涉及的论文
[4] Yu H, Mao K-T, Shi J-Y, et al. Predicting and understanding com prehensive drug-drug interactions via semi-nonnegative matrix factorization. BMC Syst Biol 2018;12:101–10.
[5] Shi J-Y, Mao K-T, Yu H, et al. Detecting drug communities and predicting comprehensive drug–drug interactions via bal ance regularized semi-nonnegative matrix factorization. J Chem 2019;11:1–16.
[6] Li X, Xu Y, Cui H, et al. Prediction of synergistic anti-cancer drug combinations based on drug target network and drug induced gene expression profiles. Artif Intell Med 2017;83:35–43.Downloaded from https://academic.oup.com/bib/advance-article/doi/10.1093/bib/bbac597/6966537 by Chongqing University user on 14 January 2023 12 | Li et al.
[7] Ferdousi R, Safdari R, Omidi Y. Computational prediction of drug-drug interactions based on drugs functional similarities. J Biomed Inform 2017;70:54–64.
[8] Kastrin A, Ferk P, Leskoˇsek B. Predicting potential drugdrug interactions on topological and semantic similarity features using statistical learning. PLoS One 2018;13: e0196865.
后续研究涉及的论文
[42] Ioannides C, Parke D V. Mechanism of induction of hepatic microsomal drug metabolizing enzymes by a series of barbiturates[J]. Journal of Pharmacy and Pharmacology, 1975, 27(10): 739-746.
总结
本文方法依然基于药物子结构假设(即性质相近的药物具有相似的子结构),并使用GNNs方法来提取这种子结构信息,属于这种类型的方法还有SSI-DDI、SA-DDI等。作者提出了一个新的用于DDI预测任务的药物表示学习网络DSN,创新地提出并采用了双视图学习方法,同时在transductive和inductive setting达到了最先进性能。
亮点
- 双视图学习,在子结构提取过程中同时考虑到了药物分子内部信息和药物分子之间的交互信息
- 在子结构学习过程中就使用了注意力机制来计算各个邻居节点的相似性
- 消融实验验证了考虑药物分子间(inter-view)信息的必要性
- 作者在可解释性上进行了完善的实验
不足
-
在多size的子结构提取上仍采用以往工作中的跳数距离来进行
-
除了双视图这一项贡献,其他方法都是以往工作中既有的,包括原子级表示学习的方式以及最后的DSN decoder模块
启发
- 有必要考虑对药物分子间的信息,不止停留在药物分子内部
- 可以在药物分子表示的视角上进行拓展,比如本文的分子间信息表示
BibTex
@article{li2023dsn,
title={DSN-DDI: an accurate and generalized framework for drug--drug interaction prediction by dual-view representation learning},
author={Li, Zimeng and Zhu, Shichao and Shao, Bin and Zeng, Xiangxiang and Wang, Tong and Liu, Tie-Yan},
journal={Briefings in Bioinformatics},
year={2023}
}
DSN-DDI是一种新的药物表示学习框架,通过结合局部和全局的双视图学习,提高了药物-药物相互作用预测的准确性。此框架在药物分子内部和分子间同时学习子结构表示,提高了对未知药物相互作用的预测性能,显示了在药物发现中的广泛应用潜力。
714

被折叠的 条评论
为什么被折叠?



