数据结构:图
前言
在自动化程序分析中,图和树的一些算法起到了至关重要的作用,所以在开始自动化程序分析的研究前,我用了两天复习了一遍数据结构中的图。本章主要内容有图的基本概念,图的存储和图相关的经典算法,并在附录中附带上完整代码的仓库链接。
注:文章中并不会提到关于图的所有概念和定理,只有和程序分析中相关性比较大的那部分。文章中若有错误请指出,代码也存在可优化的空间,欢迎把你的优化代码提到issue中。
概念
顶点、边和度
数据结构中说的图是平面图,也就是由顶点和顶点间的连线组成的。图的符号表达式为 G = ( V , E ) \textcolor{orange}{G=(V,E)} G=(V,E),其中G就是图,V是顶点集是有限非空集合,E是边集是二元子集。
和顶点相关的概念有度(记作D),而在有向图中度再度被分化为出度(记作I_D)和入度(记作O_D)。
注:对于度的助记符号是我自定义的,没有官方的定义。
无向图

图2.2.1无向图
该图中
D ( A ) = 2 \textcolor{orange}{D(A) = 2} D(A)=2, D ( B ) = 3 \textcolor{orange}{D(B) = 3} D(B)=3, D ( D ) = 3 \textcolor{orange}{D(D) = 3} D(D)=3, D ( C ) = 2 \textcolor{orange}{D(C) = 2} D(C)=2。
V = { A , B , C , D } \textcolor{orange}{V = \{A,B,C,D\}} V={A,B,C,D}
E = { < A , B > , < B , A > , < A , D > , < D , A > , < D , B > , < B , D > , < B , C > , < C , B > , < C , D > , < D , C > } \textcolor{orange}{E = \{<A,B>,<B,A>,<A,D>,<D,A>,<D,B>,<B,D>,<B,C>,<C,B>,<C,D>,<D,C>\}} E={<A,B>,<B,A>,<A,D>,<D,A>,<D,B>,<B,D>,<B,C>,<C,B>,<C,D>,<D,C>}
有向图

图2.3.1有向图
该图中
I _ D ( A ) = 1 \textcolor{orange}{I\_D(A) = 1} I_D(A)=1, O _ D ( A ) = 1 \textcolor{orange}{O\_D(A) = 1} O_D(A)=1, I _ D ( B ) = 2 \textcolor{orange}{I\_D(B) = 2} I_D(B)=2, O _ D ( B ) = 1 \textcolor{orange}{O\_D(B) = 1} O_D(B)=1, I _ D ( C ) = 0 \textcolor{orange}{I\_D(C) = 0} I_D(C)=0, O _ D ( C ) = 2 \textcolor{orange}{O\_D(C) = 2} O_D(C)=2, I _ D ( D ) = 2 \textcolor{orange}{I\_D(D) = 2} I_D(D)=2, O _ D ( D ) = 1 \textcolor{orange}{O\_D(D) = 1} O_D(D)=1。
V = { A , B , C , D } \textcolor{orange}{V = \{A,B,C,D\}} V={A,B,C,D}
E = { < A , B > , < D , A > , < B , D > , < C , B > , < C , D > } \textcolor{orange}{E = \{<A,B>,<D,A>,<B,D>,<C,B>,<C,D>\}} E={<A,B>,<D,A>,<B,D>,<C,B>,<C,D>}
权
权值是根据实际情况定义的。例如在程序分析中,我们可以把每个顶点看作是设置的探针,此时的权值可以表示为两个探针之间执行的时间,或者执行的指令数。通常在程序分析中用的是有向图,因为我们程序的指令执行都是有方向的,那么基于有向图,我们可以实现 数据流分析 \textcolor{BrickRed}{数据流分析} 数据流分析。而无向图可应用于城市的规划上,例如每个顶点就是一座城市,权值可代表城市间的距离。然后可以基于图做一些规划,例如寻找最短路径。

图2.4.1带权有向图

图2.4.2带权无向图
完全图

图2.5.1完全图
完全图是无向图中衍生的一个概念。完全图的定义是图中任意节点与其他所有节点都相连。因此,通过观察图2.1.5,能够得到判定一个无向图是否为完全图的方法:
对于
G
=
(
V
,
E
)
而言,
∀
v
∈
V
,
D
(
v
)
=
N
−
1
,(
N
表示图中所有顶点个数)。
对于G = (V,E)而言, \forall v \in V,D(v) = N-1,(N表示图中所有顶点个数)。
对于G=(V,E)而言,∀v∈V,D(v)=N−1,(N表示图中所有顶点个数)。
即,任意一个图中的顶点的度等于图中所有顶点数减1。
环
环的定义是从起始点出发沿着邻接点走最终又回到了起始点,所经过的顶点就形成了一个环。

图2.6.1无向图
在图2.6.1中,有3个环:
- A − > B − > C − > A \textcolor{orange}{A->B->C->A} A−>B−>C−>A
- A − > B − > C − > D − > A \textcolor{orange}{A->B->C->D->A} A−>B−>C−>D−>A
- A − > C − > D − > A \textcolor{orange}{A->C->D->A} A−>C−>D−>A

图2.6.2有向图
在图2.6.2中,有两个环:
- A − > B − > C − > A \textcolor{orange}{A->B->C->A} A−>B−>C−>A
- A − > B − > C − > D − > A \textcolor{orange}{A->B->C->D->A} A−>B−>C−>D−>A
小节
从上面列出的图来看,可以归纳出以下图的基本定理:
- 有向图中所有顶点的出度和等于所有顶点的入度和。
- 图中所有顶点的度之和等于边的2倍。
- 完全图中,任意一个顶点的度等于所有顶点数-1。
存储方式
邻接矩阵
在程序中,我们用一种叫做邻接矩阵的数据结构存储图,它是一个二维数组,数组的下标就是图中的各顶点,数组中的元素是个布尔值,表示两个顶点是否相邻。

程序中数组的下标是从0开始的,所以我们事先定义图中A是0,按字母顺序递增下标,则该图对应的邻接矩阵为:
| 0(A) | 1(B) | 2© | 3(D) | |
|---|---|---|---|---|
| 0(A) | 0 | 1 | 0 | 0 |
| 1(B) | 0 | 0 | 0 | 1 |
| 2© | 0 | 1 | 0 | 1 |
| 3(D) | 1 | 0 | 0 | 0 |
注意:我这里规定了邻接矩阵的每一行r与每一列c的交点处,元素值为1代表图中顶点r与顶点c相邻,元素值为0表示不相邻。也就是说我是横着看的,当然,你也可以按照自己的习惯竖着看。但请一定要记住你的习惯,这在后面编码时要保持习惯的一致性,否则容易出问题。
算法
图遍历算法
图遍历算法的实际意义:用于获取从指定顶点出发能够到达哪些顶点,可判断图连通性和获取图的联通分量个数。
连通性的判断在实际应用中就太普遍了,例如网络拓扑中各个终端的联通检测,电力系统中的连通性检测,交通运输网中连通性检测等等。
图遍历算法有两种:
- 广度优先搜索(BFS):指定一个顶点v_1,将与v1相邻的顶点v_2,v_3,…,v_n一次性找出来,然后再分别以同样的方式找与v_2,v_3,…,v_n相邻的顶点,直到找不到相邻点或者遍历完图中所有顶点。
- 深度优先搜索(DFS):指定一个顶点v_1,找出一个与v_1相邻的顶点v_2,然后找与v_2相邻的顶点v_3,按这样的方式一直到找不到相邻顶点或者遍历完图中所有顶点。
BFS详细流程
- 引入一个队列Q,用来记录与v_1相邻的顶点。引入一个结果路径resPath,保存v_1遍历的结果。转步骤2。
- 引入一个布尔型数组visited,表示已探索过的顶点,防止重复探索。转步骤3。
- 将v_1加入Q,并标记对应visited中的元素为true。转步骤4。
- 从Q首部取出一个顶点v,循环遍历图中所有顶点v_i。在visited[v_i] == false,且 v_i与v相邻时,将v_i加入Q,并标记对应visited中的元素为true,转步骤5。
- 重复步骤4,直到Q为空,即可得到指定v_1可到达的所有点。
std::shared_ptr<std::vector<uint32_t>> graph::bfs(uint32_t v)
{
std::vector<uint32_t> resVector;
std::queue<uint32_t> Q;
bool* visited = nullptr;
if (v == 0 || v > _NumOfVertex + 1) goto end_ret;
visited = new(std::nothrow) bool[_NumOfVertex];
if (visited == nullptr) goto end_ret;
// 清除一下标记
memset(visited, false, sizeof(bool) * _NumOfVertex);
// 标记初始顶点为已访问
visited[v-1] = true;
// 初始顶点入队
Q.push(v-1);
// 遍历队列
while (!Q.empty())
{
uint32_t p = Q.front();
resVector.push_back(p+1);
Q.pop();
for (uint32_t i = 0; i < _NumOfVertex; i++)
{
// 依次找与p点相邻的点
if (!visited[i] && _AdjMatrix[p * _NumOfVertex + i])
{
visited[i] = true;
Q.push(i);
}
}
}
end_ret:
if (visited) delete[] visited;
return std::make_shared<std::vector<uint32_t>>(resVector);
}
DFS详细流程
本小节讲解的是非递归的DFS实现。
- 引入一个栈S,用来记录与v_1相邻的顶点。引入一个结果路径resPath,保存v_1遍历的结果。转步骤2。
- 引入一个布尔型数组visited,表示已探索过的顶点,防止重复探索。转步骤3。
- 引入一个布尔型变量recurse_over,表示正在递归。转步骤4。
- 将v_1压栈,并标记对应visited中的元素为true。转步骤5。
- 取栈顶元素v,标记recurse_over为false。循环遍历图中所有顶点,在visited[v_i] == false,且 v_i与v相邻时,将v_i压栈,并标记对应visited中的元素为true,标记recurse_over为true,跳出循环,转步骤6。
- 在recurse_over为true的时候我们直接继续步骤5,此时就模拟了递归了。在recurse_over为false时表示递归结束,也就意味着以顶点v寻找邻接点过程结束,v就是最终的点,因此将v加入resPath,S弹出栈顶元素,继续步骤5,直到S为空。
std::shared_ptr<std::vector<uint32_t>> graph::dfs(uint32_t v)
{
std::vector<uint32_t> resVector;
std::stack<uint32_t> S;
bool recurse_over;
bool* visited = nullptr;
if (v == 0 || v > _NumOfVertex + 1) goto end_ret;
visited = new(std::nothrow) bool[_NumOfVertex];
if (visited == nullptr || _AdjMatrix == nullptr) return nullptr;
// 清除一下标记
memset(visited, false, sizeof(bool) * _NumOfVertex);
visited[v - 1] = true;
S.push(v-1);
while (!S.empty())
{
uint32_t p = S.top();
recurse_over = true;
for (uint32_t i = 0; i < _NumOfVertex; i++)
{
if (!visited[i] && _AdjMatrix[p * _NumOfVertex + i])
{
visited[i] = true;
S.push(i);
recurse_over = false;
// 只要找到一个邻接点就入栈,然后立马跳出循环,并对该点进行重复上面的操作
// 实现模拟递归
break;
}
}
if (recurse_over)
{
resVector.push_back(p+1);
S.pop();
}
}
end_ret:
if (visited) delete[] visited;
return std::make_shared<std::vector<uint32_t>>(resVector);
}
拓扑排序
拓扑排序是针对于无环图来讲的,同时它也可以用来检测图中是否存在环。
拓扑排序常用来表示存在依赖关系的事务。
场景
课程选修要求如图

图中的含义是有:
-
选修《软件开发》就需要先选修《C++语言》、《数据结构》、《数据结构》和《数据库设计》中的任意一门。
-
选修《C++语言》的前提是先选修《C语言》
-
选修《数据结构》的前提是先选修《C语言》
-
选修《数据库设计》的前提是先选修《数据结构》
如果对《软件开发》这门课程进行拓扑排序,则得到的结果为:

同时意味着这也是学习《软件开发》这门课程比较合理的学习路线。
详细流程
本节介绍的拓扑排序算法会扩展到无向图中,用来判断图是否存在环。
先来说指定一个顶点v,给出以这个顶点为终点的拓扑排序算法:
- 引入一个队列Q,存放所有所有入度为0的顶点,而对无向图来说则存放度为1的顶点。
- 引入一个变量resVector,用来存放拓扑排序的结果。
- 如果是有向图则将所有入度为0的顶点放入Q,如果是无向图则将所有度为1的顶点放入Q。
- 取Q首部元素p,把p加入resVector。如果p就是v则拓扑排序结束,否则将与p邻接的点v_i的入度减一。如果v_i的入度为0(有向图)或者度为1(无向图),则将v_i加入Q。
- 循环步骤4,直到Q为空。此时resVector就是指定顶点v的拓扑排序结果。
std::shared_ptr<std::vector<uint32_t>> graph::topologySort(uint32_t v)
{
std::vector<uint32_t> resVector;
std::queue<uint32_t> Q;
std::vector<uint32_t> V(_IsDirected ? _InDegree : _Degree);
if (v == 0 && v > _NumOfVertex) goto end_ret;
for (int32_t i = 0; i < _NumOfVertex; i++)
{
if ((_IsDirected && V[i] == 0) || (!_IsDirected && V[i] == 1)) Q.push(i);
}
while (!Q.empty())
{
int32_t p = Q.front();
Q.pop();
resVector.push_back(p + 1);
if (p + 1 == v) break;
for (int32_t i = 0; i < _NumOfVertex; i++)
{
if (_AdjMatrix[p * _NumOfVertex + i])
{
V[i] -= 1;
if ((_IsDirected && V[i] == 0) || (!_IsDirected && V[i] == 1)) Q.push(i);
}
}
}
end_ret:
return std::make_shared<std::vector<uint32_t>>(resVector);
}
再说说使用拓扑排序判断图中是否存在环的算法,与指定点的拓扑排序算法大同小异:
- 引入一个队列Q,存放所有所有入度为0的顶点,而对无向图来说则存放度为1的顶点。
- 引入整数型变量num,记录入度为0或者度为1的顶点数。
- 如果是有向图则将所有入度为0的顶点放入Q,如果是无向图则将所有度为1的顶点放入Q,更新num。
- 取Q首部元素p。如果p就是v则拓扑排序结束,否则将与p邻接的点v_i的入度减一。如果v_i的入度为0(有向图)或者度为1(无向图),则将v_i加入Q,更新num。
- 循环步骤4,直到Q为空。此时num如果不等于图中所有顶点的数量,则说明图中存在环,否则就是无环。
bool graph::hasCycle()
{
std::queue< uint32_t> Q;
int32_t num = 0;
std::vector<uint32_t> V(_IsDirected ? _InDegree : _Degree);
for (int32_t v = 0; v < _NumOfVertex; v++)
{
if ((_IsDirected && V[v] == 0) || (_IsDirected && V[v] == 1))
{
Q.push(v);
num += 1;
}
}
while (!Q.empty())
{
int32_t v = Q.front();
Q.pop();
for (int32_t i = 0; i < _NumOfVertex; i++)
{
if (_AdjMatrix[v * _NumOfVertex + i])
{
V[i] -= 1;
if ((_IsDirected && V[i] == 0) || (_IsDirected && V[i] == 1))
{
Q.push(i);
num += 1;
}
}
}
}
return num != _NumOfVertex;;
}
获取所有路径
场景
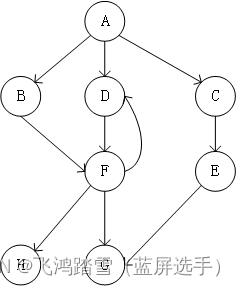
本小节主要讲的应用场景是给定一个起始点和终点,获取从起始点到达终点的所有路径。这种应用场景在程序分析可以是解析函数间的调用关系,请看下图:

假设图中各顶点代表函数A,B,…,H,图中反映的是他们之间的调用关系。我想知道从函数A到函数G都有哪些调用路径。从图中我们可以很清楚的知道有这些路径:
-
A − > B − > F − > G \textcolor{orange}{A->B->F->G} A−>B−>F−>G
-
A − > D − > F − > G \textcolor{orange}{A->D->F->G} A−>D−>F−>G
-
A − > C − > E − > G \textcolor{orange}{A->C->E->G} A−>C−>E−>G
注意:一条路径上重复的点不走第二次。
那么如何让计算机去实现这种功能呢?
详细流程
整个算法基于DFS的思想,假设输入起始点为v1,终点为v2。
- 引入栈S,用来表示当前探索的顶点。
- 引入序列path,用来保存一条探索到的路径。
- 引入序列resVec,保存所有路径。
- 引入序列pos,记录已探索顶点的邻接点在邻接矩阵中的位置。
- 引入逻辑变量recursed,表示处于模拟递归中。
- 引入序列visited,记录已访问的顶点。
- 将起始点v1压栈,设置对应的visited元素为true,将v1加入path。
- 取S顶部元素v,设置recursed = false,从pos[v]开始遍历所有与v邻接的点vi。
- 如果visited[vi] == false,且vi == v2 - 1,则说明找到了一条路径,将path加入resVec,否则转入步骤10。
- 设置visited[vi] = true,将vi压入S,并加入path,pos[vi] = 0,pos[v] = i+1(i为循环计次),recursed = true。转到步骤11.
- 如果recursed == false,从path中删除最近一次添加的元素,pos[v] -=1,visited[v] = false,S弹栈。这一步实现了回溯。转入步骤8
- 循环步骤8到步骤11,直到栈为空,resVec保存了所有路径。
std::shared_ptr<std::vector<std::vector<uint32_t>>> graph::getAllPath(uint32_t v1, uint32_t v2)
{
std::stack<uint32_t> S;
std::vector<uint32_t> path;
std::vector<std::vector<uint32_t>> resVec;
std::vector<int32_t> pos;
bool recursed = false;
bool* visited = nullptr;
if (v1 == 0 || v1 > _NumOfVertex || (v2 == 0 || v2 > _NumOfVertex)) goto end_exit;
visited = new(std::nothrow) bool[_NumOfVertex];
if (visited == nullptr) goto end_exit;
// 初始化
for (uint32_t i = 0; i < _NumOfVertex; i++)
{
visited[i] = false;
pos.push_back(0);
}
S.push(v1 - 1);
path.push_back(v1);
visited[v1 - 1] = true;
while (!S.empty())
{
auto v = S.top();
recursed = false;
for (uint32_t i = pos[v]; i < _NumOfVertex; i++)
{
if (!visited[i] && _AdjMatrix[v * _NumOfVertex + i])
{
if (i == v2 - 1)
{
std::vector<uint32_t>tmpVec(path);
tmpVec.push_back(i + 1);
resVec.push_back(tmpVec);
}
else
{
visited[i] = true;
S.push(i);
path.push_back(i + 1);
pos[i] = 0;
pos[v] = i + 1;
recursed = true;
break;
}
}
}
if (!recursed)
{// 回溯大法
path.pop_back();
v = S.top();
if(pos[v]) pos[v] -= 1;
visited[v] = false;
S.pop();
}
}
end_exit:
if (visited) delete[] visited;
return std::make_shared<std::vector<std::vector<uint32_t>>>(resVec);
}
寻最短/长路径
前面在权一小节中提到过寻最短路径的应用场景,同样在程序分析中有很重要意义。说到寻最短路径不得不提到一个著名算法——Dijkstra,应用的场景是寻单源点下的最短路径。也就是说指定一个起始点,该算法会取得该点到图中各点最短的路径距离。而我们稍微增加一些代码就能实现获取起始点的最短/长路径和距离值。
注意:本小节提到的寻最短/长路径是基于带权路径图来说的,无权图不适用这个算法。
整个算法基于BFS思想,假设输入起始点为v1,具体操作如下:
- 引入队列Q,表示正在探索的顶点。
- 引入序列dis,表示起始点v1到各点的最短/长距离。
- 引入布尔型序列visited,表示已探索过的顶点。
- 引入path,保存v1到各顶点的最短路径。
- 将起始点加入Q,并标记对应visited中的元素。
- 取Q首部元素v,Q弹出首部元素。遍历所有与v相邻的vi,在visited[vi] == falss时,动态计算距离w。计算方法:v1到v的距离(dis[v])加上v到vi的距离(dis[vi])。如果w小于之前的值prev_dis,则更新w,此时将vi视作本次所有路径中最短的终点s。如果w小于dis[vi],则dis[vi] = w,更新最长路径。同样更新path,方法是拷贝之前的路径,并新增vi。
- 如果s不等于v,则设置visited[s] = true,并加入Q。
- 循环步骤6~7,直到Q为空。此时,path中保存了v1到图中各点的最短路径。
最长路径的求法,就是在比较路径的时候将“<”换成“>”,不再赘述。
std::shared_ptr<std::unordered_map<uint32_t, std::vector<uint32_t>>> graph::DijkstraAlogrithm(
uint32_t v1,
std::vector<uint32_t>& dis,
bool reverse)
{
std::unordered_map<uint32_t, std::vector<uint32_t>> path;
std::queue<uint32_t> Q;
uint32_t v;
bool* visited = nullptr;
visited = new(std::nothrow) bool[_NumOfVertex];
if (visited == nullptr) goto end_ret;
// 清除一下标记
memset(visited, false, sizeof(bool) * _NumOfVertex);
for (uint32_t i = 0; i < _NumOfVertex; i++)
{
// 初始化指定源点到各个顶点的最短路径
path.insert(std::pair<uint32_t, std::vector<uint32_t>>(i, std::vector<uint32_t>()));
// 初始化距离
if (i == v1 - 1) dis.push_back(0);
else dis.push_back(reverse ? 0 : -1);
}
Q.push(v1 - 1);
visited[v1 - 1] = true;
while (!Q.empty())
{
auto v = Q.front();
Q.pop();
uint32_t s = v;
uint32_t prev_dis = reverse ? 0 : -1;
for (uint32_t i = 0; i < _NumOfVertex; i++)
{
if (!visited[i] && _AdjMatrix[v * _NumOfVertex + i])
{
auto w = _Weight[v * _NumOfVertex + i] + dis[v];
if (reverse)
{
if (prev_dis < w)
{
// 更新本次寻找到的最长路径长度
prev_dis = w;
s = i; // s 始终指向本次寻找到的最长路径的终点
}
if (w > dis[i])
{
// 动态更新最长路径
dis[i] = w;
if (path[v].size()) path[i] = std::vector<uint32_t>(path[v]);
path[i].push_back(v + 1);
}
}
else
{
if (prev_dis > w)
{
// 更新本次寻找到的最短路径长度
prev_dis = w;
s = i; // s 始终指向本次寻找到的最短路径的终点
}
if (w < dis[i])
{
// 动态更新最短路径
dis[i] = w;
if (path[v].size()) path[i] = std::vector<uint32_t>(path[v]);
path[i].push_back(v + 1);
}
}
}
}
if (s != v)
{
// 将本次最短路径终点标记为已访问,意味着从指定源点到s 的最短路径已经找到。
visited[s] = true;
Q.push(s);
}
}
end_ret:
if (visited) delete[] visited;
return std::make_shared<std::unordered_map<uint32_t, std::vector<uint32_t>>>(path);
}
附录
完整代码清移步我的代码仓库:https://github.com/singlefreshBird/Algorithm

3496

被折叠的 条评论
为什么被折叠?



