一、概述
1.定义

2.分类


3.基本要素

二、点球大战
1.问题背景

数值表示该种情况下的进球概率

2.模型建立


3.纳什均衡与模型求解





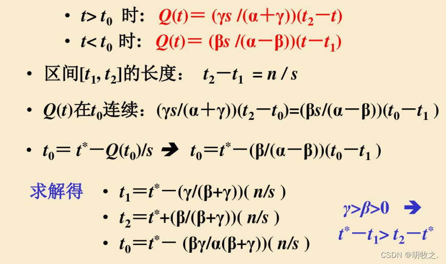
三、拥堵的早高峰
1.问题背景

2.模型假设


3.模型建立与求解




4.模型解释


5.拥堵费
减少等待成本,从而降低总体成本


四、“一口价”的战略
1.问题背景

2.模型假设与建立


始终强调条件为
P
s
≤
P
b
P_s\leq P_b
Ps≤Pb时,才可成交

3.单一价格战略

4.线性价格战略



五、不患寡而患不均
1.问题背景

2.模型假设与建立

3.模型求解



4.模型解释

六、效益的合理分配
1.问题背景

2.Shapley合作对策(n人合作对策)




3.模型计算

4.合作对策的应用——污水处理费用的合理分担
(一)问题背景

(二)污水处理的5种方案


(三)Shapley合作对策


(四)shapley合作对策小结

七、加权投票中的权力的度量
1.问题背景




2.加权投票与获胜联盟
(一)例一:县区代表投票


(二)例二:委员会投票


3.权力指标

(一)Shapley权力指标



(二)Banzhaf权力指标


(三)比较

本文探讨了点球大战中的纳什均衡、交通拥堵的定价策略、市场竞争中的定价模型、公平分配原则、合作对策在污水处理中的应用,以及加权投票中权力的量化。通过实例揭示了博弈论在解决实际问题中的关键作用。
1470

被折叠的 条评论
为什么被折叠?



