一、概述
预测模型
即:概率等于在Ck类的概率乘以Ck发生的条件下x发生的概率。x发生的概率等于x的所有特征同时发生的概率。
策略:
先验概率最大化
算法计算公式:
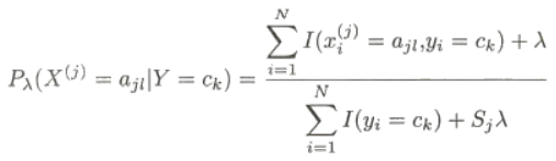
贝叶斯估计的条件概率计算:

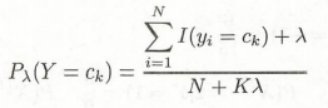
先验概率计算:

//================补充===============//
先验概率P(Y)
条件概率P(X|Y)
联合概率分布P(X,Y) = 先验概率P(Y)*条件概率P(X|Y)
后验概率P(Y|X)
贝叶斯公式就是用来求后验概率,就是要先求出先验概率和条件概率。

P(X,Y) = P(X|Y)P(Y)

本文介绍了朴素贝叶斯算法的基础知识,包括先验概率、条件概率和后验概率的计算,强调了独立同分布的假设对简化模型的重要性。通过贝叶斯公式求解后验概率,用于预测数据的类别,并探讨了拉普拉斯平滑处理零概率问题的方法。
最低0.47元/天 解锁文章
669

被折叠的 条评论
为什么被折叠?



