1. 简介
微分方程:描述自然界中存在的物理现象和普遍规律。
- 常微分方程(ODE)
- 偏微分方程(PDE)
偏微分方程理论:
- 物理/工程问题————翻译(建模)/物理工程规律————》数学问题(PDE)
- 物理/工程问题————求解/数学理论————》数学结果
- 物理/工程问题————分析————》数学公式/物理意义
偏微分方程的基本概念:
- 定义:未知函数及其偏导数所满足的方程;F(x, u(x), Du, D2u,…, Dnu) = 0;
- 阶数:偏微分方程中偏导数的最高阶数,有n阶就为n。
- 线性偏微分方程:方程中的未知函数或其偏导数的项都是一次项。
- 齐次方程:每项都含有未知函数或未知函数(定义的u = u(x, y))的偏导数。
导出微分方程的基本步骤:
- 明确研究的物理量
- 明确物理量遵守的物理规律
- 按物理规律写出微分方程(泛定方程)
- 微元法:划出一个微元,分析临近部分和ta的相互作用
微分方程解决的主要问题:
- 描述对象特征随时间变化的过程
- 分析对象特征的变化规律
- 预报对象特征的未来形态
- 研究控制对象特征的手段
常用的物理定律概述:
- 牛顿第二定律:F = ma;
- 胡克定律,在弹性限度内,弹性体的张应力和弹性体的形变量成正比:张应力 = 杨氏模量 * 相对伸长,

- 热传导的傅立叶定律:在dt时间内,通过面积元dS流入一个小体积元的热量dQ,与沿着面积元法线方向的温度梯度
成正比,也与dS和dt成正比:
(k是导热系数,由材料决定) - 牛顿冷却定律:单位时间内从周围介质,传到边界上单位面积的热量,与表面和外界的温度差成正比:
(这里u1是外界媒质的温度,h为比例系数) - 扩散定律(斐克定律):单位时间流过某横截面的杂质量dm与该横截面积S和浓度梯度
成正比:
(式中D为扩散系数,负号是指杂质浓度在减少)
2. 栗子——香烟过滤嘴的作用
问题:
- 过滤嘴的作用和ta的材料与长度有什么关系;
- 人体吸入的毒品量和哪些因素有关,因素的影响程度怎么样
模型分析:
- 分析吸烟时毒物进入人体的模型,建立吸烟过程模型;
- 假设一个机器人持续吸烟,并且环境不变
模型假设(假设的变量都在这儿哦):
- 烟草长 l1,过滤嘴长 l2,总长度 l = l1 + l2,假设毒品均匀分布;
- 毒物进入空气和沿香烟穿行的数量比:a’ : a, a’ + a = 1;
- 未点燃烟草和过滤嘴的吸收率(过滤程度)分别为b和ß;
- 烟雾沿着香烟的穿行速度为常速v,香烟的燃烧速度为u,v >> u;
- Q为毒物进入人体的总量
- q(x, t)为毒物的流量,w(x, t)为毒物密度
模型建立:
-
建立毒物进入身体的总量:Q = ƒ0T q(l, t)dt, T = l1 / u;
-
求q(x, 0) = q(x)——流量守恒
q(x) - q(x + ∆x) = bq(x)∆∂, 0 ≤ x ≤ l1;
q(x) - q(x + ∆x) = ßq(x)∆∂, l1 ≤ x ≤ l2;
(∆∂ = ∆x / v)
同时假设:
- q(0) = aH0;(香烟毒物被吸入的量)
- H0 = uw0;(香烟毒物的减少量)
可得到
dq/dx = -b/v * q(x), 0 ≤ x ≤ l1;
dq/dx = -ß/v * q(x), l1 ≤ x ≤ l2;
&
q(x) = aH0e-bx/v, 0 ≤ x ≤ l1;
q(x) = aH0e-bx/ve-ß(x-l1)/v, l1 ≤ x ≤ l2;
-
目标是求q(l, t),假设t时刻,香烟燃烧到了x = ut;
将q(x)中的H0拓展为H(t),x随时间会变成x-ut,l1会变成l1 - ut
可以求得:
q(x, t) = aH(t)e-b(x-ut)/v,ut ≤ x ≤ l1;
q(x, t) = aH(t)e-b(l1-ut)/ve-ß(x-l1)/v,l1 ≤ x ≤ l;
-
求w(ut, t)求∆t内毒物密度的增量。
w(x, t + ∆t) - w(x, t) = b(q(x, t))/v * ∆t(单位长度烟雾被吸收的部分)
我们已知:
- q(x, t) = aH(t)e-b(x-ut)/v;
- H(t) = uw(ut, t);(H0的拓展公式)
结果可得到:
w(ut, t) = w0/a’ * (1 - ae-a’but/v), a’ = 1 - a;
-
计算Q,吸入一致烟毒物进入人体的总量;
根据求出来的 w(x, t) 和 q(l, t) 可以代入Q = ƒ0T q(l, t)dt, T = l1 / u;求出现在的Q = aM e-ßl2/v µ®, r = a’bl1/v, µ® = 1 - e-r / r;
结果分析:
-
Q和a,M成正比,aM是毒物集中在x = l处的吸入量;
-
e-ßl2/v是过滤嘴的因素;
-
µ®是烟草的吸收作用;
-
判断与不带过滤嘴的香烟比较
Q1和Q2的差别为b和ß;
我们已知:
- 带滤嘴:Q1 = (aw0v / a’b) e-ßl2/v(1 - e-a’bl1/v);
- 不带滤嘴:Q~12 = (aw0v / a’b) e-bl2/v(1 - e-a’bl1/v);
所以明显是滤嘴提高了吸收能力
特点:
- 引入两个基本函数:流量q(x,t)和密度w(x,t),运用物理学的守恒定律建立微分方程,构造动态模型。
3. 偏微方程的导出
3.1. 波动方程的导出
- 传输线方程(电报方程 )
- 均匀薄膜的微小横振动方程
- 流体力学与声学方程
- 电磁波方程
ta们的物理本质根本不同,但这些方程的数学形式与弦振动方程和杆纵振动方程完全一样:
![]()
3.2. 扩散方程的导出
3.2.1. 细杆热传导
现象描述:导热细杆各点的温度是不均匀的,热量由高到低传导。
目的:求出细杆中温度的变化方程。
定律:
- 热传导的傅立叶定律:q = -k∆u(单位时间内流过单位时间的热量q与温度的梯度成正比,k为热传导系数);
- 热量守恒定律:热量变化 = 边界流入 + 热源放出;
第一种情况(系统无热源):
(热传导仅由物体内部温度不均引发)
u(x, t)为x处t时刻的温度。
一维情况下热传导的傅立叶定律有: q = -k∂u/∂x;(q为热流强度)
在x方向上(微元法):
![]()
- dt时间流入左表面的热量为:q|x Adt;
- dt时间流出右表面的热量为:q|x+dx Adt;
- 所以净流入为:q|x Adt - q|x+dx Adt = -∂q/∂xAdxdt =(然后把q换掉再整合)= kuxxAdxdt;
因为热量Q = c(øAdx)[u|t - u|t+dt] = c(øAdx)utdt;(假设ø为密度)
所以更具热量守恒定律得到kuxxAdxdt = c(øAdx)utdt;
结果:ut - a2uxx = 0, a2 = k/cp(这就得到了均匀物体内部无热源时的热传导方程)
第二种情况(系统内有热源):
比第一问不过就是多个热源,也就是加一个热量呗(设F(x, t)为单位时间,单位体积内产生的热量:kuxxAdxdt + F(x, t)Adxdt = c(øAdx)utdt;
得到:ut - a2uxx = F(x, t) / cp = f(x, t);(ƒ(x, t)为热源强度)
三维情况下就是:ut - a2∆u = f(x, t);
3.2.2. 扩散问题
扩散现象:系统浓度不均用时,物质从高浓度转移向低浓度的现象。
目的:建立空间各点浓度u(x, y, z, t)的方程。
物理规律:扩散定律和粒子数守恒定律
-
扩散定律(裴克定律):单位时间内流过单位面积的分子数或质量,与浓度的梯度成正比:
(D为扩散系数)沿着n方向的大小:

-
粒子数守恒定律:单位时间流入一定体积粒子数与流出同一体积粒子数的差,等于该体积单位时间内粒子数的增加量。
同样是微元法,划出一个小立方体v分析浓度变化规律。
- 计算单位时间沿x-方向的净流入量(负号是表示和浓度梯度的方向相反):
(利用两个平面的流入流出的积分) - 同理可以求出y方向和z方向的净流入量:
-
- 所以总的净流入量为

- 单位时间的粒子增加数为:

- 根据粒子数守恒定律就可以得到:

我们在前面得到过这样的结果:
和
所以我们将扩散定律代入就可以得到三维扩散方程:

我们484看到了吗有很多D,如果扩散是均匀的,D就是一个常数,我们可以令D = a2,则有

那如果这个空间里面有扩散源,也就是扩散是从这儿来的,那么我们可以将ta们相等得到公式:

- 计算单位时间沿x-方向的净流入量(负号是表示和浓度梯度的方向相反):
3.3. 稳定场方程
3.3.1. 热传导方程
如果边界条件与热源内不随时间变化,一定时间后,内部温度会达到稳态。
u = u(x, y, z), ∂u/∂t = 0;
so
ut - a2∆u = f(x, y, z, t) -> ∆u = -f(x, y, z)泊松方程
3.3.2. 静电场下的泊松方程和Laplace方程
从高斯定理出发,我们可以结合扩散定律简单的得到:

我们可以得到
还因为
我们可以得到两个方程:
- 泊松方程:

- Laplace方程(当
的时候):
4. PDE导出总结
系统的物理状态除了取决于自己状态,还取决于系统环境的状态。
- 物理、工程在t>0时刻的系统环境,在数学中称为边界条件;
- 物理、工程在t=0时刻的系统状态,在数学中称为初始条件;
定解条件:是边界条件和初始条件的总体,反映了问题的个性。
泛定方程:不带边界和初始条件的方程,反映问题的个性。
4.1. 初始条件 ——描述系统的初始状态
- 波动方程:含有时间的二阶导数,所以需要两个初始条件
- u|t=0 = u(x) 系统各点的初始位移
- ∂u/∂t|t=0 = v(x) 系统各点的初始速度
- 热传导方程:含有时间的一阶导数
- u(x, t)|t=0 = u(x)初始时刻的温度分布
- 泊松方程和拉普拉斯方程:不含时间的倒数,不需要初始条件
注意:初始条件给的是初始状态下物理量的分布,而不是指某一位置
4.2. 边界条件
未知函数在边界满足条件:
-
第一类Dirchlet边界条件:已知未知函数在边界上的函数值:
基本形式:u(x, y, z, t)|∑ = ƒ(M, t);
-
第二类Neumann:已知未知函数在边界上法线方向的导数值;
基本形式:∂u(x, t)/∂n|x0 = ƒ(x0, t); -
第三类Robin混合边界条件:混合牛顿冷却定律、傅立叶实验定律(一维);
牛顿冷却定律:
q = h(u - ø)n,u为物体表面温度,ø是周围介质温度,h是热交换系数。一维条件下简化为q = h(u - ø)。
牛顿冷却定律可以得出流出热量与外界温差成正比。
傅立叶实验定律:
q|x=a = -k∂u/∂x|x=a
基本形式:(u + H∂u/∂n)|∑ = ƒ(x0, y0, z0, t);
4.3. 小结
5. 偏微分方程的求解
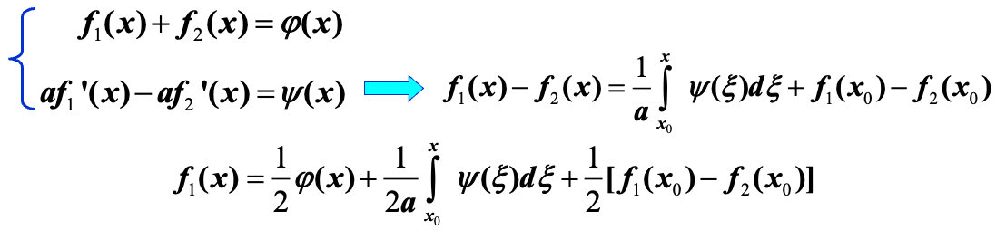
5.1. 达朗贝尔公式:行波解
基本思想:
- 求PDE的通解;
- 用定解求特解
关键步骤:通过变量变换,将波动方程化为齐次二阶偏微分方程。(所以也叫做波动方程的初始问题,或者柯西问题)
求解问题:
我们根据式1可以拆分得到
和
,变换变量也就可以转换为
。
通过复合求导我们可以得到:
——》
一些不要的东西删了:
求通解:
对两个创建的变量进行积分:
积分得到
再积分得到
我们的通解就是
其中ƒ1, ƒ2 是连续可微的一元函数。
ƒ1(x - at)和ƒ2(x + at)的意义?
- x - at为正方向运动的行波
- x + at为反方向运动的行波
确定待定函数形式,求特解:
我们已经有初始条件:
中的后两条。
我们可以根据之前的条件可以进行两个公式的化简:
所以可以得到我们求出的达朗贝尔公式:
5.2. 分离变量法
基本思想:将偏微分方程通过分离变量变成一个常微分方程!
关键步骤:求特征值问题
适用问题:有界域上的波动方程、热传导方程、稳定场方程等
求解问题:
特征值问题:含有未知常数的常微分方程,求非零解的问题;
特征值:是方程有非零解的常数值;
特征函数:和特征值相对于的非零解
5.3. Fourier变换法(傅立叶变换法)
基本思想:将偏微分方程通过Fourier变换变成一个常微分方程~
关键步骤:求常微分方程定解问题和ta的解的方法,Fourier逆变换
适用问题:无界域上的波动方程、热传导方程等
求解问题:
Fourier变换法基本步骤:
- 对偏微分方程与初始条件中实行傅立叶变换,转化为常微分方程;
- 解常微分方程的定解问题,得到相应的傅立叶变换式;
- 对该式进行逆傅立叶变换,求的原问题的解
本文详细介绍了偏微分方程(PDE)在描述物理现象中的应用,包括波动方程、热传导方程和扩散方程的导出。通过吸烟模型分析了过滤嘴对毒物吸入量的影响,展示了如何建立数学模型并求解。此外,还探讨了达朗贝尔公式、分离变量法和傅立叶变换法等求解PDE的方法。






1780

被折叠的 条评论
为什么被折叠?



