Maple_Vanderpol方程_摄动法公式符号推导

Maple辅助求解非线性振动近似解
本文介绍使用Maple软件通过摄动法求解范德波尔方程的近似解过程。重点在于利用数学软件简化复杂公式推导,提高计算效率与准确性,同时分享了在实践过程中遇到的版本问题与解决方案。

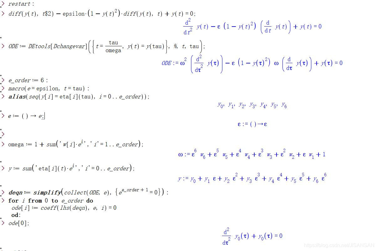
非线性振动部分  周期解的近似解法  进行高阶计算时 公式符号推导过程很难用手算推出来,因此为保证结果的可靠性我们常常借助数学软件进行公式推导,一方面减轻工作量,另一方面保证结果的可靠性并且结果可以直接拿来写报告。本文主要是学习Maple教程当中用摄动法算范德波尔方程近似解的经典例子,在学习过程当中发现照书中例子会出现错误,也许是因为版本问题,错误之处会文末说明。

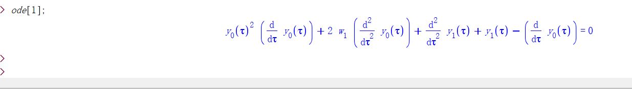
上面两张图就是每一步的命令及结果,最后得到的派生方程和一阶近似方程与例题中结果一致,代入初始条件解微分方程即可得到各阶近似解。

通过对每步的结果分析,我发现错误出现在下图命令部分,定义函数部分η[i]→η[i](t)中前面η[i]中的下标i会发生变化,而η[i](t)中的下标i不会发生变化,并且在simplify命令合并同类项之后i变成了7,这样结果当中的y1 y2 ......y6都变成了η7,处理方式就是直接删掉这个for循环:

 

评论
添加红包

请填写红包祝福语或标题

红包个数最小为10个

红包金额最低5元

当前余额3.43前往充值 >
需支付:10.00
成就一亿技术人!
领取后你会自动成为博主和红包主的粉丝 规则
hope_wisdom
发出的红包
实付
使用余额支付
点击重新获取
扫码支付
钱包余额 0

抵扣说明:

1.余额是钱包充值的虚拟货币,按照1:1的比例进行支付金额的抵扣。
2.余额无法直接购买下载,可以购买VIP、付费专栏及课程。

余额充值