LaTeX \LaTeX LATEX 公式等号对齐
0. 导包
使用公式对齐的功能,需要导入包
\usepackage{amsmath}
1. 对齐
使用如下的格式:
\begin{align*}
* &= * \\
&= * \\
&= *
\end{align*}
或者
\begin{equation*}
\begin{aligned}
* &= * \\
&= * \\
&= *
\end{aligned}
\end{equation*}
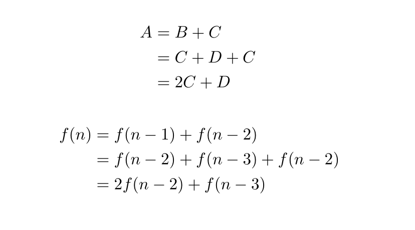
例如:
\begin{align*}
A &= B + C \\
&= C + D + C \\
&= 2C + D
\end{align*}
或者
\begin{equation*}
\begin{aligned}
f(n) &= f(n-1) + f(n-2) \\
&= f(n-2) + f(n-3) + f(n-2) \\
&= 2f(n-2) + f(n-3) \\
\end{aligned}
\end{equation*}
效果如下所示:

PS:感谢评论区伙伴的指正,遗漏或错误已修正。
1178

被折叠的 条评论
为什么被折叠?



