上篇介绍了神经网络语言模型,因为每次训练都与词表大小线性相关,所以too expensive。本篇主要介绍word2vec里面应用的一种分层优化的方法可以把O(|V|)复杂度降至O(log|V|)
原问题为
分母需要将词表中所有的词都当做候选词,做|V|次决策。如果从分类的角度来看的话,这步softmax相当于一个多分类问题,每个词相当于一个要预测的类标,优化目的是寻找一个在当前上下文环境下最合适的词。
Hinton 在[1]中提出了层次化的决策方法,主要想法是:
- 构建叶子节点为词的二叉树,每个非叶子节点也由向量表示,但不表示具体的词。
- 从上自下逐层决策,相当于每一层都是一个二分类
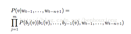
公式化表示为
每一层相当于一个二分类
博主自己画了两个直观的图,加深下理解,其中v表示要训练的那个词
Standrad softmax
Hierarchical sofmax
对于二叉树的构建,
- 可以用现有的知识图谱如WORDNET;
- 更为常用的是根据语料特征,构建二叉树,如根据词频的Haffman Tree
参考资料
[1] Frederic Morin and Yoshua Bengio. Hierarchical probabilistic neural networklanguage model. In Robert G. Cowell and Zoubin Ghahramani, editors, AISTATS’05,pages 246–252, 2005.
[2] Tomas Mikolov, Kai Chen, Greg Corrado, and Jeffrey Dean. Efficient Estimation ofWord Representations in Vector Space. In Proceedings of Workshop at ICLR, 2013.
1882

被折叠的 条评论
为什么被折叠?



