前言:
前面讲到GAN 在训练生成器的时候,如果当前的Pr 和 Pg 的分布不重叠场景下:
JS散度为一个固定值,梯度为0,导致无法更新生成器G
WGAN的全称是WassersteinGAN,它提出了用Wasserstein距离(也称EM距离)去取代JS距离,这样能更好的衡量两个分布之间的divergence。
目录:
- GAN 数据分布问题
- GAN JS 散度问题
- EM 距离
- WGAN
- WGAN-GP
- 伪代码分析
一 GAN 数据分布问题
在大部分场景 : 分布不重叠
原因1 :数据空间的维度
如下图
在低维空间是个有重叠的流形 ,
在高维空间展开就是不重叠的 线或者平面
图片可以认为是高维的空间

原因2: 采样
我们生成器 和真实的数据
虽然有重叠
但是实际采样的时候,生成的图片和真实图片分布
不一定重叠,如下

二 GAN JS 散度问题
2.1 JS 散度问题
前面讲过, 和 生成器生成的分布
不重叠的时候,JS 散度为常数 log2, 此刻梯度为0.
导致生成器无法更新。
因为生成器G很弱,制作出来的数据很假,鉴别器D 很容易
鉴别出,导致鉴别器D也无法更新。
2.2 Least Square Gan
针对JS 散度为常数问题,梯度为0,早期提出了用linear 替代
sigmoid 来分类,解决该问题。

三 EM 距离
WGAN 里面采用了EM 距离。
3.1 简介
Wasserstein 距离又叫Earth-Mover(EM)距离,又叫推土机距离。
如下图1维空间里面两个分布,P,Q,如果把P 移动到Q,则需要d步。

把P 分布变成Q 分布,有不同的铲土方案.
穷举所有的可能方案,其中铲土距离最小的,称为Wasserstein 距离。

3.2 EM 距离矩阵表示
如下图,把分布P 移动到分布Q.
有不同的移动的方案,每一种方案称为r.
矩阵里面每个元素的值 代表移动的土量。
用不同颜色表示,颜色越深值越大。
P 上每个位置的值: 等于矩阵当前行的值,
Q 上每个位置的值 : 等于矩阵当前列的值
3.2 EM 距离的优势
如下图:
JS 散度: 都是一样 log2,无法分辨出 哪个生成器更好
EM 距离: 距离更小,通过训练,可以把
训练成
。
KL散度和JS散度是突变的,要么最大要么最小,Wasserstein距离却是平滑的,如果我们要用梯度下降法优化这个参数,前两者根本提供不了梯度,Wasserstein距离却可以。
在高维空间中如果两个分布不重叠或者重叠部分可忽略,则KL和JS既反映不了远近,也提供不了梯度,但是Wasserstein却可以提供有意义的梯度。
四 WGAN
4.1 优化目标:
GAN 里面 wassertein 距离度量方法如下:

针对鉴别器我们期望:
越大越好
越小越好
4.2 问题:
对D(x)没有约束的时候,,会导致训练的时候,无法收敛。

4.3 解决方案
加入了Lipschitz 约束,要 变化不是很大,在一个约束范围内,该约束条件称为
Lipschitz。
Lipschitz 定义
WGAN 里面,f 相当于 D,
相当于
sample出来的样本
当k =1 ,称为1-Lipschitz。如下图的红线符合1-Lipschitz,
绿线不符合 1-Lipschitz 条件

4.4 Weight Clip
早期解决方案:
当w >c, w=c
当 w<-c, w=-c
约束参数的变化,但是并不能满足1-Lipschitz,只是发现实际工程效果比较好
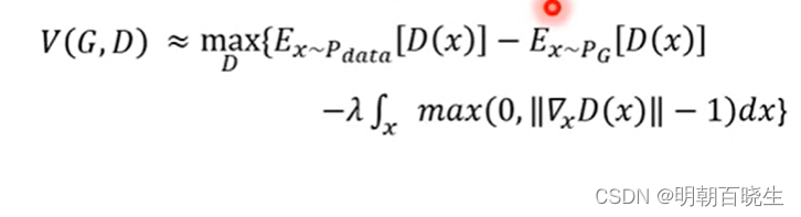
五 WGAN-GP
前面讲过1-Lipschitz
等价于在每个位置

5.1 优化目标
增加了Penalty 项
问题
没办法计算,所有可能的x 进行积分
5.2 解决方案
假设 x 是从 里面采样出来的

5.3 penalty 采样
,
两点相连接,在连接线上随机采样一个点,称为penalty中的x

在每个位置强制的Lipschitz条件是不可能的,通过Penalty 机制,在蓝色的区域进行
满足Lipschitz,实验上效果也很好

5.4 penalty 方案2
如下图,也可以用绿色的代表penalty,即使Norm 小于1 也进行Penalty,
有点类似SVM 思想,强制要求在-1,1 超平面上。

5.5 Spectrum Norm
在每个地方都满足gradient <1
六 GAN伪代码分析
6.1 训练鉴别器D,训练K次

6.2 训练生成器G

七 WGAN 伪代码
4处不一样
7.1 训练D

注意要使用Weight Clipping or Gradient Penalty
7.2 训练G

注意训练D的时候要使用Weight Clipping or Gradient Penalty
WGAN:解决GAN训练中的分布问题与优化策略
本文探讨了GAN在训练生成器时遇到的分布不重叠问题,介绍了Wasserstein距离(EM距离)如何替代JS散度以衡量分布差异。文章详细讲解了WGAN、WGAN-GP以及它们如何通过Lipschitz约束和Penalty机制确保收敛并优化生成器和鉴别器的性能。
1233

被折叠的 条评论
为什么被折叠?



