记录一下以前博客的证明过程,补充一下之前的结论
在算法导论中lgn一般指2为底的对数n,特此说明
以前写的博客记录了一下分治递归时间复杂度的结论,发现少了一个正则条件,而且也不覆盖所有的一般情况
https://blog.csdn.net/qq_19841133/article/details/103640028

考虑分支递归时间复杂度T(n),有下面的更一般结论
T(n) = aT(n/b) + f(n)

像下面举了一个例子T(n),计算发现f(n)较大,同时还要验证正则条件a(f(n/b)) <= cf(n),就是图片The regularity condition部分

为什么要正则条件?
在递归式T(n) = aT(n/b) + f(n)中
首先, f(n) 可以直观的被解释为把一个规模为n的问题分解成a个规模为n/b的子问题和合并a个子问题的解的代价
其次,af(n/b) 可以被解释为把a个规模为n/b的子问题分解成 a 2 a^2 a2个规模为 n / b 2 n/b^2 n/b2 的子问题和合并 a 2 a^2 a2个子问题解的代价。
那么,条件 af(n/b) ≤ cf(n), for c < 1 和足够大的 n, 可以被解释为上述第一点f(n)合并的代价是上述第二点af(n/b)代价的准确界。
则当一个问题被分解成越来越小的子问题,分解和合并的代价变得越来越小。
例子1
T
(
n
)
=
5
T
(
n
/
2
)
+
n
2
T(n) = 5T(n/2) + n^2
T(n)=5T(n/2)+n2
这个比较简单,直接套
d
<
l
o
g
b
a
d<log_ba
d<logba,
T
(
n
)
=
n
l
o
g
2
5
T(n) = n^{log_25}
T(n)=nlog25
例子2
T
(
n
)
=
27
T
(
n
/
3
)
+
n
3
l
g
n
T(n) = 27T(n/3) + n^3 lg n
T(n)=27T(n/3)+n3lgn
对应(2)公式
T
(
n
)
=
(
n
3
l
g
2
n
)
T(n) = (n^3 lg^2n)
T(n)=(n3lg2n)
例子3
T
(
n
)
=
2
T
(
n
/
2
)
+
n
/
l
g
n
T(n) = 2T(n/2) + n / lg n
T(n)=2T(n/2)+n/lgn
a=2,b=2,f(n)=n/lgn
这里对应(2)公式,但是发现k=-1,不满足k>=0,因此不用主定理法求解
例子4
改变变量法
有时代数操作可以把一个未知的递归式转换成已知可解的递归式
如下Tn,这里b表示不出来,不能用主定理法,但是我们可以替换一下变量
T
(
n
)
=
2
T
(
n
)
+
l
g
n
T(n) = 2T(\sqrt n) + lg n
T(n)=2T(n)+lgn
令 m = l g n m = lg n m=lgn, 则 n = 2 m n = 2^m n=2m
代回Tn
T
(
2
m
)
=
2
T
(
2
m
/
2
)
+
m
T(2^m) = 2T(2^{m/2}) + m
T(2m)=2T(2m/2)+m
令
S
(
m
)
=
T
(
2
m
)
S(m)=T(2^m)
S(m)=T(2m)得出新的递归式
S(m) = 2S(m/2) + m
用主定理法解得, d = l o g b a d=log_ba d=logba,S(m) = mlgm
用m代回
S
(
m
)
=
T
(
2
m
)
=
T
(
n
)
=
m
l
g
m
=
l
g
n
l
g
l
g
n
S(m) = T(2^m) =T(n)= mlgm = lgnlglgn
S(m)=T(2m)=T(n)=mlgm=lgnlglgn
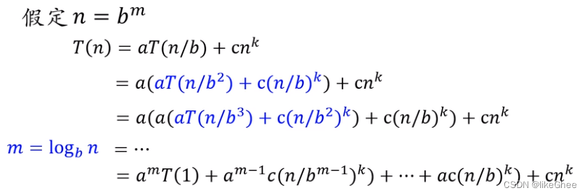
主定理法证明,下面是主定理法一种特殊形式的证明,更一般的情况请查阅《算法导论》
T ( n ) = a T ( n / b ) + c n k T(n) = aT(n/b) + cn^k T(n)=aT(n/b)+cnk
将T(n)递归展开,假设展开了m层变成一个没有递归的完整的求和序列

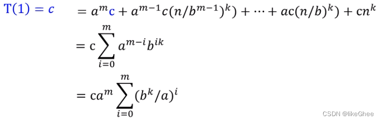
令T(1) = c,写成求和公式形式

那么解决求和部分 ∑ i = 0 m ( b k / a ) i \sum_{i=0}^m(b^k/a)^i ∑i=0m(bk/a)i即可,其实就是等比数列求和,分类讨论三种情况

等比数列求和r分成大于0等于0小于0情况

最后结论为

更一般的情况证明在《算法导论》中,数学分析难度了已经,先放一放先()
5443

被折叠的 条评论
为什么被折叠?



