最近对于image inpainting的研究开始向生成结果的多样性开始转变。传统image inpainting方法虽然也可以生成貌似真实的完整图像,但是这些模型有一个根本性的问题:它们默认了输入的缺失图像应该对应某一个完整图像,然后将生成的图像与真实的完整图像通过重建误差来优化网络。这显然是不合理的。就如艺术品修复一样,对于同一件艺术品,不同的艺术家对其修复的结果肯定是不一样的,但是这些修复结果都是合理的(艺术家自身水平达标的前提下),因此,如果将缺失图像用ImI_mIm来表示,完整图像用IgI_gIg表示,模型学习的应该是一个概率表示p(Ig∣Im)p(I_g|I_m)p(Ig∣Im)。
本文基于一个很直观的想法:越靠近mask边缘的缺失像素点,其应该越与mask边缘的已知像素有关。换句话说,越靠近mask边缘的缺失像素点,其多样性应该越小,越远离边缘的缺失像素点,其多样性应该越大。依照这个想法,作者通过构建网络将mask图(原本缺失处是0,观测处是1)生成一个概率图,依照这个概率图来确定生成像素是应该更加确定还是更加多样。
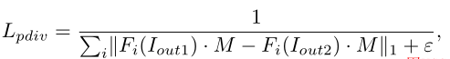
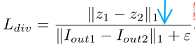
此外,本文与传统方法的另一个不同点在于,为了获得生成结果的多样性,本文并不是将图像经过编码后再解码来生成的,而是从随机噪声开始生成(这样在测试的时候对于同一个测试图像,取不同的噪声可以产生不同的修复结果),然后在生成的过程中不断的添加先验信息(由某个预训练的inpainting模型生成的完整图像),最终生成一个多样性的完整图像。并且为此作者还提出了一个专门配套的perceptual diversity loss来保证生成的多样性。
给出本文的流程图:

网络是经典的双阶段的模型,第一阶段预训练一个inpainting网络,可以产生比较粗糙的修复图像。之后本文的网络先是输入一个随机噪声,通过开始的几步卷积获得一个上采样结果,之后在每一个SPDNorm Residual Blocks中将预训练模型的粗糙修复结果(先验信息)和对应的mask输入到其中,不断进行特征的生成,最终随机噪声在不断添加的先验信息的加持下,生成理想的结果。SPDNorm Residual Blocks是本文的核心点,其中分为两部分,一部分是Hard SPDNNorm,其中的DhD^hD
多样性驱动的图像修复:概率图与软硬映射

本文探讨了图像修复领域的创新,提出使用概率图区分边缘和内部像素的多样性,通过Hardmap和Softmap生成不同确定性和多样性的修复结果。模型利用随机噪声和先验信息,配合感知多样性损失,生成具有丰富细节的多样修复图像。
最低0.47元/天 解锁文章
2339

被折叠的 条评论
为什么被折叠?



