正文
对于强电磁场,光纤的响应是非线性的。 非线性响应的起因是束缚电子在外加电磁场影响下的非谐波运动。 入射光的电场与电子相互作用,使其按照库仑定律发生振荡。 振荡电荷类似于天线,以与入射光场相同的频率辐射电磁能量,但相移不同。 电子在外加电场影响下的位移动力学是量子力学的一个基本研究领域 。
从传统模型入手,在经典电子振荡器模型中,电子被模拟为围绕原子核的带电云,如图 1(a) 所示。 图 1(b) 显示,当施加电场 Ex 时,电子电荷云会发生位移。 根据牛顿定律,电子电荷云中心的运动方程可以表示为:

公式(1):

其中,m 是电子质量,x(t) 是位移, q e q_e qe 是电子电荷。 当电子电荷云移动到平衡位置时,原子核和电子电荷云之间存在吸引力。 对于较小的位移 x(t),恢复力可近似为:
公式(2):

其中 K 是一个常数。
上式中的负号表示恢复力的作用方向与外力相反 。 这种情况类似于单摆被外力推离平衡位置的情况 [27]。 重力产生的恢复力将摆拉回平衡位置。 作用在电子上的净力可以表示为 :
公式(3):

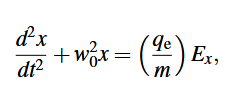
联立公式(1)(3)可以得到:

或
公式(4)

其中, ω 0 = K / m \omega_0=\sqrt{K/m} ω0=K/m 是振荡的固有频率。 假设外加电场的形式如下:
公式(5)

外加磁场导致的位移 x(t) 在稳定状态下也会发生谐波变化,并尝试试解
公式(6)

公式(5)(6)带入(4):
可以得到:

或

原子偶极矩的计算公式为:

一般来说:

如果我们将 P ⃗ = N p ⃗ \vec{P}=N\vec{p} P=Np定义为介电极化,则:

其中,N 是单位体积内的原子数。
对于弱入射电磁场,我们可以将介电极化 P 与电场强度 E 联系起来:
公式(7)
<
最低0.47元/天 解锁文章
55

被折叠的 条评论
为什么被折叠?



