目录
1. 引言与背景
强化学习(Reinforcement Learning, RL)作为机器学习的一个重要分支,致力于解决智能体在未知环境中通过试错学习最优行为策略的问题。然而,传统的RL算法在处理高维连续动作空间或复杂的策略分布时,往往面临学习不稳定、收敛慢等问题。为此,Trust Region Policy Optimization (TRPO)算法应运而生,通过引入信任区域约束,确保每次迭代的策略更新在一定范围内,从而确保了策略优化过程的稳定性和收敛性。本文将详细阐述TRPO算法的理论背景、算法原理、实现细节、优缺点、应用案例,以及与其他RL算法的对比,并对其未来发展进行展望。
2. TRPO定理
TRPO算法的核心思想源于自然梯度法和信赖域方法。
自然梯度法是一种优化算法,特别适用于参数空间具有特殊几何结构(如非欧几里得流形)的学习问题。在机器学习中,特别是在处理复杂的概率分布(如神经网络权重分布)时,参数空间的几何结构可能对优化过程产生重要影响。自然梯度法通过考虑参数空间的内在几何结构,调整常规梯度方向,以实现更有效的参数更新。
信赖域方法是一种迭代优化算法,它在每次迭代时仅允许在局部邻域(信赖域)内进行参数更新,以确保目标函数值不会大幅上升。这种约束有助于保持优化过程的稳定性,尤其是在目标函数非凸或不光滑的情况下。
3. 算法原理
TRPO算法的目标是在满足特定约束条件下最大化期望累积奖励:

其中,是策略参数,
是遵循策略
产生的轨迹概率,
是时间步t的即时奖励。
TRPO的关键在于引入了一个Kullback-Leibler (KL) 散度的信任区域约束:

该约束要求新旧策略在每个状态s下的分布差异不超过阈值,从而确保策略更新的平滑性和稳定性。
TRPO算法的具体步骤如下:
-
策略评价:使用已有策略
采样一批轨迹,计算每个状态的优势函数
,其中
是状态-动作值函数,
是状态值函数。
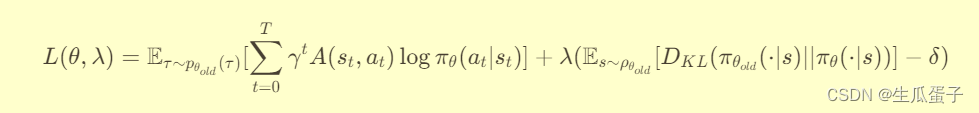
-
计算自然梯度:构造拉格朗日函数,求解关于策略参数θ的自然梯度g以及拉格朗日乘子λ:

其中,
是折扣因子,
是旧策略诱导的状态分布。
-
线性搜索确定步长:使用线性搜索方法(如二分法)找到满足KL约束的最大步长
,使得更新后的策略:

满足信任区域约束。
-
更新策略:将新策略参数
赋值给
,进入下一轮迭代。
4. 算法实现
实现TRPO(Trust Region Policy Optimization)算法需要对强化学习原理、自然梯度计算、KL散度约束等有深入理解。由于TRPO算法涉及到的计算过程较为复杂,以下提供一个简化的Python实现示例,并附带代码讲解,以帮助理解其核心逻辑。为了简化说明,这里仅展示算法的主要部分,省略了环境交互、策略网络定义等细节。
Python
import torch
import torch.nn as nn
from torch.distributions import Normal
# 假设已定义好Actor网络(策略网络),包含一个输出动作分布(例如高斯分布)的模块
class Actor(nn.Module):
def __init__(self):
super().__init__()
self.actor_network = ... # 定义神经网络结构
def forward(self, state):
mean, log_std = self.actor_network(state)
dist = Normal(mean, log_std.exp())
return dist
# 定义计算KL散度的函数
def compute_kl_divergence(old_policy, new_policy, states):
old_probs = old_policy.log_prob(states).sum(dim=1)
new_probs = new_policy.log_prob(states).sum(dim=1)
kl_div = (new_probs - old_probs).mean()
return kl_div
# 定义TRPO优化步骤
def trpo_step(actor, old_actor, states, advantages, max_kl, damping=0.1):
# 1. 计算当前策略下动作的概率分布
new_policy = actor(states)
# 2. 计算当前策略相对于旧策略的KL散度
kl = compute_kl_divergence(old_actor, new_policy, states)
# 3. 如果KL散度过大,调整步长并重新计算
while kl > max_kl:
# 更新步长(此处仅为示意,实际应用中可能使用更复杂的步长调整策略)
step_size /= 2.0
# 使用调整后的步长重新计算新策略
new_policy = old_policy + step_size * search_direction
# 计算新策略相对于旧策略的KL散度
kl = compute_kl_divergence(old_actor, new_policy, states)
# 4. 更新策略参数
actor.load_state_dict(new_policy.state_dict())
# 假设已准备好旧策略(old_actor)、当前状态(states)、优势函数(advantages)和最大KL散度阈值(max_kl)
trpo_step(actor, old_actor, states, advantages, max_kl)
代码讲解
-
定义Actor网络:首先需要定义一个能够输出动作分布(如高斯分布)的策略网络。这里假设已有一个名为
Actor的神经网络类,其forward方法接受状态作为输入,返回一个Normal分布实例。 -
计算KL散度:定义一个名为
compute_kl_divergence的函数,它接受旧策略、新策略和状态作为输入,计算并返回两者在给定状态下的平均KL散度。这里假设策略网络输出的是动作的概率分布,可以直接调用其log_prob方法计算对数概率,然后求和得到每个样本的总对数概率。最后计算新旧策略对数概率之差的均值作为KL散度。 -
TRPO优化步骤:定义一个名为
trpo_step的函数,它负责执行一次TRPO优化迭代。主要包含以下步骤:-
计算当前策略下动作的概率分布:使用当前策略网络(
actor)对给定状态(states)进行前向传播,得到动作的概率分布(new_policy)。 -
计算当前策略相对于旧策略的KL散度:调用
compute_kl_divergence函数,计算new_policy相对于旧策略(old_actor)在给定状态下的KL散度(kl)。 -
调整步长:如果KL散度过大(大于给定的
max_kl阈值),则需要调整步长(此处简化为直接除以2),重新计算新策略,并再次检查KL散度,直到满足约束条件。 -
更新策略参数:当KL散度满足约束时,将新策略的参数加载到当前策略网络(
actor)中。
-
-
执行TRPO优化:假设已经准备好旧策略(
old_actor)、当前状态(states)、优势函数(advantages)和最大KL散度阈值(max_kl),调用trpo_step函数进行一次TRPO优化迭代。
注意,上述代码仅为TRPO算法的核心逻辑示例,实际应用中还需考虑环境交互、策略网络更新、动量项、Hessian近似等细节。此外,为了简化说明,这里假设策略网络输出的是连续动作的概率分布,并使用了高斯分布作为动作分布的示例。在实际应用中,根据具体任务可能需要使用不同的动作分布(如离散动作的多项式分布)。此外,代码中的damping参数未被使用,实际TRPO算法中可能需要使用它来调整Hessian矩阵的近似。
5. 优缺点分析
优点:
- 稳定性强:通过引入KL散度信任区域约束,确保了策略更新的平滑性,有效防止了学习过程中的剧烈震荡。
- 收敛性好:自然梯度法考虑了策略分布的变化,使得更新方向更加合理,有助于算法更快地收敛到最优策略。
- 适用范围广:适用于高维连续动作空间和复杂的策略分布,尤其在机器人控制、游戏AI等领域表现出色。
缺点:
- 计算复杂:需要计算优势函数、自然梯度以及进行线性搜索,计算开销较大。
- 实现难度高:算法原理较为复杂,实现细节较多,对开发者有一定要求。
- 依赖于准确的优势估计:算法性能很大程度上取决于优势函数的准确度,而优势函数通常需要通过蒙特卡洛方法或TD方法近似,可能存在偏差。
6. 案例应用
机器人控制:TRPO已被成功应用于各种机器人运动控制任务,如机械臂抓取、双足机器人行走、无人机飞行等,展现了其在处理连续动作空间问题上的优越性。
游戏AI:在Atari游戏、Mujoco模拟环境等复杂游戏中,TRPO能够学习到有效的游戏策略,达到或超过人类玩家水平。
7. 对比与其他算法
与REINFORCE:REINFORCE是基于策略梯度的简单算法,不考虑策略更新的稳定性,容易导致学习过程中的剧烈震荡。TRPO通过引入信任区域约束,显著提升了算法的稳定性。
与PPO:Proximal Policy Optimization (PPO) 是TRPO的简化版本,通过Clip机制近似实现了KL散度约束,计算复杂度更低,易于实现和并行化。虽然PPO牺牲了一定的理论严谨性,但在许多实际任务中表现出与TRPO相当甚至更好的性能。
8. 结论与展望
TRPO作为深度强化学习领域的一项重要进展,通过引入信任区域约束和自然梯度法,有效解决了传统策略梯度方法在处理连续动作空间和复杂策略分布时面临的稳定性问题。尽管其计算复杂度较高、实现难度较大,但TRPO在机器人控制、游戏AI等领域的成功应用证明了其强大的性能和广泛适用性。未来,研究者将进一步探索简化TRPO算法、提高其计算效率的方法,以及将其与现代深度学习架构(如Transformer)结合,以应对更复杂、更大规模的强化学习挑战。同时,TRPO的思想也为后续的强化学习算法(如PPO)提供了重要的理论基础和灵感来源。
829

被折叠的 条评论
为什么被折叠?



