文章来源于我的个人公众号:KAU的云实验台,主要更新智能优化算法的原理、应用、改进
人工蜂群算法(Artificial Bee Colony,ABC)是由土耳其学者Karaboga[1]于2005年提出,它是模拟蜜蜂的采蜜行为来解决生活中一些多维和多模的优化问题,目前在谷歌学术上的引用量9k+。

对于ABC算法的研究也呈逐年上涨的趋势。

图源文献[8]
本文的内容之一即是介绍ABC算法的原理,并讨论其可利用与改进之处,最后给出其代码(Matlab/Python)实现。
本文的内容之二是KAU想聊聊优化算法的有效性的问题,可能很多朋友在应用一些最新的优化算法时都会有一个问题,明明在函数测试中算法的表现是最好的,为什么应用在实际问题中反而不理想,结合一些文献,KAU会简单探讨这个原因(本文仅对该现象原因作探讨,不评价算法好坏)。
下面是正文~
00 目录
1 人工蜂群算法(ABC)
2 优化算法有效性
3 代码目录
4 ABC算法性能
5 源码获取
01 人工蜂群算法(ABC)
1.1 人工蜂群算法原理
ABC算法自提出后,大量学者都针对其性能进行了分析比较[2-5],经总结,可得出其特点如下:
(1) 计算简单,但局部搜索能力弱。因为其每次产生的新解都是在父解基础上变化一个维度,因此其局部搜索能力弱,收敛较慢。
(2) 参数少。其只有一个控制参数limit。
(3) 探索能力好。探索蜂的存在使得算法可以跳出原有解集,保证群体的多样性,避免早熟。
下面具体讲ABC算法的理论:
ABC算法模拟蜂群采蜜过程,通过不同角色蜜蜂间的交流、转换和协作来实现群体智能。具体而言,人工蜂群由雇佣蜂、跟随蜂和侦查蜂三种角色分工组成,在协作过程中,雇佣蜂负责搜索蜜源并将蜜源信息反馈给跟随蜂, 跟随蜂则优先选择较好的蜜源进行跟随并在蜜源附近搜索,当达到开采蜜源上限,而新的蜜源质量没有得到提升,相应的雇佣蜂将转变为侦查蜂并重新随机搜索蜜源。
在求解优化问题时, 蜂群个体与蜜源一一对应,其位置为优化问题的解,蜜源质量为优化问题的适应度值。
蜂群通过下式初始化:

其中,xid代表蜜源i的第d维的位置;Ud和Ld为搜索空间上下限。
雇佣蜂根据下式进行更新(式1):

其中,vid是雇佣蜂在蜜源i附近搜索产生的一个新蜜源,φ是[-1,1]之间的随机数,决定了扰动幅度考虑,按照贪婪策略选择是否更新xi。
所有的雇佣蜂完成蜜源上式的更新后,飞回信息交流区共享蜜源信息。跟随蜂根据雇佣蜂分享的蜜源信息,按下式计算的概率进行跟随:

跟随蜂按照轮盘赌的方法选择雇佣蜂,即生成[0,1]之间的随机数r,若pi>r,则该跟随蜂按照雇佣蜂的方式在蜜源i周围生成新蜜源,并以贪婪策略选择是否保留原蜜源。
若蜜源xi在迭代次数达到阈值limit后还是没有更新成质量更好的蜜源,则蜜源xi会被放弃,与之对应的雇佣蜂会转变为侦查蜂,侦查蜂将在搜索空间中随机生成一个新蜜源代替xi(式2):

该算法的流程如下:

1.2 人工蜂群算法的改进&利用
在改进方面,首先,由原理可知,ABC算法的位置的更新主要依赖式1,而此公式适宜探索,但不利于开发,会导致收敛速度慢,可以考虑增加变更维度、引入群体中其他蜜源信息等方法加快收敛;其次,参数limit的选择对算法性能影响较大,太小的limit不利于蜂群协作、太大的limit限制了算法的探索能力,除设定为固定参数外,也可以考虑在不同迭代阶段进行自适应调整。
在利用方面,limit参数决定的放弃蜜源的机制是一个很有意思的方法,可以针对性的迭代掉一直没有变化的解,相较于以随机概率r来判断是否随机更新一个个体的位置(如黏菌算法)能更有效率的提升种群质量,跳出局部最优解。
02 优化算法有效性
当需要解决一些优化问题时,(为了好发文章)你可能会在一区期刊里找一些最新发表的优化算法,这些算法通常都在一些测试函数上获得了不错的效果,然而当你应用在你的优化问题中时,也许性能还不如以前的算法(之前我做三维路径规划出现过这个问题,新算法不如PSO),那么到底是哪里出了问题?
文献6提出近年大量出现的优化算法中,许多都存在“中心偏置算子”,就是算法能够随着迭代自行被“吸引”到最优解上。最常见的就是CEC2005中的0解集(如下图中的Optimum f)

引用文献7对灰狼优化算法GWO的实验,该文献对包括GWO在内的6算法对以上9个函数进行测试。尤其要注意在F7-F9上的表现,因为这三个函数的最优解集不是0。测试结果如下:

可以看到,在F1-F6上,GWO的性能尤其好,而F7-F9上的表现则没有那么惊艳,当然,也可能是函数复杂度的问题,因此文献又修改了实验条件,把这9个函数的最优解做一定偏移,如下:

注意,此时F1-F6函数的最优解集是k(k≠0),而F7-F9函数的最优解集则变成了0。由此,GWO的结果会是如何呢,见下图:

能够清楚的看到,结果发生了反转,在前6个函数的性能上,GWO性能反而大大下降,而在F7-F9上,性能又十分出彩。其中的原因,大概就是因为其带有了所谓的“中心偏置算子”让GWO的解能自然的收敛到0。
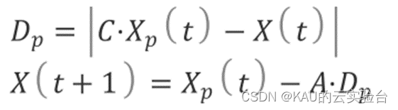
进一步,文献分析了“中心偏置算子”的由来,GWO的核心更新公式如下:

其中,A的计算公式如下:

众所周知,a是随着迭代次数递减到0的,这个参数A又会影响X(t+1)的更新,因此大概率是这个算子造成此现象,针对其他算法,也可以用同样的方法分析。
这个现象不仅困扰了我一段时间,后台也有一些朋友经常问我这个问题,今天这篇文章就相当于是给有相关问题的朋友解答一下疑惑吧。因此若各位朋友有这类“优化矛盾”(函数测试好,实际问题差)的问题,不妨再思考一下所选算法是否适用。当然有其他想法也欢迎一起讨论。
03 代码目录
继续接着ABC算法来讲,当然也可以分析ABC算法有无这个现象——显然是没有的哈哈(两个很简单的公式能分辨出来,一般2010年前的似乎都没这个问题)。

KAU提供的代码包括MATLAB和Python。考虑到很多同学获取代码后,MATLAB代码部分有乱码(MATLAB版本问题),有几个方法:
①可以将MATLAB版本改为2020及以上;
②将m文件用记事本打开,再将记事本中的代码复制到Matlab即可
代码都经过作者重新注释,代码更清爽,可读性强。

04 ABC算法性能
采用标准测试函数初步检验其寻优性能。在MATLAB中,进行标准函数的测试,执行程序结果如下:

05 源码获取
在公众号(KAU的云实验台)后台回复 ABC 即可
参考文献
[1] Karaboga D. An idea based on honey bee swarm for numerical optimization,TRO6[ R ].Kayseri , Turkey : Erciyes University , 2005.
[2]Karaboga D,Akay B. A comparative study of artificial bee colony al-gorithm[ J ]. Applied Mathematics and Computation , 2009, 214( 1 ) : 108-132.
[3]Karaboga D,Basturk B. On the performance of artificial bee colony(ABC) algorithm[ J ]. Applied Soft Computing , 2008,8 ( 1 ) :687-697.
[4]Akay B,Karaboga D. Parameter tuning for the artificial bee colonyalgorithm [ C]//Proc of International Conference on ComputationalCollective Intelligence. Berlin : Springer ,2009 ;608-619.
[5]宁爱平,张雪英.人工蜂群算法的收敛性分析[J].控制与决策,2013,28( 10) :1554-1558.
[6]Kdela J .A critical problem in benchmarking and analysis of evolutionary computation methods[J].Nature Machine Intelligence, 2022, 4:1238-1245.DOI:10.1038/s42256-022-00579-0.
[7]Niu, Peifeng et al. “The defect of the Grey Wolf optimization algorithm and its verification method.” Knowl. Based Syst. 171 (2019): 37-43.
[8]A Review on Representative Swarm Intelligence Algorithms for Solving Optimization Problems:Applications and Trends
另:如果有伙伴有待解决的优化问题(各种领域都可),可以发我,我会选择性的更新利用优化算法解决这些问题的文章。
如果这篇文章对你有帮助或启发,可以点击右下角的赞/在看(ง •̀_•́)ง(不点也行),你们的鼓励就是我坚持的动力!若有定制需求,可私信作者。

812

被折叠的 条评论
为什么被折叠?



