1. 简介
RNN(Recurrent Neural Network)
是一组用于处理序列数据的神经网络
\color{blue}{是一组用于处理序列数据的神经网络}
是一组用于处理序列数据的神经网络。序列数据的特点是后面的数据跟前面的数据有关系,是一种按照先后顺序排列的数据。如你需要预测一个句子中的下一个字,知道前边的字会是很有帮助的。一般以序列数据为输入,通过网络内部的结构设计有效捕捉序列之间的关系特征,一般也是以序列形式进行输出。
RNN对序列特性的数据非常有效,它能够挖掘数据中的时序信息以及语义信息,大多应用于
语音识别、语言模型、机器翻译以及时序分析
\color{blue}{语音识别、语言模型、机器翻译以及时序分析}
语音识别、语言模型、机器翻译以及时序分析等NLP领域。
2. 网络结构

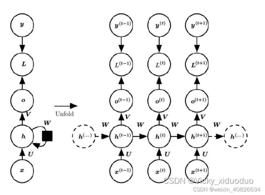
具体含义如下:
x
(
t
)
x^{(t)}
x(t)代表在序列索引号
t
t
t时训练样本的输入,同样的,
x
(
t
−
1
)
x^{(t-1)}
x(t−1)和
x
(
t
+
1
)
x^{(t+1)}
x(t+1)代表在序列索引号
t
−
1
t-1
t−1和
t
+
1
t+1
t+1时训练样本的输入;
h
(
t
)
h^{(t)}
h(t)代表在序列索引号
t
t
t时模型的隐藏状态,
h
(
t
)
h^{(t)}
h(t)由
x
(
t
)
x^{(t)}
x(t)和
h
(
t
−
1
)
h^{(t-1)}
h(t−1)共同决定;
o
(
t
)
o^{(t)}
o(t)代表在序列索引号
t
t
t时模型的输出。
o
(
t
)
o^{(t)}
o(t)只由模型当前的隐藏状态
h
(
t
)
h^{(t)}
h(t)决定;
L
(
t
)
L^{(t)}
L(t)代表在序列索引号
t
t
t时模型的损失函数;
y
(
t
)
y^{(t)}
y(t)代表在序列索引号
t
t
t时训练样本序列的真实输出;
U,W,V这三个矩阵是模型的线性关系参数,在整个RNN网络中是共享的。
基于上面的模型,得出RNN前向传播算法。
对于任意一个序列索引号
t
t
t,隐藏状态由
h
(
t
)
h^{(t)}
h(t)由
x
(
t
)
x^{(t)}
x(t)和
h
(
t
−
1
)
h^{(t-1)}
h(t−1)得到:
h
(
t
)
=
σ
(
U
x
(
t
)
+
W
h
(
t
−
1
)
+
b
)
h^{(t)}=\sigma(Ux^{(t)}+Wh^{(t-1)}+b)
h(t)=σ(Ux(t)+Wh(t−1)+b)
其中,
σ
\sigma
σ为RNN的激活函数,一般为tanh,b为线性关系的偏倚。
序列索引号
t
t
t时模型的输出
o
(
t
)
o^{(t)}
o(t)的表达式为:
o
(
t
)
=
V
h
(
t
)
+
c
o^{(t)}=Vh^{(t)}+c
o(t)=Vh(t)+c
最终序列索引号
t
t
t时我们的预测输出为:
y
(
t
)
‾
=
σ
(
o
(
t
)
)
\overline{y^{(t)}}=\sigma(o^{(t)})
y(t)=σ(o(t))
通常RNN是识别类的分类模型,所以上面的激活函数一般是softmax
3. 反向传播
RNN的反向传播也叫做BPTT(Back-propagation through time),反向传播的思路是通过梯度下降法一轮轮的迭代,得到合适的RNN模型参数
U
,
W
,
V
,
b
,
c
U,W,V,b,c
U,W,V,b,c。
为了简化描述,这里的损失函数用交叉熵损失函数,公式为:
L
=
−
∑
i
=
0
n
y
i
l
o
g
y
(
t
)
‾
L=-\sum_{i=0}^n y_ilog\overline{y^{(t)}}
L=−i=0∑nyilogy(t)
对于RNN,由于在序列的每个位置都有损失函数,因此最终的损失
L
L
L为:
L
=
∑
t
=
1
T
L
(
t
)
L=\sum_{t=1}^TL^{(t)}
L=t=1∑TL(t)
使用随机梯度下降法训练RNN其实就是对
U
,
W
,
V
U,W,V
U,W,V求偏导,并不断调整它们以使
L
L
L尽可能达到最小的过程。现在假设我们我们的时间序列只有
t
1
,
t
2
,
t
3
t_1,t_2,t_3
t1,t2,t3三段。我们对
t
3
t_3
t3时刻的
U
,
W
,
V
U,W,V
U,W,V求偏导:
∂
L
3
∂
V
=
∂
L
3
∂
o
3
∂
o
3
∂
V
\cfrac{\partial L^3}{\partial V}=\cfrac{\partial L^3}{\partial o^3} \cfrac{\partial o^3}{\partial V}
∂V∂L3=∂o3∂L3∂V∂o3
∂
L
3
∂
U
=
∂
L
3
∂
o
3
∂
o
3
∂
h
3
∂
h
3
∂
U
+
∂
L
3
∂
o
3
∂
o
3
∂
h
3
∂
h
3
∂
h
2
∂
h
2
∂
U
+
∂
L
3
∂
o
3
∂
o
3
∂
h
3
∂
h
3
∂
h
2
∂
h
2
∂
h
1
∂
h
1
∂
U
\cfrac{\partial L^3}{\partial U}=\cfrac{\partial L^3}{\partial o^3} \cfrac{\partial o^3}{\partial h_3} \cfrac{\partial h^3}{\partial U} + \cfrac{\partial L^3}{\partial o^3} \cfrac{\partial o^3}{\partial h_3} \cfrac{\partial h^3}{\partial h^2}\cfrac{\partial h^2}{\partial U} + \cfrac{\partial L^3}{\partial o^3} \cfrac{\partial o^3}{\partial h_3} \cfrac{\partial h^3}{\partial h^2}\cfrac{\partial h^2}{\partial h^1}\cfrac{\partial h^1}{\partial U}
∂U∂L3=∂o3∂L3∂h3∂o3∂U∂h3+∂o3∂L3∂h3∂o3∂h2∂h3∂U∂h2+∂o3∂L3∂h3∂o3∂h2∂h3∂h1∂h2∂U∂h1
∂
L
3
∂
W
=
∂
L
3
∂
o
3
∂
o
3
∂
h
3
∂
h
3
∂
W
+
∂
L
3
∂
o
3
∂
o
3
∂
h
3
∂
h
3
∂
h
2
∂
h
2
∂
W
+
∂
L
3
∂
o
3
∂
o
3
∂
h
3
∂
h
3
∂
h
2
∂
h
2
∂
h
1
∂
h
1
∂
W
\cfrac{\partial L^3}{\partial W}=\cfrac{\partial L^3}{\partial o^3} \cfrac{\partial o^3}{\partial h_3} \cfrac{\partial h^3}{\partial W} + \cfrac{\partial L^3}{\partial o^3} \cfrac{\partial o^3}{\partial h_3} \cfrac{\partial h^3}{\partial h^2}\cfrac{\partial h^2}{\partial W} + \cfrac{\partial L^3}{\partial o^3} \cfrac{\partial o^3}{\partial h_3} \cfrac{\partial h^3}{\partial h^2}\cfrac{\partial h^2}{\partial h^1}\cfrac{\partial h^1}{\partial W}
∂W∂L3=∂o3∂L3∂h3∂o3∂W∂h3+∂o3∂L3∂h3∂o3∂h2∂h3∂W∂h2+∂o3∂L3∂h3∂o3∂h2∂h3∂h1∂h2∂W∂h1
可以看出对于求
V
V
V偏导并没有长期依赖,但是对于
U
,
W
U,W
U,W求偏导,会随着时间序列产生长期依赖。因为
h
(
t
)
h^{(t)}
h(t)随着时间序列向前传播,而
h
(
t
)
h^{(t)}
h(t)又是
U
,
W
U,W
U,W的函数。
深度学习-循环神经网络(RNN)
于 2022-12-06 18:39:37 首次发布
2万+

被折叠的 条评论
为什么被折叠?



