IRB 1600-6/1.45 ABB 改进DH参数计算正解逆解

该博客围绕ABB机器人IRB 1600 - 6/1.45,介绍通过笛卡尔空间已知点求解机器人关节空间状态的方法。包括获取改进DH参数、进行fk(正解)和ik(逆解)推导,最后在robotstudio中进行测试验证,证明了机器人正解及逆解的正确性。
本文章已经生成可运行项目,

一、参考文章

最近在项目中,需要通过笛卡尔空间已知点的位置求解机器人关节空间的状态,最终选择最优方式到达目标点。实验室正好有ABB机器人,型号为IRB 1600-6/1.45。
方法步骤:
1、获取机器人DH参数
2、fk、ik代码
3、robotstudio验证

abb dh参数获取:
dh参数1
dh参数2

参考视频:哔哩哔哩,强烈推荐
台大机器人运动学

fk-ik计算推导参考:
fk-ik2
fk_ik2

二、改进DH参数获取

在上文链接中,按照链接1、2所述,获取到的DH参数应为MDH,其获取结果如下图所示,但是通过最终验证,只有欧拉角计算正确,空间位置并不正确。
在这里插入图片描述

后续通过其他途径获取相关改进DH参数,见下述内容,如有需要,见私信。

三、fk推导

根据上述链接,建立相关坐标系,建立过程如下图所示;
在这里插入图片描述

以课程中示例所示,第i-1与第i杆之间坐标经历α(i-1),a(i-1),θ(i),d(i)。该方法为改进DH参数。其中:
α(i-1) 表示第i-1坐标系z轴经旋转后与第i坐标系z轴平行,逆时针为正;
a(i-1) 表示经过上述操作后的第i-1坐标系z轴与第i坐标系z轴异面直线距离;
θ(i)表示经过上述操作后的第i-1坐标系x轴经旋转后与第i坐标系x轴平行;
d(i) 表示经过上述操作后的i-1坐标系与第i坐标系之间偏移距离。

注意初始坐标系与末尾坐标系中参数,具体见推荐课程。
参考fk-ik2链接中图片,对ABB六轴机器人建立对应的坐标系,轻易可得:

图1
可得ABB中对应的MDH为,具体型号见技术参数:
在这里插入图片描述
最终变换公式如下图所示,T的左上角为以哪一个坐标系作为基准。将上表中数带入下图公式,最终可以得到机器人正解。
在这里插入图片描述
最终,将变换矩阵转换为XYZABC格式,只需将旋转矩阵转换为欧拉角即可。

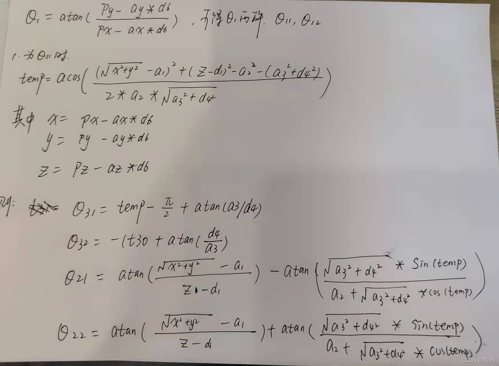
四、ik推导

针对ik推导,具体推导公式不详细列出,最终结果存在多解,为下图所示;
在这里插入图片描述
在这里插入图片描述
懒得写了,抽时间再写,依据上述链接中计算后续的theta。

五、测试验证

打开robotstudio,建立机器人工程,打开虚拟示教器,随意设定一个位姿,分别记录笛卡尔空间坐标与关节空间状态,如下图所示,分别进行fk ik计算。
在这里插入图片描述
最终得到位姿如下图所示:
可以看出fk、ik计算正确,为了验证其他关节状态是否正确,分别移动虚拟示教器,让关节状态满足其余七个状态,记录笛卡尔坐标。
在这里插入图片描述

关节空间验证

大概位姿,非准确,只是测试是否准确:
第2组、
在这里插入图片描述
在这里插入图片描述
第3组、第4组中第五轴超出量程范围;
第5组:
在这里插入图片描述
在这里插入图片描述

第6组
在这里插入图片描述
在这里插入图片描述
第7组、第8组中二轴的超出量程范围;

综上,可以验证abb机器人正解及逆解的正确性;

附录-代码部分

#include <iostream>
#include <cmath>
#include <vector>
#include <Eigen/core>
#include <cmath>
using namespace std;
const double pi = 3.14159265397932384626433;

//MDH参数
vector<double> joints_alpha = { 0, -90, 0, 90, -90, 90 };
vector<double> joints_a = { 0, a1, -a2, -0, 0, 0 };
vector<double> joints_d = { d1, 0, 0, d4, 0, d6 };
vector<double> joints_theta = { 0, 90, 0, 0, 0, 0 };
//MDH参数-矩阵
Eigen::Matrix4d dh_matrix(double alpha, double a, double d, double theta);

//旋转矩阵转换为欧拉角
vector<double> computeEularAngles(Eigen::Matrix4d & R, bool israd);

//欧拉角转换为旋转矩阵 xyzabc
Eigen::Matrix4d computeTrans(vector<double> pos);

//fk计算
vector<double> fk_robot(vector<double>joints_alpha, vector<double> joints_a, vector<double> joints_d, vector<double> joints_theta);

//ik计算
vector<vector<double>> ik_robot(Eigen::Matrix4d trans);

int main()
{

	vector<double> temp_theta = { 20.24,14.44,24.48,-22.07,26.14,-84.27 };//关节空间表示
	vector<double> pos = { 773.17,273.55,730.15,-60.93,-14.71,-155.71 };//笛卡尔空间表示

	 //fk 
	vector<double> theta1;
	for (int i = 0; i < joints_theta.size(); i++)
	{
		theta1.push_back(joints_theta[i]+ temp_theta[i]);
	}
	auto rst = fk_robot(joints_alpha, joints_a, joints_d, theta1);
	
	cout << "笛卡尔空间表示:\n"<<"x: "<<rst[0] << "\ty: " << rst[1] << "\tz:" << rst[2] << "\tA: " << rst[3] << "\tB: " << rst[4] << "\tC: " << rst[5] << endl;


	//ik计算
	auto test = computeTrans(pos);
	auto joint=ik_robot(test);

	cout << "关节空间表示:" << endl;
	for (int i = 0; i < joint.size(); i++)
	{
		for (int j = 0; j < joint[i].size(); j++)  cout << "theta"+ to_string(j)+":   "<<joint[i][j] << "\t";
		cout << "\n";
	}

	system("pause");
	return 0;
}
本文已生成可运行项目
评论 11
添加红包

请填写红包祝福语或标题

红包个数最小为10个

红包金额最低5元

当前余额3.43前往充值 >
需支付:10.00
成就一亿技术人!
领取后你会自动成为博主和红包主的粉丝 规则
hope_wisdom
发出的红包

打赏作者

小修勾

你的鼓励将是我创作的最大动力

¥1 ¥2 ¥4 ¥6 ¥10 ¥20
扫码支付:¥1
获取中
扫码支付

您的余额不足,请更换扫码支付或充值

打赏作者

实付
使用余额支付
点击重新获取
扫码支付
钱包余额 0

抵扣说明:

1.余额是钱包充值的虚拟货币,按照1:1的比例进行支付金额的抵扣。
2.余额无法直接购买下载,可以购买VIP、付费专栏及课程。

余额充值