一.含参量正常积分
1.含参量积分的概念:

注:①在建立含参量的概念和讨论其连续性/可微性时,矩形区域 [ a , b ] × [ c , d ] [a,b]×[c,d] [a,b]×[c,d]可更改为更一般的区域 I × [ c , d ] I×[c,d] I×[c,d],其中 I I I为区间
2.含参量积分的连续性:
定理19.1:若二元函数 f ( x , y ) f(x,y) f(x,y)在矩形区域 R = [ a , b ] × [ c , d ] R=[a,b]×[c,d] R=[a,b]×[c,d]上连续,则函数 φ ( x ) = ∫ c d f ( x , y ) d y φ(x)=\int_c^df(x,y)dy φ(x)=∫cdf(x,y)dy在 [ a , b ] [a,b] [a,b]上连续
该定理的结论也可写成如下形式:若 f ( x , y ) f(x,y) f(x,y)在矩形区域 R R R上连续,则对 ∀ x 0 ∈ [ a , b ] ∀x_0∈[a,b] ∀x0∈[a,b],都有 lim x → x 0 ∫ c d f ( x , y ) d x = ∫ c d lim x → x 0 f ( x , y ) d y \displaystyle\lim_{x\to x_0}\int_c^df(x,y)dx=\int_c^d\displaystyle\lim_{x\to x_0}f(x,y)dy x→x0lim∫cdf(x,y)dx=∫cdx→x0limf(x,y)dy
这个结论表明:定义在矩形区域上的连续函数,其极限运算和积分运算的顺序可交换
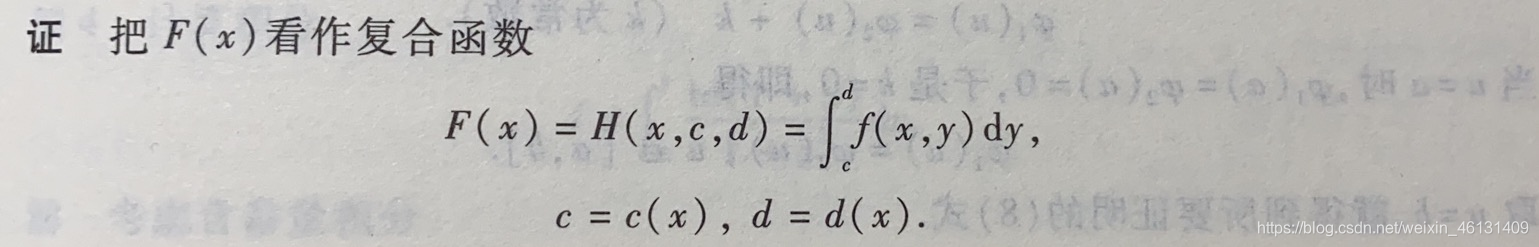
定理19.2:设二元函数 f ( x , y ) f(x,y) f(x,y)在区域 G = { ( x , y ) ∣ c ( x ) ≤ y ≤ d ( x ) , a ≤ x ≤ b } G=\{(x,y)\,|\,c(x)≤y≤d(x),a≤x≤b\} G={(x,y)∣c(x)≤y≤d(x),a≤x≤b}上连续,其中 c ( x ) , d ( x ) c(x),d(x) c(x),d(x)为 [ a , b ] [a,b] [a,b]上的连续函数,则函数 F ( x ) ∫ c ( x ) d ( x ) f ( x , y ) d y ( 6 ) F(x)\int_{c(x)}^{d(x)}f(x,y)dy\qquad(6) F(x)∫c(x)d(x)f(x,y)dy(6)在 [ a , b ] [a,b] [a,b]上连续
3.含参量积分的可微性:
定理19.3:若函数 f ( x , y ) f(x,y) f(x,y)与其偏导数 ∂ ∂ x f ( x , y ) \frac{\partial}{\partial x}f(x,y) ∂x∂f(x,y)都在矩形区域 R = [ a , b ] × [ c , d ] R=[a,b]×[c,d] R=[a,b]×[c,d]上连续,则 φ ( x ) = ∫ c d f ( x , y ) d y φ(x)=\int_c^df(x,y)dy φ(x)=∫cdf(x,y)dy在 [ a , b ] [a,b] [a,b]上可微,且 d d x ∫ c d f ( x , y ) d y = ∫ c d ∂ ∂ x f ( x , y ) d y \frac{d}{dx}\int_c^df(x,y)dy=\int_c^d\frac{\partial}{\partial x}f(x,y)dy dxd∫cdf(x,y)dy=∫cd∂x∂f(x,y)dy
定理19.4:设 f ( x , y ) , f x ( x , y ) f(x,y),f_x(x,y) f(x,y),fx(x,y)在 R = [ a , b ] × [ c , d ] R=[a,b]×[c,d] R=[a,b]×[c,d]上连续, c ( x ) , d ( x ) c(x),d(x) c(x),d(x)为定义在 [ a , b ] [a,b] [a,b]上的值含于 [ p , q ] [p,q] [p,q]内的可微函数,则函数 F ( x ) = ∫ c ( x ) d ( x ) f ( x , y ) d y F(x)=\int_{c(x)}^{d(x)}f(x,y)dy F(x)=∫c(x)d(x)f(x,y)dy在 [ a , b ] [a,b] [a,b]上可微,且 F ′ ( x ) = ∫ c ( x ) d ( x ) f x ( x , y ) d y + f ( x , d ( x ) ) d ′ ( x ) − f ( x , c ( x ) ) c ′ ( x ) ( 7 ) F'(x)=\int_{c(x)}^{d(x)}f_x(x,y)dy+f(x,d(x))d'(x)-f(x,c(x))c'(x)\qquad(7) F′(x)=∫c(x)d(x)fx(x,y)dy+f(x,d(x))d′(x)−f(x,c(x))c′(x)(7)
4.含参量积分的可积性:
定理19.5:若 f ( x , y ) f(x,y) f(x,y)在矩形区域 R = [ a , b ] × [ c , d ] R=[a,b]×[c,d] R=[a,b]×[c,d]上连续,则 φ ( x ) , ψ ( y ) φ(x),ψ(y) φ(x),ψ(y)分别在 [ a , b ] , [ c , d ] [a,b],[c,d] [a,b],[c,d]上可积
这就是说:在 f ( x , y ) f(x,y) f(x,y)连续的假设下,同时存在2个求积顺序不同的积分: ∫ a b [ ∫ c d f ( x , y ) d y ] d x , ∫ c d [ ∫ a b f ( x , y ) d x ] d y \int_a^b[\int_c^df(x,y)dy]dx,\int_c^d[\int_a^bf(x,y)dx]dy ∫ab[∫cdf(x,y)dy]dx,∫cd[∫abf(x,y)dx]dy分别记为 ∫ a b d x ∫ c d f ( x , y ) d y , ∫ c d d y ∫ a b f ( x , y ) d x \int_a^bdx\int_c^df(x,y)dy,\int_c^ddy\int_a^bf(x,y)dx ∫abdx∫cdf(x,y)dy,∫cddy∫abf(x,y)dx前者表示 f ( x , y ) f(x,y) f(x,y)先对 y y y积分再对 x x x积分,后者表示 f ( x , y ) f(x,y) f(x,y)先对 x x x积分再对 y y y积分;它们统称为累次积分,或者更确切地称为二次积分
同理,若 f ( x , y ) f(x,y) f(x,y)在区域 G = { ( x , y ) ∣ c ( x ) ≤ y ≤ d ( x ) , a ≤ x ≤ b } T = { ( x , y ) ∣ a ( y ) ≤ x ≤ b ( y ) , c ≤ y ≤ d } G=\{(x,y)\,|\,c(x)≤y≤d(x),a≤x≤b\}\\T=\{(x,y)\,|\,a(y)≤x≤b(y),c≤y≤d\} G={(x,y)∣c(x)≤y≤d(x),a≤x≤b}T={(x,y)∣a(y)≤x≤b(y),c≤y≤d}上连续,则 F ( x ) , Γ ( y ) F(x),Γ(y) F(x),Γ(y)分别在 [ a , b ] , [ c , d ] [a,b],[c,d] [a,b],[c,d]上可积
定理19.6:若 f ( x , y ) f(x,y) f(x,y)在矩形区域 R = [ a , b ] × [ c , d ] R=[a,b]×[c,d] R=[a,b]×[c,d]上连续,则 ∫ a b d x ∫ c d f ( x , y ) d y = ∫ c d d y ∫ a b f ( x , y ) d x ( 8 ) \int_a^bdx\int_c^df(x,y)dy=\int_c^ddy\int_a^bf(x,y)dx\qquad(8) ∫abdx∫cdf(x,y)dy=∫cddy∫abf(x,y)dx(8)
二.含参量反常积分
1.概念:



2.一致收敛性及其判别法
(1)一致收敛性:


(2)内闭一致收敛:

(3)一致收敛的充要条件:
定理19.7(一致收敛的柯西准则):含参量反常积分(1)在 I I I上一致收敛的充要条件是:对 ∀ ε > 0 , ∃ M ∈ R ( M > c ) ∀ε>0,∃M∈R\,(M>c) ∀ε>0,∃M∈R(M>c),使得当 A 1 , A 2 > M A_1,A_2>M A1,A2>M时,对 ∀ ∈ I ∀∈I ∀∈I,都有 ∣ ∫ A 1 A 2 f ( x , y ) d y ∣ < ε ( 3 ) |\int_{A_1}^{A_2}f(x,y)dy|<ε\qquad(3) ∣∫A1A2f(x,y)dy∣<ε(3)
定理19.8:含参量反常积分(1)在 I I I上一致收敛的充要条件是: lim A → + ∞ F ( A ) = 0 \displaystyle\lim_{A\to+\infty}F(A)=0 A→+∞limF(A)=0其中 F ( A ) = s u p x ∈ I ∣ ∫ A + ∞ f ( x , y ) d y ∣ F(A)=sup_{x∈I}|\int_A^{+\infty}f(x,y)dy| F(A)=supx∈I∣∫A+∞f(x,y)dy∣
定理19.9:含参量反常积分(1)在 I I I上一致收敛的充要条件是:对任一趋于 + ∞ +\infty +∞的递增数列 { A n } ( \{A_n\}( {An}(其中 A 1 = c ) A_1=c) A1=c),函数项级数 ∑ n = 1 ∞ ∫ A n A n + 1 f ( x , y ) d y = ∑ n = 1 ∞ u n ( x ) ( 6 ) \displaystyle\sum_{n=1}^\infty\int_{A_n}^{A_{n+1}}f(x,y)dy=\displaystyle\sum_{n=1}^\infty u_n(x)\qquad(6) n=1∑∞∫AnAn+1f(x,y)dy=n=1∑∞un(x)(6)在 I I I上一致收敛
(4)含参量反常积分的一致收敛性判别法:
通过定理19.9将含参量反常积分一致收敛的问题转换成函数项级数一致收敛的问题后,各判别法的证明问题就转换成了函数项级数的相应判别法的证明问题
魏尔斯特拉斯 M M M判别法:设有函数 g ( y ) g(y) g(y),使得 ∣ f ( x , y ) ∣ ≤ g ( y ) ( ( x , y ) ∈ I × [ c , + ∞ ) ) |f(x,y)|≤g(y)\,((x,y)∈I×[c,+\infty)) ∣f(x,y)∣≤g(y)((x,y)∈I×[c,+∞))若 ∫ c + ∞ g ( y ) d y \int_c^{+\infty}g(y)dy ∫c+∞g(y)dy收敛,则 ∫ c + ∞ f ( x , y ) d y \int_c^{+\infty}f(x,y)dy ∫c+∞f(x,y)dy在 I I I上一致收敛
狄利克雷判别法:设
①对一切实数 N > c N>c N>c,含参量正常积分 ∫ v N f ( x , y ) d y \int_v^Nf(x,y)dy ∫vNf(x,y)dy对参量 x x x在 I I I上一致有界,即 ∃ M > 0 ∃M>0 ∃M>0,对 ∀ N > c ∀N>c ∀N>c及 ∀ x ∈ I ∀x∈I ∀x∈I,都有 ∣ ∫ v N f ( x , y ) d y ∣ < M |\int_v^Nf(x,y)dy|<M ∣∫vNf(x,y)dy∣<M
②对每个 x ∈ I , g ( x , y ) x∈I,g(x,y) x∈I,g(x,y)为 y y y的单调函数,且当 y → + ∞ y\to+\infty y→+∞时, g ( x , y ) g(x,y) g(x,y)对参量 x x x一致收敛于0
则含参量反常积分 ∫ c + ∞ f ( x , y ) g ( x , y ) d y \int_c^{+\infty}f(x,y)g(x,y)dy ∫c+∞f(x,y)g(x,y)dy在 I I I上一致收敛
阿贝尔判别法:设
① ∫ c + ∞ f ( x , y ) d y \int_c^{+\infty}f(x,y)dy ∫c+∞f(x,y)dy在 I I I上一致收敛
②对每个 x ∈ I , g ( x , y ) x∈I,g(x,y) x∈I,g(x,y)为 y y y的单调函数,且 g ( x , y ) g(x,y) g(x,y)在 I I I上对参量 x x x一致有界
则含参量反常积分 ∫ c + ∞ f ( x , y ) g ( x , y ) d y \int_c^{+\infty}f(x,y)g(x,y)dy ∫c+∞f(x,y)g(x,y)dy在 I I I上一致收敛
3.含参量反常积分的性质
(1)连续性:
定理19.10:设 f ( x , y ) f(x,y) f(x,y)在 I × [ c , + ∞ ] I×[c,+\infty] I×[c,+∞]上连续,若 Φ ( x ) = ∫ c + ∞ f ( x , y ) d y ( 12 ) \Phi(x)=\int_c^{+\infty}f(x,y)dy\qquad(12) Φ(x)=∫c+∞f(x,y)dy(12)在 I I I上一致收敛(或内闭一致收敛),则 Φ ( x ) \Phi(x) Φ(x)在 I I I上连续
该定理表明:在一致收敛的条件下,极限运算和无穷积分运算可以交换 lim x → x 0 ∫ c + ∞ f ( x , y ) d y = ∫ c + ∞ f ( x 0 , y ) d y = ∫ c + ∞ lim x → x 0 f ( x , y ) d y \displaystyle\lim_{x\to x_0}\int_c^{+\infty}f(x,y)dy=\int_c^{+\infty}f(x_0,y)dy=\int_c^{+\infty}\displaystyle\lim_{x\to x_0}f(x,y)dy x→x0lim∫c+∞f(x,y)dy=∫c+∞f(x0,y)dy=∫c+∞x→x0limf(x,y)dy
(2)可微性:
定理19.11:设 f ( x , y ) , f x ( x , y ) f(x,y),f_x(x,y) f(x,y),fx(x,y)在 I × [ c , + ∞ ] I×[c,+\infty] I×[c,+∞]上连续,若 Φ ( x ) = ∫ c + ∞ f ( x , y ) d y \Phi(x)=\int_c^{+\infty}f(x,y)dy Φ(x)=∫c+∞f(x,y)dy在 I I I上收敛,同时 ∫ c + ∞ f x ( x , y ) d y \int_c^{+\infty}f_x(x,y)dy ∫c+∞fx(x,y)dy在 I I I上一致收敛(或内闭一致收敛),则 Φ ( x ) \Phi(x) Φ(x)在 I I I上可微,且 Φ ′ ( x ) = ∫ c + ∞ f x ( x , y ) d y ( 15 ) \Phi'(x)=\int_c^{+\infty}f_x(x,y)dy\qquad(15) Φ′(x)=∫c+∞fx(x,y)dy(15)
该定理表明:在定理条件下,求导运算和无穷积分运算可以交换
(3)可积性:
定理19.12:设 f ( x , y ) f(x,y) f(x,y)在 [ a , b ] × [ c , + ∞ ] [a,b]×[c,+\infty] [a,b]×[c,+∞]上连续,若 Φ ( x ) = ∫ c + ∞ f ( x , y ) d y \Phi(x)=\int_c^{+\infty}f(x,y)dy Φ(x)=∫c+∞f(x,y)dy在 [ a , b ] [a,b] [a,b]上一致收敛,则 Φ ( x ) \Phi(x) Φ(x)在 [ a , b ] [a,b] [a,b]上可积,且 ∫ a b d x ∫ c + ∞ f ( x , y ) d y = ∫ c + ∞ d y ∫ a b f ( x , y ) d x ( 16 ) \int_a^bdx\int_c^{+\infty}f(x,y)dy=\int_c^{+\infty}dy\int_a^bf(x,y)dx\qquad(16) ∫abdx∫c+∞f(x,y)dy=∫c+∞dy∫abf(x,y)dx(16)
定理19.13:设 f ( x , y ) f(x,y) f(x,y)在 [ a , + ∞ ] × [ c , + ∞ ] [a,+\infty]×[c,+\infty] [a,+∞]×[c,+∞]上连续,若
① ∫ a + ∞ f ( x , y ) d x \int_a^{+\infty}f(x,y)dx ∫a+∞f(x,y)dx在 [ c , + ∞ ] [c,+\infty] [c,+∞]上关于 y y y内闭一致收敛, ∫ c + ∞ f ( x , y ) d y \int_c^{+\infty}f(x,y)dy ∫c+∞f(x,y)dy在 [ a , + ∞ ] [a,+\infty] [a,+∞]上关于 x x x内闭一致连续
②积分 ∫ a + ∞ d x ∫ c + ∞ ∣ f ( x , y ) ∣ d y , ∫ c + ∞ d y ∫ a + ∞ ∣ f ( x , y ) ∣ d x ( 18 ) \int_a^{+\infty}dx\int_c^{+\infty}|f(x,y)|dy,\int_c^{+\infty}dy\int_a^{+\infty}|f(x,y)|dx\qquad(18) ∫a+∞dx∫c+∞∣f(x,y)∣dy,∫c+∞dy∫a+∞∣f(x,y)∣dx(18)中有1个收敛,则 ∫ a + ∞ d x ∫ c + ∞ f ( x , y ) d y , ∫ c + ∞ d y ∫ a + ∞ f ( x , y ) d x ( 19 ) \int_a^{+\infty}dx\int_c^{+\infty}f(x,y)dy,\int_c^{+\infty}dy\int_a^{+\infty}f(x,y)dx\qquad(19) ∫a+∞dx∫c+∞f(x,y)dy,∫c+∞dy∫a+∞f(x,y)dx(19)
三.欧拉积分
1.
Γ
Γ
Γ函数

(1)
Γ
Γ
Γ函数在定义域上连续且可导:


(2)
Γ
Γ
Γ函数的递推公式为
Γ
(
s
+
1
)
=
s
Γ
(
s
)
Γ(s+1)=sΓ(s)
Γ(s+1)=sΓ(s):

(3)
Γ
Γ
Γ函数的图像:


(4)延拓
Γ
(
s
)
Γ(s)
Γ(s):


(5)
Γ
(
s
)
Γ(s)
Γ(s)的其他形式:

2.
B
B
B函数

(1)
B
(
p
,
q
)
B(p,q)
B(p,q)在定义域内连续:

(2)对称性:
B ( p , q ) = B ( q , p ) B(p,q)=B(q,p) B(p,q)=B(q,p)
(3)递推公式:
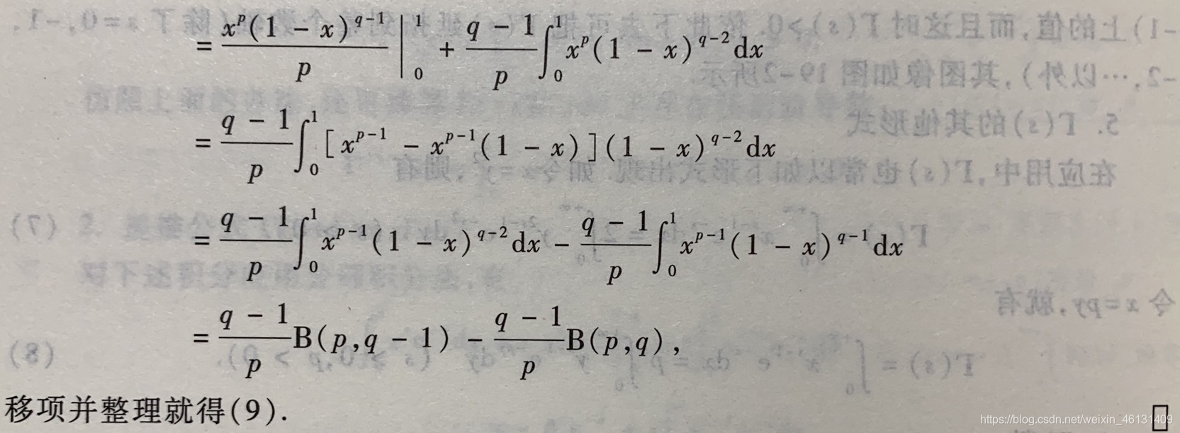
B ( p , q ) = q − 1 p + q − 1 B ( p , q − 1 ) ( p > 0 , q > 1 ) ( 9 ) B(p,q)=\frac{q-1}{p+q-1}B(p,q-1)\,(p>0,q>1)\qquad(9) B(p,q)=p+q−1q−1B(p,q−1)(p>0,q>1)(9)
B ( p , q ) = p − 1 p + q − 1 B ( p − 1 , q ) ( p > 1 , q > 0 ) ( 10 ) B(p,q)=\frac{p-1}{p+q-1}B(p-1,q)\,(p>1,q>0)\qquad(10) B(p,q)=p+q−1p−1B(p−1,q)(p>1,q>0)(10)
B ( p , q ) = ( p − 1 ) ( q − 1 ) ( p + q − 1 ) ( p + q − 2 ) B ( p − 1 , q − 1 ) ( p > 1 , q > 1 ) B(p,q)=\frac{(p-1)(q-1)}{(p+q-1)(p+q-2)}B(p-1,q-1)\,(p>1,q>1) B(p,q)=(p+q−1)(p+q−2)(p−1)(q−1)B(p−1,q−1)(p>1,q>1)
(4)
B
(
p
,
q
)
B(p,q)
B(p,q)的其他形式:

3.
Γ
Γ
Γ函数与
B
B
B函数间的关系:


























被折叠的 条评论
为什么被折叠?



