
摘要
本文研究了一种基于二阶超螺旋滑模控制(2nd-Order Super-Twisting Sliding Mode Control, STSMC)的改进直接转矩控制(DTC)方法,用于永磁同步电机(PMSM)的高性能控制。通过引入二阶超螺旋滑模控制算法,提高了系统对外部扰动和参数变化的鲁棒性,并有效地减小了传统DTC控制策略中的转矩波动。通过MATLAB仿真,验证了该控制方法在快速响应、精确控制及稳定性方面的优越性,相较于传统DTC控制方法,本方法在控制精度和抗干扰能力上均有所提升。
理论
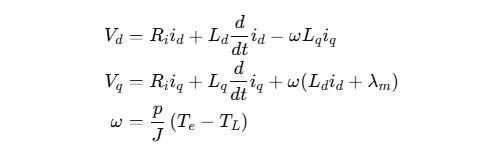
1. 永磁同步电机(PMSM)模型
永磁同步电机是一种高效的电机,广泛应用于高性能电机驱动系统。其数学模型可以通过以下方程表示:

2. 直接转矩控制(DTC)
直接转矩控制是一种基于电磁转矩和磁场定向控制的电机控制策略。与传统的矢量控制相比,DTC不需要使用旋转坐标变换和外部PI控制器。其基本原理是通过直接控制电机的转矩和磁链,实现高性能的电机控制。DTC通过选择合适的电压矢量来快速调节电机的转矩和磁通。
3. 二阶超螺旋滑模控制(2nd-Order STSMC)
二阶超螺旋滑模控制是一种改进的滑模控制方法,能够有效地减小控制系统中的抖振现象。它通过定义二阶滑模面,使得系统的动态响应更快,控制效果更加平稳。在PMSM的DTC中引入二阶超螺旋滑模

最低0.47元/天 解锁文章
1万+

被折叠的 条评论
为什么被折叠?



