✅作者简介:热爱科研的Matlab仿真开发者,擅长数据处理、建模仿真、程序设计、完整代码获取、论文复现及科研仿真。
🍎 往期回顾关注个人主页:Matlab科研工作室
🍊个人信条:格物致知,完整Matlab代码获取及仿真咨询内容私信。
🔥 内容介绍
1 实验目的
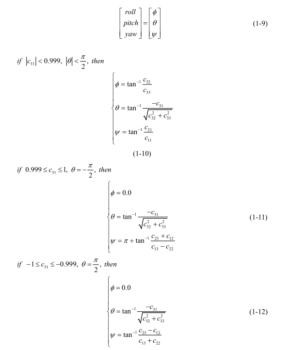
i) 加深对组合导航原理、机械编排算法、误差卡尔曼滤波、GNSS/INS 时间同步与内插、坐标系转换、姿态表达、数据估计与处理等的整体理解;
ii) 理解算法组合对定位精度的影响,理解 P、Q、R 阵的设定与作用,并能通过改变参数调节各组合部分对滤波状态的影响,并分析定位效果与误差;
iii) 理解 NHC(侧向垂向速度辅助)、ODO(前向速度辅助)、ZUPT、ZARU等外部约束的辅助能够正确根据数据反映的实际场景应用约束条件以提高定位精度。
2 实验任务
i) 实现组合导航中车载运动约束信息的测量更新算法,包括非完整性约束(NHC),里程计(ODO)测量信息,并进行以下测试分析:
a) 分析加入 NHC 更新后,组合算法的定位误差变化;
b) 分析加入 ODO 更新后,组合算法的定位误差变化;
c) 分析加入 NHC 和 ODO 更新后,组合算法的定位误差变化;
d) 将位置、速度误差转到当前时刻的车体坐标系下分析定位误差;
e) 在系统变量中建模 ODO 比例因子误差进行在线估计。
ii) 实现零速约束算法,包括零速更新(ZUPT)算法,零航向角速率更新(ZARU)算法;并对比加入零速更新和零航向角速率更新后,组合算法的定位误差变化。
备注:可根据参考结果的速度获取载体零速对应的时间段。
iii) 在添加上述观测信息的基础上,对比分析初始方差 P0,过程噪声 Q,观测噪声 R 的大小调节,对组合算法状态收敛性和定位误差的影响。
iv) 在添加上述观测信息的基础上,对比分析观测更新间隔的设置,对组合算法状态收敛性和定位误差的影响。
以上所有的实验任务,包括选做的在线估计 ODO 比例因子,将速度、位置定位误差转到当前时刻的车体坐标系下进行分析,笔者已经全部实现,本文中会对其进行详细分析。











⛳️ 运行结果





📣 部分代码
%% imuerror
imuerrorfile = 'dataset/ImuError.txt';
err = load(imuerrorfile);
figure()
set(gcf,'Position',[150 100 1050 700])
plot(err(:, 1), err(:, 2:4))
set(gca,'linewidth',1.2,'fontsize',14,'fontname','Times','FontWeight','bold')
title({'$\bf{GyroBias}$'}, 'interpreter','latex','FontSize', 19);
xlabel('$\bf{Time[s]}$','interpreter','latex','FontSize', 17)
ylabel('$\bf{gb[deg/h]}$','interpreter','latex','FontSize', 17)
legend1=legend('$\bf{X}$','$\bf{Y}$','$\bf{Z}$','interpreter','latex','FontSize',10.5);
set(legend1,'LineWidth',1,'Interpreter','latex','FontSize',10.5);
box on
grid("on");
figure()
set(gcf,'Position',[150 100 1050 700])
plot(err(:, 1), err(:, 5:7))
set(gca,'linewidth',1.2,'fontsize',14,'fontname','Times','FontWeight','bold')
title({'$\bf{AccelBias}$'}, 'interpreter','latex','FontSize', 19);
xlabel('$\bf{Time[s]}$','interpreter','latex','FontSize', 17)
ylabel('$\bf{ab[mGal]}$','interpreter','latex','FontSize', 17)
legend1=legend('$\bf{X}$','$\bf{Y}$','$\bf{Z}$','interpreter','latex','FontSize',10.5);
set(legend1,'LineWidth',1,'Interpreter','latex','FontSize',10.5);
box on
grid("on");
figure()
set(gcf,'Position',[150 100 1050 700])
plot(err(:, 1), err(:, 8:10))
set(gca,'linewidth',1.2,'fontsize',14,'fontname','Times','FontWeight','bold')
title({'$\bf{GyroScale}$'}, 'interpreter','latex','FontSize', 19);
xlabel('$\bf{Time[s]}$','interpreter','latex','FontSize', 17)
ylabel('$\bf{gs[ppm]}$','interpreter','latex','FontSize', 17)
legend1=legend('$\bf{X}$','$\bf{Y}$','$\bf{Z}$','interpreter','latex','FontSize',10.5);
set(legend1,'LineWidth',1,'Interpreter','latex','FontSize',10.5);
box on
grid("on");
figure()
set(gcf,'Position',[150 100 1050 700])
plot(err(:, 1), err(:, 11:13));
set(gca,'linewidth',1.2,'fontsize',14,'fontname','Times','FontWeight','bold')
title({'$\bf{AccelScale}$'}, 'interpreter','latex','FontSize', 19);
xlabel('$\bf{Time[s]}$','interpreter','latex','FontSize', 17)
ylabel('$\bf{as[ppm]}$','interpreter','latex','FontSize', 17)
legend1=legend('$\bf{X}$','$\bf{Y}$','$\bf{Z}$','interpreter','latex','FontSize',10.5);
set(legend1,'LineWidth',1,'Interpreter','latex','FontSize',10.5);
box on
grid("on");
🔗 参考文献
🎈 部分理论引用网络文献,若有侵权联系博主删除
👇 关注我领取海量matlab电子书和数学建模资料
🏆团队擅长辅导定制多种科研领域MATLAB仿真,助力科研梦:
🌟 各类智能优化算法改进及应用
生产调度、经济调度、装配线调度、充电优化、车间调度、发车优化、水库调度、三维装箱、物流选址、货位优化、公交排班优化、充电桩布局优化、车间布局优化、集装箱船配载优化、水泵组合优化、解医疗资源分配优化、设施布局优化、可视域基站和无人机选址优化、背包问题、 风电场布局、时隙分配优化、 最佳分布式发电单元分配、多阶段管道维修、 工厂-中心-需求点三级选址问题、 应急生活物质配送中心选址、 基站选址、 道路灯柱布置、 枢纽节点部署、 输电线路台风监测装置、 集装箱调度、 机组优化、 投资优化组合、云服务器组合优化、 天线线性阵列分布优化、CVRP问题、VRPPD问题、多中心VRP问题、多层网络的VRP问题、多中心多车型的VRP问题、 动态VRP问题、双层车辆路径规划(2E-VRP)、充电车辆路径规划(EVRP)、油电混合车辆路径规划、混合流水车间问题、 订单拆分调度问题、 公交车的调度排班优化问题、航班摆渡车辆调度问题、选址路径规划问题、港口调度、港口岸桥调度、停机位分配、机场航班调度、泄漏源定位、冷链、时间窗、多车场等、选址优化、港口岸桥调度优化、交通阻抗、重分配、停机位分配、机场航班调度、通信上传下载分配优化
🌟 机器学习和深度学习时序、回归、分类、聚类和降维
2.1 bp时序、回归预测和分类
2.2 ENS声神经网络时序、回归预测和分类
2.3 SVM/CNN-SVM/LSSVM/RVM支持向量机系列时序、回归预测和分类
2.4 CNN|TCN|GCN卷积神经网络系列时序、回归预测和分类
2.5 ELM/KELM/RELM/DELM极限学习机系列时序、回归预测和分类
2.6 GRU/Bi-GRU/CNN-GRU/CNN-BiGRU门控神经网络时序、回归预测和分类
2.7 ELMAN递归神经网络时序、回归\预测和分类
2.8 LSTM/BiLSTM/CNN-LSTM/CNN-BiLSTM/长短记忆神经网络系列时序、回归预测和分类
2.9 RBF径向基神经网络时序、回归预测和分类
2.10 DBN深度置信网络时序、回归预测和分类
2.11 FNN模糊神经网络时序、回归预测
2.12 RF随机森林时序、回归预测和分类
2.13 BLS宽度学习时序、回归预测和分类
2.14 PNN脉冲神经网络分类
2.15 模糊小波神经网络预测和分类
2.16 时序、回归预测和分类
2.17 时序、回归预测预测和分类
2.18 XGBOOST集成学习时序、回归预测预测和分类
2.19 Transform各类组合时序、回归预测预测和分类
方向涵盖风电预测、光伏预测、电池寿命预测、辐射源识别、交通流预测、负荷预测、股价预测、PM2.5浓度预测、电池健康状态预测、用电量预测、水体光学参数反演、NLOS信号识别、地铁停车精准预测、变压器故障诊断
🌟图像处理方面
图像识别、图像分割、图像检测、图像隐藏、图像配准、图像拼接、图像融合、图像增强、图像压缩感知
🌟 路径规划方面
旅行商问题(TSP)、车辆路径问题(VRP、MVRP、CVRP、VRPTW等)、无人机三维路径规划、无人机协同、无人机编队、机器人路径规划、栅格地图路径规划、多式联运运输问题、 充电车辆路径规划(EVRP)、 双层车辆路径规划(2E-VRP)、 油电混合车辆路径规划、 船舶航迹规划、 全路径规划规划、 仓储巡逻、公交车时间调度、水库调度优化、多式联运优化
🌟 无人机应用方面
无人机路径规划、无人机控制、无人机编队、无人机协同、无人机任务分配、无人机安全通信轨迹在线优化、车辆协同无人机路径规划、
🌟 通信方面
传感器部署优化、通信协议优化、路由优化、目标定位优化、Dv-Hop定位优化、Leach协议优化、WSN覆盖优化、组播优化、RSSI定位优化、水声通信、通信上传下载分配
🌟 信号处理方面
信号识别、信号加密、信号去噪、信号增强、雷达信号处理、信号水印嵌入提取、肌电信号、脑电信号、信号配时优化、心电信号、DOA估计、编码译码、变分模态分解、管道泄漏、滤波器、数字信号处理+传输+分析+去噪、数字信号调制、误码率、信号估计、DTMF、信号检测
🌟电力系统方面
微电网优化、无功优化、配电网重构、储能配置、有序充电、MPPT优化、家庭用电、电/冷/热负荷预测、电力设备故障诊断、电池管理系统(BMS)SOC/SOH估算(粒子滤波/卡尔曼滤波)、 多目标优化在电力系统调度中的应用、光伏MPPT控制算法改进(扰动观察法/电导增量法)、电动汽车充放电优化、微电网日前日内优化、储能优化、家庭用电优化、供应链优化\智能电网分布式能源经济优化调度,虚拟电厂,能源消纳,风光出力,控制策略,多目标优化,博弈能源调度,鲁棒优化
电力系统核心问题经济调度:机组组合、最优潮流、安全约束优化。新能源消纳:风光储协同规划、弃风弃光率量化、爬坡速率约束建模多能耦合系统:电-气-热联合调度、P2G与储能容量配置新型电力系统关键技术灵活性资源:虚拟电厂、需求响应、V2G车网互动、分布式储能优化稳定与控制:惯量支撑策略、低频振荡抑制、黑启动预案设计低碳转型:碳捕集电厂建模、绿氢制备经济性分析、LCOE度电成本核算风光出力预测:LSTM/Transformer时序预测、预测误差场景生成(GAN/蒙特卡洛)不确定性优化:鲁棒优化、随机规划、机会约束建模能源流分析、PSASP复杂电网建模,经济调度,算法优化改进,模型优化,潮流分析,鲁棒优化,创新点,文献复现微电网配电网规划,运行调度,综合能源,混合储能容量配置,平抑风电波动,多目标优化,静态交通流量分配,阶梯碳交易,分段线性化,光伏混合储能VSG并网运行,构网型变流器, 虚拟同步机等包括混合储能HESS:蓄电池+超级电容器,电压补偿,削峰填谷,一次调频,功率指令跟随,光伏储能参与一次调频,功率平抑,直流母线电压控制;MPPT最大功率跟踪控制,构网型储能,光伏,微电网调度优化,新能源,虚拟同同步机,VSG并网,小信号模型
🌟 元胞自动机方面
交通流 人群疏散 病毒扩散 晶体生长 金属腐蚀
🌟 雷达方面
卡尔曼滤波跟踪、航迹关联、航迹融合、SOC估计、阵列优化、NLOS识别
🌟 车间调度
零等待流水车间调度问题NWFSP 、 置换流水车间调度问题PFSP、 混合流水车间调度问题HFSP 、零空闲流水车间调度问题NIFSP、分布式置换流水车间调度问题 DPFSP、阻塞流水车间调度问题BFSP
👇
230

被折叠的 条评论
为什么被折叠?



