系统设计要求
视放大率: Γ=3.6× ;
出瞳直径:D’=4mm ;
出瞳距离: 大于等于20mm ;
全视场角:2ω=10° ;
物镜焦距:f’=84mm ;
棱镜材料:K9 ;
棱镜展开长度:30mm ;
棱镜距离物镜的距离:40mm ;
孔径光阑位于物镜前33mm
系统设计方法与过程
用初级像差求解双胶合望远物镜的结构参数
基础工作:求
 
由出瞳直径以及视放大率可以计算出入瞳直径。


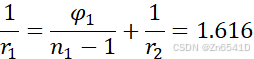
根据光学特性的要求,h 为第一辅助光线在透镜上的投射高,如图所示,可以计算

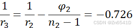
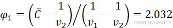
 为第二辅助光线在在透镜上的投射高,可以计算得出
 为第二辅助光线在在透镜上的投射高,可以计算得出





 
                   
                   
                   
                   最低0.47元/天 解锁文章
最低0.47元/天 解锁文章
                           
                       
       
           
                 
                 
                 
                 
                 
                
               
                 
                 
                 
                 
                
               
                 
                 扫一扫
扫一扫
                     
              
             
                   516
					516
					
 被折叠的  条评论
		 为什么被折叠?
被折叠的  条评论
		 为什么被折叠?
		 
		  到【灌水乐园】发言
到【灌水乐园】发言                                
		 
		 
    
   
    
   
             
            


 
            