【论文阅读】RevIN - Reversible Instance Normalization for Accurate Time-Series Forecasting Against Distribution Shift
0. 论文基本信息

发表信息:ICLR 2022
论文地址:https://openreview.net/forum?id=cGDAkQo1C0p
1. 简介
时间序列预测中的主要挑战之一是数据分布漂移问题(distribution shift problem),即数据分布,比如数据的均值方差等,会随着时间而变化,这会给时序预测问题造成一定的难度(这类数据也成为非平稳数据non-stationary)。而在时序预测任务中,训练集和测试集往往是时间来划分的,这天然会引入训练集和测试集分布不一致的问题,此外,不同输入序列也会有数据分布不一致的问题。这两个不一致的问题都可能会导致模型效果的下降。
为了解决上述问题,可以想办法去除数据中的非平稳信息,但是如果只是简单的消除非平稳信息,会导致非平稳信息丢失,这可能会影响到模型无法学习到这部分信息,进而影响到模型效果。因此,论文提出了在模型输出后显式恢复非平稳信息的思路,这样既使模型在学习时忽略了数据漂移的问题,又避免了非平稳信息的丢失。
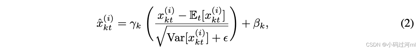
本篇论文提出的是一种数据规范化的方法,命名为“可逆实例规范化” (reversible instance normalization,RevIN)。具体来说,RevIN包含两部分,规范化和逆规范化,首先在数据输入模型前,将数据进行规范化,然后经过模型学习后得到模型输出,最后对模型输出进行反规范化。RevIN是一种灵活的,端到端的可训练层,能够被应用到任意模型层。
论文将RevIN运用到多种SOTA的时序预测模型上,均取得了较好的效果,下图是一个效果的直观对比。

2. 论文方法介绍
定义
将时序预测任务的输入表示为: X={
x(i)}i=1NX = \{x^{(i)}\}_{i=1}^NX={
x(i)}i=1

针对时间序列预测中的数据分布漂移问题,RevIN通过在模型输入前规范化数据,并在输出后逆规范化,有效解决了训练集与测试集分布不一致及序列间数据分布差异问题。
最低0.47元/天 解锁文章
5618

被折叠的 条评论
为什么被折叠?



