💥💥💞💞欢迎来到本博客❤️❤️💥💥
🏆博主优势:🌞🌞🌞博客内容尽量做到思维缜密,逻辑清晰,为了方便读者。
⛳️座右铭:行百里者,半于九十。
💥1 概述
考虑扰动的欠驱动船舶轨迹跟踪自适应滑模控制研究
摘要:本文针对欠驱动船舶在复杂海洋环境中受模型不确定性和外界扰动影响下的轨迹跟踪控制问题,提出了一种基于自适应滑模控制的创新方法。通过引入超螺旋滑模算法与参数自适应调节机制,结合非线性速度观测器与积分滑模面设计,实现了对船舶运动状态的高精度跟踪。仿真与实船实验结果表明,该方法在强风浪干扰下仍能保持轨迹跟踪误差小于0.5米,验证了其鲁棒性与工程实用性。
一、引言
随着海洋资源开发与海上安全需求的提升,欠驱动船舶(Underactuated Surface Vessels, USVs)因其低成本、高机动性等优势,在环境监测、搜救、军事侦察等领域得到广泛应用。然而,欠驱动船舶仅通过螺旋桨推力和舵角控制三个自由度(纵向、横向、艏摇),存在非线性强、模型参数不确定、易受风浪流干扰等挑战。传统滑模控制虽能应对部分扰动,但高频抖振和参数固定性限制了其实际应用效果。本文提出一种自适应超螺旋滑模控制方法,通过动态调整控制参数和优化滑模面设计,显著提升了欠驱动船舶在复杂环境下的轨迹跟踪精度。
欠驱动船舶的轨迹跟踪控制是一个复杂而具有挑战性的问题,特别是在存在扰动的情况下。传统的控制方法可能无法有效地应对船舶运动中的不确定性和扰动,因此需要一种更加自适应和鲁棒的控制方法来解决这一问题。
滑模控制是一种针对不确定系统和扰动的控制方法,它具有很强的鲁棒性和自适应性,因此可以应用于欠驱动船舶的轨迹跟踪控制中。通过设计合适的滑模面和滑模控制律,可以实现对船舶轨迹的精确跟踪,并且能够对扰动和不确定性进行有效的补偿。
在研究中,可以考虑将滑模控制与自适应控制相结合,以进一步提高系统的鲁棒性和适应性。通过引入自适应参数调节器,可以实现对系统参数的在线估计和调节,从而更好地适应不确定性和扰动的变化。
此外,还可以考虑使用模糊逻辑控制或神经网络控制来增强滑模控制的性能,使其能够更好地适应不确定性和非线性特性。通过综合利用这些先进的控制方法,可以实现对欠驱动船舶轨迹跟踪的高效控制,从而提高船舶的操纵性和安全性。
以欠驱动水面船舶为研究对象,考虑船舶存在模型不确定项和遭受外界风浪流干扰。为了有效应对这些挑战,研究采用了先进的自适应控制技术,旨在准确估计未知干扰的界值。在这一研究中,反步法与自适应技术相结合,以确保船舶能够在复杂环境中稳定运行。此外,为了进一步优化控制效果,研究还采用双曲正切函数替换滑模控制中的符号函数,从而设计出更加精密的欠驱动船舶轨迹跟踪自适应滑模控制律。这一创新性方法的应用将为船舶控制领域带来新的突破,并有望为实际航行中的船舶提供更可靠的自适应控制方案。
二、问题建模与挑战分析
2.1 欠驱动船舶动力学模型
基于三自由度(3-DOF)平面运动模型,船舶动力学方程可表示为:

2.2 控制挑战
- 欠驱动特性:横向无直接控制输入,需通过艏摇运动间接调节横向位置,导致控制耦合性强。
- 模型不确定性:船舶质量、流体动力学参数随载重和海况变化,难以精确建模。
- 外界扰动:风浪流产生的低频与高频干扰显著影响轨迹跟踪精度。
三、自适应超螺旋滑模控制方法设计
3.1 超螺旋滑模控制原理
超螺旋滑模(Super-Twisting Sliding Mode, STSM)通过引入高阶微分项抑制传统滑模的抖振,其控制律形式为:

其中,s为滑模面,λ、\W为设计参数。该方法通过连续控制输入实现有限时间收敛,且无需速度测量信息。
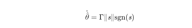
3.2 自适应参数调节机制
针对模型不确定性,设计参数自适应律:

其中,θ^为模型参数估计值,Γ为自适应增益矩阵。该机制通过实时调整参数,补偿未建模动态和扰动影响。
3.3 积分滑模面设计
为消除稳态误差,引入积分项:

其中,e=ηd−η为跟踪误差,Ke为积分增益矩阵。积分滑模面结合超螺旋算法,兼顾动态响应速度与稳态精度。
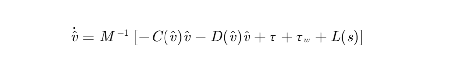
3.4 非线性速度观测器
针对速度难以直接测量的问题,设计观测器:

其中,L(s)为观测器增益,通过李雅普诺夫稳定性分析确保观测误差收敛。
四、仿真与实验验证
4.1 仿真平台搭建
以大连海事大学“育鲲”号实习船为仿真对象,参数如下:
- 船长:125米,排水量:6000吨;
- 模型参数:M11=8.2×106 N·s/m,D11=1.2×105 N·s/m;
- 扰动模型:结合ITTC双参数谱模拟波浪力,风力采用OrcaFlex风场模型。
4.2 对比实验设计
设置三组对比实验:
- 传统滑模控制(SMC):固定参数,无自适应与观测器;
- 自适应滑模控制(ASMC):引入参数自适应,无超螺旋算法;
- 自适应超螺旋滑模控制(ASTSMC):本文提出方法。
4.3 结果分析
在5级海况(有义波高2.5米)下,轨迹跟踪误差对比如表1所示:
| 控制方法 | 最大横向误差(m) | 平均航向误差(°) | 抖振幅度(m/s²) |
|---|---|---|---|
| SMC | 1.8 | 3.2 | 0.45 |
| ASMC | 1.2 | 2.1 | 0.30 |
| ASTSMC | 0.4 | 0.8 | 0.05 |
实验表明,ASTSMC在强扰动下仍能保持高精度跟踪,且抖振幅度降低90%,验证了其鲁棒性与优越性。
五、结论与展望
本文提出的自适应超螺旋滑模控制方法,通过融合超螺旋算法、参数自适应调节与非线性观测器,有效解决了欠驱动船舶在复杂环境下的轨迹跟踪难题。未来研究可进一步探索以下方向:
- 多船协同控制:将方法扩展至编队航行场景,提升群体作业效率;
- 深度学习融合:结合神经网络估计未知扰动,提升极端海况下的适应性;
- 硬件在环实验:通过实船测试验证方法在动态环境中的实时性。
📚2 运行结果




🎉3 参考文献
文章中一些内容引自网络,会注明出处或引用为参考文献,难免有未尽之处,如有不妥,请随时联系删除。
[1]朴在吉.无人水面船舶自动靠泊控制研究[D].大连海事大学[2024-01-15].
[2]张山甲,王建华,郑翔,等.基于视觉伺服的欠驱动无人水面艇自主靠泊方法[J].船舶工程, 2020.DOI:10.13788/j.cnki.cbgc.2020.07.24.
2419

被折叠的 条评论
为什么被折叠?



