SLAM十四讲【三】李群与李代数
SLAM十四讲【一】基本概念
SLAM十四讲【二】三维空间刚体运动
SLAM十四讲【三】李群与李代数
SLAM十四讲【四】相机与图像
SLAM十四讲【五】线性优化
SLAM十四讲【六】视觉里程计
SLAM十四讲【七】回环检测
SLAM十四讲【八】建图
文章目录
一、李群与李代数基础
1.1 群
两个旋转矩阵或者变换相加就不是原来矩阵的类型了,但乘却是代表做了两次运算,还是原来的类型,对于这种只有一个运算的集合就称之为群。
群(Group)是一种集合加上一种运算的代数结构。我们把集合记作A,运算记作·,那么群可以记作 G=(A,·)。 群要求这个运算满足以下几个条件:
1.封闭性: 任意a1 , a2∈A , a1·a2∈A .
2.结合律: 任意a1 ,a2, a3∈A , (a1·a2)·a3=a1·(a2·a3) .
3.幺元: 任意a0∈A , s.t. 任意a∈A ,a0·a=a·a0=a .
4.逆: 任意a∈A , 存在a(-1)∈A , s.t. a·a(-1)=a0 .
矩阵中常见的群有:
一般线性群GL(n):指 n*n 的可逆矩阵,它们对矩阵乘法成群。
特殊正交群SO(n):也就是所谓的旋转矩阵群,其中SO(2)和SO(3)最为常见。
特殊欧氏群SE(n):也就是前面提到的n维欧氏变换,如SE(2)和SE(3)。
挪威数学家Sophus Lie (索菲斯·李)提出了“李群”的核心理论。李群是指具有连续(光滑)性质的群。像整数群Z那样离散的群没有连续性质,所以不是李群。而SO(n)和SE(n)在实数空间上是连续的。我们能够直观地想象一个刚体能够连续地在空间中运动,所以它们都是李群。由于SO(3)和SE(3)对于相机姿态估计尤其重要,所以我们主要讨论这两个李群。
1.2 李代数的引出
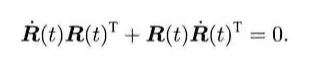
对于任意旋转矩阵R,满足

这种旋转会随着时间连续的变化成为时间的函数,有

求导得

整理得

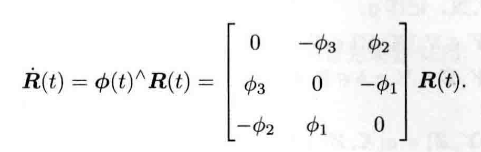
这里的R(t)R(t)T 是一个反对称矩阵,会有一个唯一向量对应

三维向量 φ(t)∈R3 与之对应

带入同乘R(t),有

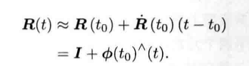
把R(t)在t=0附近进行一阶泰勒展开

φ反映了R的导数性质,故称它在SO(3)原点附近的正切空间,设φ保持为常数 φ(t0)=φ0,有

有初始值R(0)=I,解得

这样,旋转矩阵可以由exp(φ0^t) 计算出来。
1.3 李代数的定义
每个李群都有与之对应的李代数。李代数描述了李群的局部性质,准确地说,是单位元附近的正切空间。一般的李代数的定义如下:李代数由一个集合V、一个数域F和一个二元运算[,]组成。如果它们满足以下几条性质,则称(V,F,[,])为一个李代数,记作g。
1.封闭性VX, Y∈V , [X,Y]∈V .
2.双线性VX,Y Z∈V a, b∈F ,有[aX+bY,Z]=a[X,Z]+b[Y,Z] , [Z,aX+bY]=a[Z,X]+b[Z,Y] .
3.自反性 X∈V , [X,X]=0 .
4.雅可比等价VX,Y Z∈V [X,[Y,Z]]+[Z,[X,Y]]+[Y,[Z,X]]=0.
其中二元运算被称为李括号。
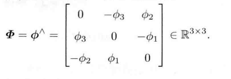
1.4 李代数SO(3)
之前提到的,事实上是一种李代数。SO(3)对应的李代数是定义在R3上的向量,我们记作φ。根据前面的推导,每个φ都可以生成一个反对称矩阵:

在此定义下,两个向量φ1,φ2的李括号为

我们可以说so(3)的元素是三维向量或者三维反对称矩阵

1.5 李代数SE(3)
对于SE(3),它也有对应的李代数se(3)。

把每个se(3)元素记作,它是一个六维向量。前三维为平移(但含义与变换矩阵中的平移不同,分析见后),记作p;后三维为旋转,记作,实质上是so(3)元素 。同时,我们拓展了 ^ 符号的含义。在se(3)中,同样使用^符号,将一个六维向量转换成四维矩阵,但这里不再表
示反对称:


二、指数与对数映射
2.1 SO(3)上的指数映射
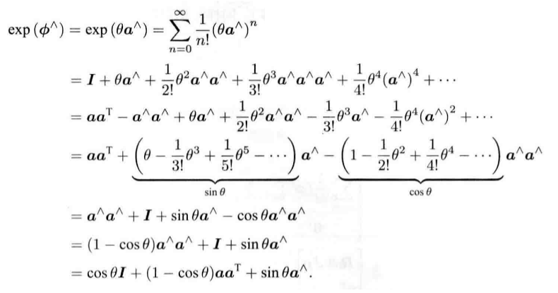
exp(φ^)显然它是一个矩阵的指数,在李群和李代数中,
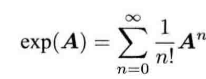
称为指数映射(ExponentialMap)。任意矩阵的指数映射可以写成一个泰勒展开,但是只有在收敛的情况下才会有结果,其结果仍是一个矩阵:

同样地,对so(3)中的任意元素,我们也可按此方式定义它的指数映射:

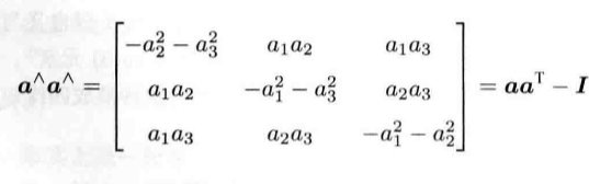
由于是三维向量,我们可以定义它的模长和方向,分别记作θ和a,于是有φ=θa。 这里a是一个长度为1的方向向量,即||a||=1。首先,对于a^,有以下两条性质:


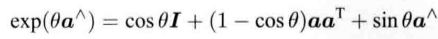
那么就可以把指数映射写成

最后得到

我们把so(3)中任意一个向量对应到了一个位于SO(3)中的旋转矩阵。反之,如果定义对数映射,也能把SO(3)中的
元素对应到so(3)中:

因为旋转360°和没有转是一样的,把旋转角度固定在±π之间,那么李群和李代数元素是一一对应的。
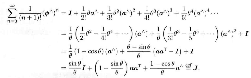
2.2 SE(3)上的指数映射
se(3)上的指数映射形式如下:

把exp进行泰勒展开推导此式。令 φ=θa ,其中a为单位向量,则


右上角的t满足:

李群和李代数总的对应关系如下:

三、李代数求导与扰动模型
3.1 BCH公式与近似形式
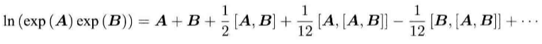
两个李代数指数映射乘积的完整形式,由Baker-Campbell-
Hausdorff公式(BCH公式)给出。由于其完整形式较复杂,我们只给出其展开式的前几项:

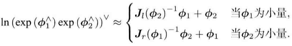
其中[]为李括号。BCH公式告诉我们,当处理两个矩阵指数之积时,它们会产生一些由李括号组成的余项。当φ为小量时,小量二次以上的项都可以被忽略。此时,BCH拥有线性近似表达:

以第一个近似为例。该式告诉我们,当对一个旋转矩阵 R2 (李代数为转矩阵R1(李代数为φ1)时,可以近似地看作,在原有的李数左乘一个微小旋上加上了一项 Jl(φ2)(-1)φ1。同理,第二个近似描述了右乘一个微小位移的情况。于是,李代数在BCH近似下,分成了左乘近似和右乘近似两种,在使用时我们须注意使用的是左乘模型还是右乘模型,以左乘为例。左乘BCH近似雅可比J:

它的逆就是

如果右乘雅可比只需要对自变量取负号即可:

李群乘法:假定对某个旋转R,对应的李代数为φ,我们给它左乘一个微小旋转,记作△R,对应的李代数为△φ。那么,在李群上,得到的结果就是△R·R,而在李代数上,根据BCH近似,为为Jl(φ)(-1)△φ+φ。合并起来,可以简单地写成:

李群加法:在李代数上进行加法,让一个φ加上△φ,那么可以近似为李群上带左右雅可比的乘法:

3.2 SO(3)上的李代数求导
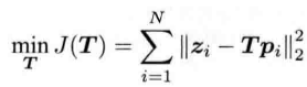
在SLAM中,我们要估计一个相机的位置和姿态,该位姿是由SO(3)上的旋转矩阵或SE(3)上的变换矩阵描述的。不妨设某个时刻小萝卜的位姿为T。它观察到了一个世界坐标位于p的点,产生了一个观测数据z。那么,由坐标变换关系知:

其中w为随机噪声。由于它的存在,z往往不可能精确地满足z=Tp的关系。所以,我们通常会计算理想的观测与实际数据的误差:

假设一共有N个这样的路标点和观测,于是就有N个上式。那么,对小萝卜进行位姿估计,相当于寻找一个最优的T,使得整体误差最小化:

使用李代数解决求导问题的思路分为两种:
1.用李代数表示姿态,然后根据李代数加法对李代数求导。
2.对李群左乘或右乘微小扰动,然后对该扰动求导,称为左扰动和右扰动模型。
第一种方式对应到李代数的求导模型,而第二种方式则对应到扰动模型。
3.2 李代数求导
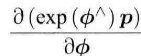
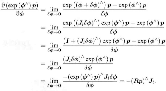
首先,考虑SO(3)上的情况。假设我们对一个空间点p进行了旋转,得到了Rp。现在,要计算旋转之后点的坐标相对于旋转的导数,我们非正式地记为

由于SO(3)没有加法,所以该导数无法按照导数的定义进行计算。设R对应的李代数为φ,我们转而计算:

按照导数的定义,有

通过BCH线性近似、泰勒展开近似和反对称矩阵,可以推导出旋转后的点相对于李代数的导数:

这里的雅可比还是有点复杂,扰动模型提供了更简单的导数计算方式。
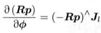
3.3 扰动模型(左乘)
另一种求导方式是对R进行一次扰动△R,看结果相对于扰动的变化率。这个扰动可以乘在左边也可以乘在右边,最后结果会有一点儿微小的差异,我们以左扰动为例。设左扰动△R对应的李代数为 φ。然后,对φ求导,即


相比于李代数求导,这样就不用计算雅可比了。
3.4 E(3)上的李代数求导
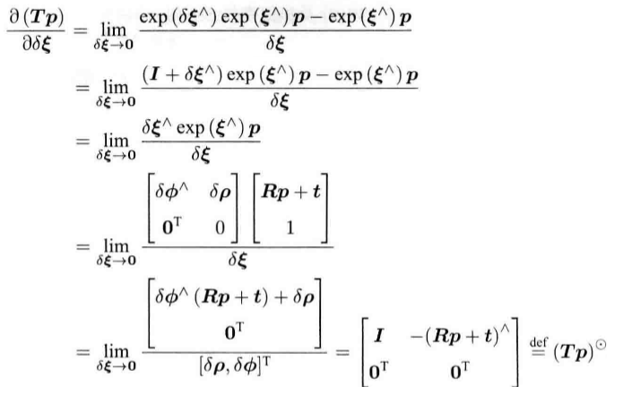
最后,给出SE(3)上的扰动模型,假设某空间点p经过一次变换T(对应李代数为ξ),得到 Tp 。现在,给T左乘一个扰△T=exp(δξ^ ),我们设扰动项的李代数为 δξ=[δρ,δφ]^T ,那么:

把最后的结果定义成一个算符⊙,它把一个齐次坐标的空间点变换成一个 4*6 的矩阵。此式稍微需要解释的是矩阵求导方面的顺序,假设a,b,x,y都是列向量,那么在我们的符号
写法下,有如下的规则:

例子:评估轨迹的误差
误差指标可以有很多种,常见的有绝对轨迹误差(AbsoluteTrajectoryError,ATE),形如:

这实际上是每个位姿李代数的均方根误差(Root-Mean-SquaredError,RMSE)。这种误差可以刻
画两条轨迹的旋转和平移误差。同时,也有的文献仅考虑平移误差,从而可以定义绝对平移误差(Average Translational Error ):

其中trans表示取括号内部变量的平移部分。因为从整条轨迹上看,旋转出现误差后,随后的轨迹在平移上也会出现误差,所以两种指标在实际中都适用。
除此之外,也可以定义相对的误差。例如,考虑i时刻到 i+Δt 时刻的运动,那么相对位姿误差(Relative Pose Error,RPE)可定义为

同样地,也可只取平移部分

四、似变换群与李代数
如果在单目SLAM中使用SE(3)表示位姿,那么由于尺度不确定性与尺度漂移,整个SLAM过程中的尺度会发生变化,这在SE(3)中未能体现出来。因此,在单目情况下我们一般会显式地把尺度因子表达出来。用数学语言来说,对于位于空间的点p,在相机坐标系下要经过一个相似变换,而非欧氏变换:

与SO(3)、SE(3)相似,相似变换也对矩阵乘法构成群,称为相似变换群Sim(3):

同样地,Sim(3)也有对应的李代数、指数映射、对数映射等。李代数sim(3)元素是一个7维向量。它的前6维与se(3)相同,最后多了一项。

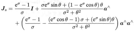
它比se(3)多了一项。关联Sim(3)和 sin(3) 的仍是指数映射和对数映射。指数映射为

其中,Js的形式为

通过指数映射,我们能够找到李代数与李群的关系。对于李代数,它与李群的对应关系为

转部分和SO(3)是一致的。平移部分,在se(3)中需要乘一个雅可比,而相似变换的雅可比更复杂。对于尺度因子,可以看到李群中的s即为李代数中的指数函数。
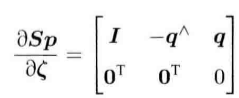
一个点p经过相似变换Sp后,相对于S的导数,存在微分模型和扰动模型两种方式,而扰动模型较为简单。设给予Sp左侧一个小扰动exp(),并求Sp对于扰动的导数。因为Sp是4维的齐次坐标,ζ是7维向量,所以该导数应该是 4*7 的雅可比。方便起见,记Sp的前3维组成向量为q,那么:

790

被折叠的 条评论
为什么被折叠?



