0 学习视频
1 什么是计算机图形学
1.1 什么是好的画面?
画面足够亮。如果全局光照做的好,整个画面就会亮,看起来很舒服。
1.2 计算机图形学涉及到的领域
- 数学(透视)投影、曲线,表面
- 物理的照明和阴影
- 表示/操作3D中的形状
- 动画/仿真
硬件编程/写3D应用
1.3 为什么学计算机图形学?
- 创造并与真实虚拟世界交互
- 需要理解物理世界的所有方面
- 产生新的计算方法,展示方式,技术
1.4 计算机图形学的应用领域
- Video Games(游戏):不同的游戏风格。
- Movies(电影):特效是最简单的图形学应用。
- Animations(动画):模拟动画中的动效粒子、毛发等。
- Design(设计):灵活的设计效果和交互效果。
- Visualization(可视化):操纵可视化的信息变为视觉信息。
- Virtual Reality(虚拟现实):将现实中的一切放入VR眼镜。
- Digital Illustration(板绘):2D的笔触呈现3D的画面。
- Simulation(模拟):模拟一些常见的自然现象。
- GUI(Graphical User Interfaces,图形用户界面):使用图形的方式与用户交互。
- Typography(字体):矢量的字体可无线放大而不模糊。
1.5 课程概要
-
Rasterization:光栅化
-
定义:把三维空间中的几何形体显示在屏幕上。
-
实时——每秒钟能够生成30幅画面/帧/FPS(Frame Per Second)
否则是离线。
-
-
Curves and Meshes:曲线和网格
- 如何表示一条光滑的曲线,如何表示曲面,如何用简单的曲面通过细分的方法表现更复杂的曲面,如何保证图形的拓扑结构
-
Ray Tracing:光线追踪
- 动画和电影中着重使用,虽然慢,但效果好
- trade off:为了达成既定的效果,不得不牺牲某些东西
-
Animation/Simulation:动画/仿真
- 关键帧动画
- 弹簧-滑块系统
1.6 计算机视觉(CV) VS 计算机图形学(CG)

1.7 IDE(Integrated Development Environment)集成开发环境
-
推荐的:
- VS/VS Code
- Qt Creator
-
不推荐的:
- CLion,Eclipse
- Sublime Text,Vi/Vim,Emacs(编辑器)
1.8 图形学依赖学科
图形学依赖于:
- 基础数学
- 线性代数
- 微积分
- 统计
- 基础物理
- 光学
- 力学
- 其他
- 信号处理
- 数值分析
- 还有一些美学
2 线性代数
- 向量(点乘、叉乘……)
- 空间中表示一个点就是一种向量表示法
- 矩阵(矩阵和矩阵乘、矩阵和向量乘)
- 像平移、旋转、缩放一个物体的操作可以转化为矩阵与向量的乘
2.1 向量(Vectors)
2.1.1 向量的基本知识
-
数学上习惯称为向量,物理上习惯称为矢量
-
表示:
- a ⃗ \vec{a} a 或 a

- 终点向量-起始向量: A B ⃗ \vec{AB} AB = B - A
-
两个基本要素:方向、大小(长度)
-
没有绝对的起始位置
2.1.2 向量的正则化(Vector Normalization)
- 向量的长度写作 ∣ ∣ a ⃗ ∣ ∣ ||\vec a|| ∣∣a∣∣
- 单位向量
- 长度为1的向量
- 得到一个向量的单位向量(正则化/归一化/标准化): a ^ \widehat{a} a = a ⃗ \vec{a} a / ∣ ∣ a ⃗ ∣ ∣ ||\vec a|| ∣∣a∣∣
- 用于表示方向
2.1.3 向量的加法(Vector Addition)

- 几何:平行四边形法则 & 三角形法则
- 代数:只需简单地加向量坐标即可
2.1.3.1 笛卡尔坐标(Cartesian Coordinates)

- X和Y可以是任何(通常是正交的单位)向量
A = ( x y ) A = \left(\begin {array}{c} x \\ y \\ \end{array}\right) A=(xy) A T = ( x , y ) A^T= \left(\begin {array}{c} x,y \end{array}\right) AT=(x,y) ∣ ∣ a ⃗ ∣ ∣ = x 2 + y 2 ||\vec a|| = \sqrt{x^2+y^2} ∣∣a∣∣=x2+y2
2.1.4 向量的乘法(Vector Multiplication)
2.1.4.1 点乘(Dot(scalar) Product):得到一个标量(数)

a ⃗ ⋅ b ⃗ = ∣ ∣ a ⃗ ∣ ∣ ∣ ∣ b ⃗ ∣ ∣ cos θ \vec{a} \cdot \vec{b} = ||\vec a||||\vec b||\cos\theta a⋅b=∣∣a∣∣∣∣b∣∣cosθ
cos θ = a ⃗ ⋅ b ⃗ ∣ ∣ a ⃗ ∣ ∣ ∣ ∣ b ⃗ ∣ ∣ \cos\theta = \frac{\vec{a} \cdot \vec{b}}{||\vec a||||\vec b||} cosθ=∣∣a∣∣∣∣b∣∣a⋅b
-
对于单位向量:
- cos θ = a ^ ⋅ b ^ \cos\theta = \widehat{a}\cdot \widehat{b} cosθ=a ⋅b
-
性质:
- 交换律: a ⃗ ⋅ b ⃗ = b ⃗ ⋅ a ⃗ \vec{a} \cdot \vec{b} = \vec{b} \cdot \vec{a} a⋅b=b⋅a
- 结合律: a ⃗ ⋅ ( b ⃗ + c ⃗ ) = a ⃗ ⋅ b ⃗ + a ⃗ ⋅ c ⃗ \vec{a} \cdot (\vec{b} + \vec{c}) = \vec{a} \cdot \vec{b} + \vec{a} \cdot \vec{c} a⋅(b+c)=a⋅b+a⋅c
- 分配律: ( k a ⃗ ) ⋅ b ⃗ = a ⃗ ⋅ ( k b ⃗ ) = k ( a ⃗ ⋅ b ⃗ ) (k\vec{a}) \cdot \vec{b} = \vec{a} \cdot (k\vec{b}) = k(\vec{a} \cdot \vec{b}) (ka)⋅b=a⋅(kb)=k(a⋅b)
2.1.4.1.1 笛卡尔坐标系中的点乘
-
对应元素相乘,然后相加
-
2D
a ⃗ ⋅ b ⃗ = ( x a y a ) ⋅ ( x b y b ) = x a ⋅ x b + y a ⋅ y b \vec{a} \cdot \vec{b} = \left(\begin {array}{c} x_a \\ y_a \\ \end{array}\right)\cdot\left(\begin {array}{c} x_b \\ y_b \\ \end{array}\right)=x_a\cdot x_b + y_a \cdot y_b a⋅b=(xaya)⋅(xbyb)=xa⋅xb+ya⋅yb
-
3D
a ⃗ ⋅ b ⃗ = ( x a y a z a ) ⋅ ( x b y b z b ) = x a ⋅ x b + y a ⋅ y b + z a ⋅ z b \vec{a} \cdot \vec{b} = \left(\begin {array}{c} x_a \\ y_a \\ z_a \\ \end{array}\right)\cdot\left(\begin {array}{c} x_b \\ y_b \\ z_b \\ \end{array}\right)=x_a\cdot x_b + y_a \cdot y_b + z_a \cdot z_b a⋅b= xayaza ⋅ xbybzb =xa⋅xb+ya⋅yb+za⋅zb
-
2.1.4.1.2 图形学中的点乘
-
点乘用来得到两个向量间的夹角。
- 如,光源和表面间夹角的余弦值
-
点乘用来得到一个向量在另一个向量上的投影。
-
点乘用来测量两个方向/向量有多接近。
- 金属反光的高光范围
-
分解向量。
-
确定前/后方向:点乘的正负。
2.1.4.1.2.1 点乘用来计算投影

-
b
⃗
⊥
\vec{b}_\bot
b⊥:
b
⃗
\vec{b}
b 在
a
⃗
\vec{a}
a 上的投影
-
b
⃗
⊥
\vec{b}_\bot
b⊥ 必须沿着
a
⃗
\vec{a}
a(或沿着
a
^
\widehat{a}
a
)
- b ⃗ ⊥ = k a ^ \vec{b}_\bot = k\widehat{a} b⊥=ka
- 它的长度k是多少?
- k = ∣ ∣ b ⃗ ⊥ ∣ ∣ = ∣ ∣ b ⃗ ∣ ∣ cos θ k= ||\vec{b}_\bot||= ||\vec{b}||\cos\theta k=∣∣b⊥∣∣=∣∣b∣∣cosθ
-
b
⃗
⊥
\vec{b}_\bot
b⊥ 必须沿着
a
⃗
\vec{a}
a(或沿着
a
^
\widehat{a}
a
)
2.1.4.2 叉乘(Cross(vector) Product):得到一个向量

- 叉乘计算出的向量与两个初始向量正交
- 由右手定则确定的方向(点赞:四指表示从a到b,得到拇指的方向就是叉乘结果的方向)
- 在后来用于构造3D坐标系
性质(右手坐标系):
x
⃗
×
y
⃗
=
+
z
⃗
\vec{x}\times\vec{y}=+\vec{z}
x×y=+z
y
⃗
×
x
⃗
=
−
z
⃗
\vec{y}\times\vec{x}=-\vec{z}
y×x=−z
y
⃗
×
z
⃗
=
+
x
⃗
\vec{y}\times\vec{z}=+\vec{x}
y×z=+x
z
⃗
×
y
⃗
=
−
x
⃗
\vec{z}\times\vec{y}=-\vec{x}
z×y=−x
z
⃗
×
x
⃗
=
+
y
⃗
\vec{z}\times\vec{x}=+\vec{y}
z×x=+y
x
⃗
×
z
⃗
=
−
y
⃗
\vec{x}\times\vec{z}=-\vec{y}
x×z=−y
注: 一些API如OpenGL中用的是左手坐标系
叉乘没有交换律,要添一个负号:
a ⃗ × b ⃗ = − b ⃗ × a ⃗ \vec{a}\times\vec{b}=-\vec{b}\times\vec{a} a×b=−b×a
自身叉乘自身得到长度为0的向量:
a ⃗ × a ⃗ = 0 \vec{a}\times\vec{a}=0 a×a=0
叉乘依然满足分配律和结合律:
( k a ⃗ ) × b ⃗ = a ⃗ × ( k b ⃗ ) = k ( a ⃗ × b ⃗ ) (k\vec{a}) \times \vec{b} = \vec{a} \times (k\vec{b}) = k(\vec{a} \times \vec{b}) (ka)×b=a×(kb)=k(a×b)
a ⃗ × ( b ⃗ + c ⃗ ) = a ⃗ × b ⃗ + a ⃗ × c ⃗ \vec{a} \times (\vec{b} + \vec{c}) = \vec{a} \times \vec{b} + \vec{a} \times \vec{c} a×(b+c)=a×b+a×c
2.1.4.2.1 笛卡尔坐标系中的叉乘
a ⃗ × b ⃗ = ( y a z b − y b z a z a x b − x a z b x a y b − y a x b ) \vec{a}\times\vec{b}= \left(\begin {array}{c} y_az_b- y_bz_a\\ z_ax_b- x_az_b \\ x_ay_b- y_ax_b \\ \end{array}\right) a×b= yazb−ybzazaxb−xazbxayb−yaxb
向量可以用矩阵形式表示
a ⃗ × b ⃗ = A ∗ b = ( 0 − z a y a z a 0 − x a − y a x a 0 ) ( x b y b z b ) \vec{a}\times\vec{b}=A*b= \left(\begin {array}{c} 0 & -z_a & y_a\\ z_a & 0&-x_a \\ -y_a &x_a&0\\ \end{array}\right)\left(\begin {array}{c} x_b\\ y_b \\ z_b \\ \end{array}\right) a×b=A∗b= 0za−ya−za0xaya−xa0 xbybzb
2.1.4.2.2 图形学中的叉乘

- 确定左/右方向
-

-
判定b在a的左侧还是右侧:b叉乘a:(右手螺旋定则,朝下)负值:a在b的右侧,b在a的左侧
- √ a向左旋转得到b(逆时针旋转):b在a的左侧
- a向右旋转得到b(顺时针旋转):b在a的右侧
-
- 确定内部/外部
-

-
判定P是否在三角形内部:内部
- AB叉乘AP(右手螺旋定则,朝外):P在AB的左侧
- BC叉乘BP(右手螺旋定则,朝外):P在BC的左侧
- CA叉乘CP(右手螺旋定则,朝外):P在CA的左侧
-
2.1.4.2.2.1正交基础/坐标系
- 重要的是代表点、坐标、位置
- 通常,有多组坐标系
- 全局,局部,世界,模型,模型的一个部分(头,手……)
- 关键问题是在这些系统/基础间如何转换
2.1.4.2.2.2 正交坐标系
-
3D中的任何3个向量
∣ ∣ u ⃗ ∣ ∣ = ∣ ∣ v ⃗ ∣ ∣ = ∣ ∣ w ⃗ ∣ ∣ = 1 ||\vec{u}||=||\vec{v}||=||\vec{w}||=1 ∣∣u∣∣=∣∣v∣∣=∣∣w∣∣=1
u ⃗ ⋅ v ⃗ = v ⃗ ⋅ w ⃗ = u ⃗ ⋅ w ⃗ = 0 \vec{u} \cdot \vec{v}=\vec{v} \cdot \vec{w}=\vec{u} \cdot \vec{w}=0 u⋅v=v⋅w=u⋅w=0
w ⃗ = u ⃗ × v ⃗ \vec{w} =\vec{u} \times \vec{v} w=u×v(右手坐标系)
利用投影(点乘)进行向量的分解:
p ⃗ = ( p ⃗ ⋅ u ⃗ ) u ⃗ + ( p ⃗ ⋅ v ⃗ ) v ⃗ + ( p ⃗ ⋅ w ⃗ ) w ⃗ \vec{p} =(\vec{p}\cdot\vec{u})\vec{u}+(\vec{p}\cdot\vec{v})\vec{v}+(\vec{p}\cdot\vec{w})\vec{w} p=(p⋅u)u+(p⋅v)v+(p⋅w)w
2.2 矩阵(Matrices)
- 图形学中普遍用于表示变换(transformations)
- 平移、旋转、缩放、错切
2.2.1 什么是矩阵
-
带有数字的数组(m × n:m行,n列)
- 一个3×2的矩阵:
( 1 3 5 2 0 4 ) \left(\begin {array}{c} 1 & 3\\ 5 & 2 \\ 0 &4\\ \end{array}\right) 150324
-
矩阵的乘法和加法都是很简单的:对每个元素操作即可
2.2.1.1 矩阵-矩阵乘法
-
矩阵A的列数必须和矩阵B的行数相等
( M × N ) ( N × P ) = ( M × P ) (M\times N)(N\times P)=(M\times P) (M×N)(N×P)=(M×P)
( 1 3 5 2 0 4 ) ( 3 6 9 4 2 7 8 3 ) = ( 9 27 33 13 19 44 61 26 8 28 32 12 ) \left(\begin {array}{c} 1 & 3\\ 5 & 2 \\ 0 &4\\ \end{array}\right)\left(\begin {array}{c} 3 & 6 & 9 & 4\\ 2 & 7 & 8 & 3 \\ \end{array}\right)=\left(\begin {array}{c} 9 & 27 & 33 & 13\\ 19 & 44 & 61 & 26 \\ 8 & 28 & 32 & 12 \\ \end{array}\right) 150324 (32679843)= 9198274428336132132612
-
乘积中元素 (i,j) 是矩阵A的第i行和矩阵B的第 j 列相点乘
-
性质
-
不满足交换律( A B AB AB和 B A BA BA通常不同)
-
结合律和分配律
( A B ) C = A ( B C ) (AB)C=A(BC) (AB)C=A(BC)
A ( B + C ) = A B + A C A(B+C)=AB+AC A(B+C)=AB+AC
( A + B ) C = A C + B C (A+B)C=AC+BC (A+B)C=AC+BC
-
2.2.2.2 矩阵-向量乘法
-
将向量当成是一个一列的矩阵(m×1)
-
变换顶点的关键
-
2D中关于y轴对称操作(镜像)
( − 1 0 0 1 ) ( x y ) = ( − x y ) \left(\begin {array}{c} -1 & 0\\ 0 & 1 \\ \end{array}\right)\left(\begin {array}{c} x \\ y \\ \end{array}\right)=\left(\begin {array}{c} -x \\ y \\ \end{array}\right) (−1001)(xy)=(−xy)
2.2.2.3 矩阵的转置(Transpose of a Matrix)
-
交换行和列(ij→ji)
( 1 2 3 4 5 6 ) T = ( 1 3 5 2 4 6 ) \left(\begin {array}{c} 1 & 2\\ 3 & 4 \\ 5 &6\\ \end{array}\right)^T=\left(\begin {array}{c} 1 & 3 & 5\\ 2 & 4 &6\\ \end{array}\right) 135246 T=(123456)
-
性质(乘积的转置=位置调换后分别转置再相乘)
( A B ) T = B T A T (AB)^T=B^TA^T (AB)T=BTAT
2.2.2.4 单位矩阵和逆矩阵
单位矩阵:对角阵(只有对角线上是非0数)
I 3 × 3 = ( 1 0 0 0 1 0 0 0 1 ) I_{3\times3}=\left(\begin {array}{c} 1 & 0 & 0\\ 0 & 1 & 0\\ 0 & 0 & 1\\ \end{array}\right) I3×3= 100010001
逆矩阵的性质与转置矩阵的性质类似。
A A − 1 = A − 1 A = I AA^{-1}=A^{-1}A=I AA−1=A−1A=I
A B − 1 = B − 1 A − 1 AB^{-1}=B^{-1}A^{-1} AB−1=B−1A−1
2.2.2.5 矩阵形式的向量乘法
-
点乘
a ⃗ ⋅ b ⃗ = a ⃗ T b ⃗ = ( x a y a z a ) ( x b y b z b ) = ( x a x b + y a y b + z a z b ) \vec{a} \cdot \vec{b}=\vec{a} ^T \vec{b}=\left(\begin {array}{c} x_a & y_a & z_a\\ \end{array}\right)\left(\begin {array}{c} x_b \\ y_b \\ z_b \\ \end{array}\right)=(x_ax_b+y_ay_b+z_az_b) a⋅b=aTb=(xayaza) xbybzb =(xaxb+yayb+zazb)
-
叉乘(向量a写成A*)
a ⃗ × b ⃗ = A ∗ b ⃗ = ( 0 − z a y a z a 0 − x a − y a x a 0 ) ( x b y b z b ) \vec{a} \times \vec{b}=A*\vec{b}=\left(\begin {array}{c} 0 & -z_a & y_a\\ z_a & 0 & -x_a\\ -y_a & x_a & 0\\ \end{array}\right)\left(\begin {array}{c} x_b \\ y_b \\ z_b \\ \end{array}\right) a×b=A∗b= 0za−ya−za0xaya−xa0 xbybzb
2.3 变换
2.3.1 为什么学习变换
- 模型变换(Modeling):translation,rotation,scaling
- 视图变换(Viewing):(3D到2D)投影变换
2.3.2 2D中的变换:缩放,旋转,平移
齐次坐标系下:
Scale:
S
(
s
x
,
s
y
)
=
(
s
x
0
0
0
s
y
0
0
0
1
)
S(s_x,s_y)=\left(\begin {array}{c} s_x & 0 & 0\\ 0 & s_y & 0\\ 0 & 0 & 1\\ \end{array}\right)
S(sx,sy)=
sx000sy0001
Rotation: R ( α ) = ( cos α − sin α 0 sin α cos α 0 0 0 1 ) R(\alpha)=\left(\begin {array}{c} \cos\alpha & -\sin\alpha & 0\\ \sin\alpha & \cos\alpha & 0\\ 0 & 0 & 1\\ \end{array}\right) R(α)= cosαsinα0−sinαcosα0001
Translation: T ( t x , t y ) = ( 1 0 t x 0 1 t y 0 0 1 ) T(t_x,t_y)=\left(\begin {array}{c} 1 & 0 & t_x\\ 0 & 1 & t_y\\ 0 & 0 & 1\\ \end{array}\right) T(tx,ty)= 100010txty1
- 用矩阵表示变换
2.3.2.1 缩放变换(Scale)
2.3.2.1.1 均匀缩放

x
′
=
s
x
x\prime=sx
x′=sx
y ′ = s y y\prime=sy y′=sy
[ x ′ y ′ ] = [ s 0 0 s ] [ x y ] \left[\begin {array}{c} x\prime \\ y\prime \\ \end{array}\right]=\left[\begin {array}{c} s & 0 \\ 0 & s\\ \end{array}\right]\left[\begin {array}{c} x\\ y\\ \end{array}\right] [x′y′]=[s00s][xy]
其中, [ s 0 0 s ] \left[\begin {array}{c} s & 0 \\ 0 & s\\ \end{array}\right] [s00s]是缩放矩阵。
2.3.2.1.2 非均匀缩放

[ x ′ y ′ ] = [ s x 0 0 s y ] [ x y ] \left[\begin {array}{c} x\prime \\ y\prime \\ \end{array}\right]=\left[\begin {array}{c} s_x & 0 \\ 0 & s_y\\ \end{array}\right]\left[\begin {array}{c} x\\ y\\ \end{array}\right] [x′y′]=[sx00sy][xy]
2.3.2.2 对称矩阵变换

水平翻转:
x
′
=
−
x
x\prime=-x
x′=−x
y ′ = y y\prime=y y′=y
[ x ′ y ′ ] = [ − 1 0 0 1 ] [ x y ] \left[\begin {array}{c} x\prime \\ y\prime \\ \end{array}\right]=\left[\begin {array}{c} -1 & 0 \\ 0 & 1\\ \end{array}\right]\left[\begin {array}{c} x\\ y\\ \end{array}\right] [x′y′]=[−1001][xy]
2.3.2.3 错切矩阵变换

- y = 0 y=0 y=0时,水平位移为0
- y = 1 y=1 y=1时,水平位移为a
- 垂直方向偏移始终为0
[ x ′ y ′ ] = [ 1 a 0 1 ] [ x y ] \left[\begin {array}{c} x\prime \\ y\prime \\ \end{array}\right]=\left[\begin {array}{c} 1 & a \\ 0 & 1\\ \end{array}\right]\left[\begin {array}{c} x\\ y\\ \end{array}\right] [x′y′]=[10a1][xy]
2.3.2.4 2D的旋转变换
默认关于原点逆时针旋转

R θ = [ cos θ − sin θ sin θ cos θ ] R_\theta=\left[\begin {array}{c} \cos\theta & -\sin\theta \\ \sin\theta & \cos\theta\\ \end{array}\right] Rθ=[cosθsinθ−sinθcosθ]
推导过程:

旋转-θ°:

如果一个矩阵的逆等于它的转置,则称该矩阵为正交矩阵。
2.3.2.5 线性变换=矩阵变换(相同维度)
x ′ = a x + b y x\prime=ax+by x′=ax+by
y ′ = c x + d y y\prime=cx+dy y′=cx+dy
[ x ′ y ′ ] = [ a b c d ] [ x y ] \left[\begin {array}{c} x\prime\\ y\prime\\ \end{array}\right]=\left[\begin {array}{c} a&b\\ c&d\\ \end{array}\right]\left[\begin {array}{c} x\\ y\\ \end{array}\right] [x′y′]=[acbd][xy]
x ′ = M x x\prime=Mx x′=Mx
2.3.3 齐次坐标系(Homogeneous coordinates)
2.3.3.1 为什么要用齐次坐标系
平移变换:

x
′
=
x
+
t
x
x\prime=x+t_x
x′=x+tx
y ′ = y + t y y\prime=y+t_y y′=y+ty
上述变换不能用矩阵形式表示。因此,平移变换不是线性变换,但是我们却不希望平移变换被当成特殊的情况考虑。
[ x ′ y ′ ] = [ a b c d ] [ x y ] + [ t x t y ] \left[\begin {array}{c} x\prime\\ y\prime\\ \end{array}\right]=\left[\begin {array}{c} a&b\\ c&d\\ \end{array}\right]\left[\begin {array}{c} x\\ y\\ \end{array}\right]+\left[\begin {array}{c} t_x\\ t_y\\ \end{array}\right] [x′y′]=[acbd][xy]+[txty]
2.3.3.2 解决办法:齐次坐标
添加一个维度(w维):
- 二维的顶点 = ( x , y , 1 ) T 二维的顶点=(x,y,1)^T 二维的顶点=(x,y,1)T
- 二维的向量 = ( x , y , 0 ) T 二维的向量=(x,y,0)^T 二维的向量=(x,y,0)T
向量具有平移不变性。加0是为了保护它。
如果结果为1或0,则为有效操作
- v e c t o r + v e c t o r = v e c t o r vector+vector=vector vector+vector=vector
- p o i n t − p o i n t = v e c t o r point-point=vector point−point=vector
- p o i n t + v e c t o r = v e c t o r point+vector=vector point+vector=vector
-
p
o
i
n
t
+
p
o
i
n
t
=
?
?
point+point=??
point+point=??
- p o i n t + p o i n t = 两点中点 point+point=两点中点 point+point=两点中点
2.3.3.3 平移变换的矩阵表示
( x ′ y ′ w ′ ) = ( 1 0 t x 0 1 t y 0 0 1 ) ⋅ ( x y 1 ) = ( x + t x y + t y 1 ) \left(\begin {array}{c} x\prime\\ y\prime\\ w\prime\\ \end{array}\right)=\left(\begin {array}{c} 1&0&t_x\\ 0&1&t_y\\ 0&0&1\\ \end{array}\right)\cdot\left(\begin {array}{c} x\\ y\\ 1\\ \end{array}\right)=\left(\begin {array}{c} x+t_x\\ y+t_y\\ 1\\ \end{array}\right) x′y′w′ = 100010txty1 ⋅ xy1 = x+txy+ty1
2.3.3.4 在齐次坐标系中
( x y w ) \left(\begin {array}{c} x\\ y\\ w\\ \end{array}\right) xyw 表示二维中的点 ( x / w y / w 1 ) , w ≠ 0 \left(\begin {array}{c} x/w\\ y/w\\ 1\\ \end{array}\right),w≠0 x/wy/w1 ,w=0
2.3.3.5 仿射变换
仿射映射=线性映射+平移
( x ′ y ′ ) = ( a b c d ) ⋅ ( x y ) + ( t x t y ) \left(\begin {array}{c} x\prime\\ y\prime\\ \end{array}\right)=\left(\begin {array}{c} a&b\\ c&d\\ \end{array}\right)\cdot\left(\begin {array}{c} x\\ y\\ \end{array}\right)+\left(\begin {array}{c} t_x\\ t_y\\ \end{array}\right) (x′y′)=(acbd)⋅(xy)+(txty)
仿射变换用齐次坐标形式表示:
( x ′ y ′ 1 ) = ( a b t x c d t y 0 0 1 ) ⋅ ( x y 1 ) \left(\begin {array}{c} x\prime\\ y\prime\\ 1\\ \end{array}\right)=\left(\begin {array}{c} a&b&t_x\\ c&d&t_y\\ 0&0&1\\ \end{array}\right)\cdot\left(\begin {array}{c} x\\ y\\ 1\\ \end{array}\right) x′y′1 = ac0bd0txty1 ⋅ xy1
仿射变换中变换矩阵的最后一行永远是0 0 1,平移参数永远是写在最后一列的前两个数
2.3.3.6 逆变换
M − 1 M^{-1} M−1是变换 M M M的逆变换,具有矩阵(逆矩阵)和几何(做了 M M M变换再做逆变换,相当于什么都没做)意义。

2.3.4 组合变换

先平移后旋转45°?

先旋转45°后平移!

-
所有变换都能够通过基本变换得到
-
变换的顺序很重要(矩阵乘法的顺序性)
-
即矩阵乘法不满足交换律
- R 45 ⋅ T ( 1 , 0 ) ≠ T ( 1 , 0 ) ⋅ R 45 R_{45}\cdot T_{(1,0)}≠T_{(1,0)}\cdot R_{45} R45⋅T(1,0)=T(1,0)⋅R45
-
操作顺序:先旋转(在目标矩阵左侧写旋转变换矩阵,得到的结果),后平移(在旋转得到的结果矩阵左侧写平移变换矩阵)
- 注意矩阵是从右向左逐个地应用的
T ( 1 , 0 ) ⋅ R 45 [ x y 1 ] = [ 1 0 1 0 1 0 0 0 1 ] [ cos 45 ° − sin 45 ° 0 sin 45 ° cos 45 ° 0 0 0 1 ] [ x y 1 ] T_{(1,0)}\cdot R_{45}\left[\begin {array}{c} x\\ y\\ 1\\ \end{array}\right]=\left[\begin {array}{c} 1&0&1\\ 0&1&0\\ 0&0&1\\ \end{array}\right]\left[\begin {array}{c} \cos45\degree&-\sin45\degree&0\\ \sin45\degree&\cos45\degree&0\\ 0&0&1\\ \end{array}\right]\left[\begin {array}{c} x\\ y\\ 1\\ \end{array}\right] T(1,0)⋅R45 xy1 = 100010101 cos45°sin45°0−sin45°cos45°0001 xy1
- 注意矩阵是从右向左逐个地应用的
-
2.3.4.1 组合变换的推广应用
仿射变换序列 A 1 , A 2 , A 3 , … A1,A2,A3,… A1,A2,A3,…
-
按矩阵乘法组合
-
对性能非常重要

-
矩阵乘法没有交换律,但是有结合律(先乘前面的矩阵,再乘上最后的矩阵)
-
2.3.4.2 分解复杂的组合变换
如何以任意一个点c为中心旋转?
- 将该中心点c转换为原点
- 旋转
- 平移回来(从原点移回c点)

矩阵表示:
T ( c ) ⋅ R ( α ) ⋅ T ( − c ) T(c)\cdot R(\alpha)\cdot T(-c) T(c)⋅R(α)⋅T(−c)
2.3.5 3D中的变换
同样引入齐次坐标:
- 三维的顶点 = ( x , y , z , 1 ) T 三维的顶点=(x,y,z,1)^T 三维的顶点=(x,y,z,1)T
- 三维的向量 = ( x , y , z , 0 ) T 三维的向量=(x,y,z,0)^T 三维的向量=(x,y,z,0)T
类似的, ( x , y , z , w ) ( w ≠ 0 ) (x,y,z,w)(w≠0) (x,y,z,w)(w=0)表示三维中的点 ( x / w , y / w , z / w ) (x/w,y/w,z/w) (x/w,y/w,z/w)
使用4×4的矩阵表示仿射变换:
( x ′ y ′ z ′ 1 ) = ( a b c t x d e f t y g h i t z 0 0 0 1 ) ⋅ ( x y z 1 ) \left(\begin {array}{c} x\prime\\ y\prime\\ z\prime\\ 1\\ \end{array}\right)=\left(\begin {array}{c} a&b&c&t_x\\ d&e&f&t_y\\ g&h&i&t_z\\ 0&0&0&1\\ \end{array}\right)\cdot\left(\begin {array}{c} x\\ y\\ z\\ 1\\ \end{array}\right) x′y′z′1 = adg0beh0cfi0txtytz1 ⋅ xyz1
仿射变换中变换矩阵的最后一行永远是0 0 0 1,平移参数永远是写在最后一列的前三个数。
2.3.5.1 顺序是怎样的?
先线性变换,再平移。
2.3.5.2 3D中的缩放、平移、旋转
齐次坐标系下:
Scale:
S
(
s
x
,
s
y
,
s
z
)
=
(
s
x
0
0
0
0
s
y
0
0
0
0
s
z
0
0
0
0
1
)
S(s_x,s_y,s_z)=\left(\begin {array}{c} s_x & 0 & 0&0\\ 0 & s_y & 0&0\\ 0 & 0 & s_z&0\\ 0 & 0 & 0&1\\ \end{array}\right)
S(sx,sy,sz)=
sx0000sy0000sz00001
Translation: T ( t x , t y , t z ) = ( 1 0 0 t x 0 1 0 t y 0 0 1 t y 0 0 0 1 ) T(t_x,t_y,t_z)=\left(\begin {array}{c} 1 & 0 & 0&t_x\\ 0 & 1 &0& t_y\\ 0 & 0&1 & t_y\\ 0 & 0 & 0&1\\ \end{array}\right) T(tx,ty,tz)= 100001000010txtyty1

Rotation:绕x轴、y轴、z轴旋转
R
x
(
α
)
=
(
1
0
0
0
0
cos
α
−
sin
α
0
0
sin
α
cos
α
0
0
0
0
1
)
R_x(\alpha)=\left(\begin {array}{c} 1 & 0 & 0&0\\ 0 & \cos\alpha & -\sin\alpha&0\\ 0 & \sin\alpha & \cos\alpha&0\\ 0 & 0 & 0&1\\ \end{array}\right)
Rx(α)=
10000cosαsinα00−sinαcosα00001
R y ( α ) = ( cos α 0 sin α 0 0 1 0 0 − sin α 0 cos α 0 0 0 0 1 ) R_y(\alpha)=\left(\begin {array}{c} \cos\alpha & 0 & \sin\alpha&0\\ 0 & 1 & 0&0\\ -\sin\alpha & 0 & \cos\alpha&0\\ 0 & 0 & 0&1\\ \end{array}\right) Ry(α)= cosα0−sinα00100sinα0cosα00001
R z ( α ) = ( cos α − sin α 0 0 sin α cos α 0 0 0 0 1 0 0 0 0 1 ) R_z(\alpha)=\left(\begin {array}{c} \cos\alpha & -\sin\alpha & 0&0\\ \sin\alpha & \cos\alpha & 0&0\\ 0 & 0 & 1&0\\ 0 & 0 & 0&1\\ \end{array}\right) Rz(α)= cosαsinα00−sinαcosα0000100001
z z z叉乘 x x x得到 y y y,而不是 x x x叉乘 z z z,因此 R y R_y Ry看起来与 R x R_x Rx、 R z R_z Rz有所不同。
2.3.5.3 3D旋转组合
根据 R x R_x Rx、 R y R_y Ry、 R z R_z Rz构造任意的3D旋转:
R x , y , z ( α , β , γ ) = R x ( α ) R y ( β ) R z ( γ ) R_{x,y,z}(\alpha,\beta,\gamma)=R_x(\alpha)R_y(\beta)R_z(\gamma) Rx,y,z(α,β,γ)=Rx(α)Ry(β)Rz(γ)
-
所谓的欧拉角
-
常用于飞行模拟器:滚动(roll)、俯仰(pitch)、偏航(yaw)

2.3.5.4 罗德里格斯旋转公式
2.3.5.4.1 绕n轴旋转α角

2.3.5.4.2 如何推导



2.3.6 观测变换(Viewing transformation)
2.3.6.1 视图/摄像机变换(View /Camera transformation)
2.3.6.1.1 什么是视图变换
想想怎么拍一张照片(mvp变换)
- 找一个好地方并把人员组织好(模型变换)
- 找一个好的“角度”架设摄像机(视图变换)
- 茄子!(投影变换)
2.3.6.1.2 如何表示视图变换
首先需要定义摄像机:
-
位置(Position) e ⃗ \vec{e} e
-
查看/凝视方向(Look-at / gaze direction) g ^ \widehat{g} g
-
向上方向(Up direction) t ^ \widehat{t} t
(假设是Perp模式去查看)

关键观测点(Key observation)
如果摄像机和所有的物体一起移动,那么“相片”都将是一样的

始终把摄像机视为:
-
处在原点,以y轴方向为向上方向,看向-z轴
-
其他物体跟随着相机移动

通过 M v i e w M_{view} Mview转换相机:
- 所以它处在原点,以 Y Y Y轴方向为向上方向,看向 − Z -Z −Z轴

M v i e w M_{view} Mview的数学表示:
M v i e w = R v i e w T v i e w M_{view}=R_{view}T_{view} Mview=RviewTview
-
将 e e e 转换为原点
T v i e w = [ 1 0 0 − x e 0 1 0 − y e 0 0 1 − z e 0 0 0 1 ] T{view}=\left[\begin {array}{c} 1 & 0 & 0&-x_e\\ 0 & 1 & 0&-y_e\\ 0 & 0 & 1&-z_e\\ 0 & 0 & 0&1\\ \end{array}\right] Tview= 100001000010−xe−ye−ze1 -
将 g g g 旋转到 − z -z −z
-
将 t t t 旋转到 y y y
-
将 ( g × t ) (g×t) (g×t) 旋转到 x x x

考虑其逆旋转: x x x 到 ( g × t ) (g×t) (g×t), y y y 到 t t t, z z z 到 − g -g −g
R v i e w − 1 = [ x g ^ × t ^ x t x − g 0 y g ^ × t ^ y t y − g 0 z g ^ × t ^ z t z − g 0 0 0 0 1 ] R^{-1}_{view}=\left[\begin {array}{c} x_{\widehat{g}\times \widehat{t}} & x_t & x_{-g}&0\\ y_{\widehat{g}\times \widehat{t}} & y_t & y_{-g}&0\\ z_{\widehat{g}\times \widehat{t}} & z_t & z_{-g}&0\\ 0 & 0 & 0&1\\ \end{array}\right] Rview−1= xg ×t yg ×t zg ×t 0xtytzt0x−gy−gz−g00001 转换成 R v i e w = [ x g ^ × t ^ y g ^ × t ^ z g ^ × t ^ 0 x t y t z t 0 x − g y − g z − g 0 0 0 0 1 ] R_{view}=\left[\begin {array}{c} x_{\widehat{g}\times \widehat{t}} & y_{\widehat{g}\times \widehat{t}} & z_{\widehat{g}\times \widehat{t}}&0\\ x_t & y_t & z_t & 0\\ x_{-g} & y_{-g}&z_{-g}&0\\ 0 & 0 & 0&1\\ \end{array}\right] Rview= xg ×t xtx−g0yg ×t yty−g0zg ×t ztz−g00001
正交矩阵:逆=转置
2.3.7 投影变换(Projection transformation)
2.3.7.1 计算机图形学中的投影
-
3D到2D
-
正交投影:常用于工程制图

-
透视投影:近大远小,与人眼成像原理相同

-
透视投影 vs 正交投影

2.3.7.2 正交投影(Orthographic projection)
-
一种简单的理解方式
-
摄像机位于原点,看向 − Z -Z −Z 轴,向上方向是 Y Y Y轴
-
忽略掉 Z Z Z轴
-
将矩形结果转换到 [ − 1 , 1 ] 2 [-1,1]^2 [−1,1]2上

-
-
一般来说
-
我们想映射一个长方体 [ l , r ] × [ b , t ] × [f,n] [l,r]\times[b,t]\times\textbf{[f,n]} [l,r]×[b,t]×[f,n]到“canonical(正则、规范、标准)”的立方体 [ − 1 , 1 ] 3 [-1,1]^3 [−1,1]3

- 定义一个长方体
- [ l , r ] [l,r] [l,r]: X X X轴上左<右
- [ b , t ] [b,t] [b,t]: Y Y Y轴上下<上
- [f,n] \textbf{[f,n]} [f,n]: -Z \textbf{-Z} -Z轴上远<近
- 把该立方体的中心平移到原点
- 缩放成“标准”立方体
- 定义一个长方体
-
变换矩阵
- 首先平移(立方体中心到原点),然后缩放(长/宽/高到2)
M o r t h o = [ 2 r − l 0 0 0 0 2 t − b 0 0 0 0 2 n − f 0 0 0 0 1 ] [ 1 0 0 − r + l 2 0 1 0 − t + b 2 0 0 1 − n + f 2 0 0 0 1 ] M_{ortho}=\left[\begin {array}{c} \frac{2}{r-l} & 0 & 0&0\\ 0 & \frac{2}{t-b} &0 & 0\\ 0 & 0&\frac{2}{n-f}&0\\ 0 & 0 & 0&1\\ \end{array}\right]\left[\begin {array}{c} 1 & 0 & 0&-\frac{r+l}{2}\\ 0 &1 &0 & -\frac{t+b}{2}\\ 0 & 0&1&-\frac{n+f}{2}\\ 0 & 0 & 0&1\\ \end{array}\right] Mortho= r−l20000t−b20000n−f200001 100001000010−2r+l−2t+b−2n+f1
- 首先平移(立方体中心到原点),然后缩放(长/宽/高到2)
-
-
注意
- 看向 − Z -Z −Z轴导致near近>far远(n>f)
- 这就是为什么OpenGL(一个图形API)使用左手定则
2.3.7.3 透视投影(Perspective projection)
- 常用于CG,艺术,视觉领域
- 近大远小
- 平行线不再平行;而是收敛到一个点

- 回顾:齐次坐标的性质
- ( x , y , z , 1 ) , ( k x , k y , k z , k ≠ 0 ) , ( x z , y z , z 2 , z ≠ 0 ) (x,y,z,1),(kx,ky,kz,k≠0),(xz,yz,z^2,z≠0) (x,y,z,1),(kx,ky,kz,k=0),(xz,yz,z2,z=0)都代表3D中相同的点 ( x , y , z ) (x,y,z) (x,y,z)
- 例如, ( 1 , 0 , 0 , 1 ) (1,0,0,1) (1,0,0,1)和 ( 2 , 0 , 0 , 2 ) (2,0,0,2) (2,0,0,2)都代表 ( 1 , 0 , 0 ) (1,0,0) (1,0,0)
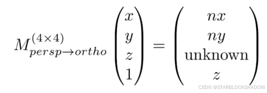
2.3.7.3.1 如何进行透视投影

-
首先将截锥体转化(挤压)为长方体 ( n → n , f → f ) , ( M p e r s p → o r t h o ) (n→n,f→f),(M_{persp→ortho}) (n→n,f→f),(Mpersp→ortho)
-
其次做正交投影( M o r t h o M_{ortho} Mortho,已知)
-
摄像机视锥的定义
-
垂直视野(vertical field-of-view,fovY)和宽高比(aspect ratio)(假设对称,即l=-r,b=-t)

-
-
如何从fovY和宽高比得到l,r,b,t?

-
2.3.7.3.2 如何得到变换矩阵
-
回顾一个关键的想法:找到(挤压后)点 ( x ′ , y ′ , z ′ ) (x',y',z') (x′,y′,z′)和原始点 ( x , y , z ) (x,y,z) (x,y,z)转换间的关系

y ′ = n 2 y y\prime=\frac{n}{2}y y′=2ny x ′ = n z x x\prime=\frac{n}{z}x x′=znx -
齐次坐标表示:

-
因此,挤压(透视转化为正交)投影需要做的就是

-
已经足够弄清楚 M p e r s p → o r t h o M_{persp→ortho} Mpersp→ortho的一部分值

-
如何得到 M p e r s p → o r t h o M_{persp→ortho} Mpersp→ortho的第三行?
观察到:第三行负责 z ′ z^\prime z′
-
任何一个点在近处的平面上不会改变

- 因此,第三行的形式一定为(0 0 A B)

根据上述,可以得到:

-
任何一个点z轴在远处的平面上不会变
取远平面的中心点

-
联立上述两式,可求得A与B:

-
-
最终,得到了变换矩阵 M p e r s p → o r t h o M_{persp→ortho} Mpersp→ortho
-
接下来
- 做正交投影
- M p e r s p = M o r t h o M p e r s p → o r t h o M_{persp}=M_{ortho}M_{persp→ortho} Mpersp=MorthoMpersp→ortho
3 光栅化
3.1 规范立方体到屏幕
-
什么是屏幕?
- 一个像素数组
- 数组的大小:分辨率
- 一种典型的光栅显示
-
Raster(光栅)== 德语中屏幕的意思
- 光栅化(Rasterize)== 把物体绘制到屏幕上
-
Pixel(像素,“picture element”的简称)
- 目前来说,一个像素是一种具有均匀颜色的小方块
- 颜色是(red,green,blue)的混合物
-
定义屏幕空间
- 屏幕的左下角位于坐标原点
- 像素的坐标形式是(x,y),x和y都是整数
- 像素的范围是从(0,0)到(width-1,height-1)
- 像素(x,y)的中心坐标是(x+0.5,y+0.5)
- 屏幕的覆盖范围是从(0,0)到(width,height)

-
规范立方体到屏幕
- 先忽略z轴
- 在xy平面中转换: [ − 1 , 1 ] 2 [-1,1]^2 [−1,1]2到 [ 0 , w i d t h ] × [ 0 , h e i g h t ] [0,width]×[0,height] [0,width]×[0,height]

-
视口变换矩阵:
M v i e w p o r t = ( w i d t h 2 0 0 w i d t h 2 0 h e i g h t 2 0 h e i g h t 2 0 0 1 0 0 0 0 1 ) M_{viewport}=\left(\begin {array}{c} \frac{width}{2} & 0 & 0&\frac{width}{2}\\ 0 &\frac{height}{2} &0 & \frac{height}{2}\\ 0 & 0&1&0\\ 0 & 0 & 0&1\\ \end{array}\right) Mviewport= 2width00002height0000102width2height01
3.2 不同的光栅显示设备
-
Oscilloscope:示波器
-
Cathode Ray Tube(CRT):阴极射线管

-
电视——光栅显示CRT
光栅扫描(调制强度):

隔行扫描:用于压缩视频,但会产生画面撕裂
-
帧缓冲区:用于光栅显示的内存

-
平板显示屏
-
LCD(Liquid Crystal Display)显示屏(液晶显示器)
-
原理:液晶通过自己的不同排布影响光的极化(偏振方向)

-
-
color LCD,OLED显示屏
-
-
LED(Light emitting diode,发光二极管)阵列显示屏
-
电泳(电子墨水)显示屏:刷新率较低

3.3 光栅化三角形
3.3.1 三角形-最基础的多边形
3.3.1.1 为什么是三角形?


- 大多数基本多边性都可以分解成三角形
- 独有的属性
- 保证是平面的
- 内外部明确定义
- 三角形顶点内插值定义明确(重心插值)
3.3.1.2 三角形上一些边界点如何用像素表示
- 输入:在屏幕上三角形的位置投影
- 输出:像素集合

3.3.2 像素的中心点与三角形的位置关系
3.3.2.1 采样函数
在一个点处通过采样的方式评估
采样:将一个函数离散化的过程。
例子:
for (int x = 0; x < xmax; ++x)
output[x] = f(x);
采样在图形学中是一个核心思想,可以采样时间(1D),区域(2D),方向(2D),CT卷(3D)。
3.3.2.2 光栅化:2D采样

3.3.2.3 通过采样判断是否每个像素的中心点都在三角形内部

3.3.2.4 定义一个返回值是布尔值的函数: i n s i d e ( t r i , x , y ) inside(tri,x,y) inside(tri,x,y)(x,y不一定是整数)

3.3.2.5 光栅化=采样一个2D形式函数
for (int x = 0; x < xmax; ++x)
for (int y = 0; y < ymax; ++y)
image[x][y] = inside(tri,x+0.5,y+0.5);
3.3.3 回顾:采样位置

3.3.3.1 评估采样函数结果

3.3.3.2 怎么判断一个点是否在三角形内?回顾:三个叉积!

3.3.3.3 如果一个点恰好在三角形边界上
这个样本点是在三角形1上,还是三角形2上,还是都在?

要么不做处理,要么做特殊处理。
3.3.3.4 需要检查屏幕上的所有像素吗?
不需要,用一个Bounding Box!(轴向包围盒,AABB)

增量三角形遍历(适用于窄的、旋转一定角度的三角形)
每一行像素只遍历最左到最右在三角形内的

3.3.3.5 实际LCD显示屏的光栅化

注意RGB像素的几何形状,但在计算机图形学中,假设像素是均匀颜色的小方块。
右侧:拜尔阵列(Bayer Pattern)。
人眼对绿色更敏感,绿色像素多些。
3.3.3.6 彩色打印机的屏幕显示方式
减色系统

3.3.3.7 采样信号显示

像素填充:锯齿(Jaggies)!

对比:

原因:
采样率对于信号来说不够高,产生了信号走样(Aliasing)问题。

4 抗锯齿/反走样
4.1 采样理论
采样理论普遍应用于计算机图形学:
- 光栅化:采样2D中的坐标
- 照片:采样图片传感器平面
- 视频:采样时间
4.1.1 采样瑕疵(Sampling Artifacts/Errors/Mistakes/Inaccuracies)
- 锯齿(Jaggies)—— 空间中采样
- 摩耳轮(Moiré Patterns)—— 下采样图片(空间中采样)
- 马车车轮幻觉(假运动)Wagon Wheel Illusion(False Motion)——采样时间
- ……
4.1.2 采样瑕疵的原因
信号变化地太快(频率高),而采样的频率太慢。
4.1.3 如何做反走样——在采样之前先做一个模糊/滤波
4.1.3.1 光栅化——采样空间中的点

注意已光栅化的三角形中像素值是纯红或纯白的的锯齿
4.1.3.2 光栅化——反走样采样

注意已光栅化的三角形中像素值取了中心值的抗锯齿边缘
4.1.3.3 点采样VS反走样
4.1.3.3.1 点采样

4.1.3.3.2 反走样


4.1.3.4 模糊与采样的顺序能否颠倒?不行!

原因?
1、为什么下采样会导致走样?
2、为什么预先模糊后采样能反走样?
4.1.4 频域(Frequency Domain)
4.1.4.1 正弦波与余弦波

4.1.4.2 频率

周期 = 频率分之一
4.1.4.3 傅里叶级数展开
任何一个周期函数,都可以把它写成一系列正弦和余弦函数的线性组合以及一个常数项。

f ( x ) = A 2 + 2 A cos ( t ω ) π f(x)=\frac{A}{2}+\frac{2A\cos(t\omega)}{\pi} f(x)=2A+π2Acos(tω)

f
(
x
)
=
A
2
+
2
A
cos
(
t
ω
)
π
−
2
A
cos
(
3
t
ω
)
3
π
f(x)=\frac{A}{2}+\frac{2A\cos(t\omega)}{\pi}-\frac{2A\cos(3t\omega)}{3\pi}
f(x)=2A+π2Acos(tω)−3π2Acos(3tω)

f
(
x
)
=
A
2
+
2
A
cos
(
t
ω
)
π
−
2
A
cos
(
3
t
ω
)
3
π
+
2
A
cos
(
5
t
ω
)
5
π
f(x)=\frac{A}{2}+\frac{2A\cos(t\omega)}{\pi}-\frac{2A\cos(3t\omega)}{3\pi}+\frac{2A\cos(5t\omega)}{5\pi}
f(x)=2A+π2Acos(tω)−3π2Acos(3tω)+5π2Acos(5tω)

f
(
x
)
=
A
2
+
2
A
cos
(
t
ω
)
π
−
2
A
cos
(
3
t
ω
)
3
π
+
2
A
cos
(
5
t
ω
)
5
π
−
2
A
cos
(
7
t
ω
)
7
π
+
…
f(x)=\frac{A}{2}+\frac{2A\cos(t\omega)}{\pi}-\frac{2A\cos(3t\omega)}{3\pi}+\frac{2A\cos(5t\omega)}{5\pi}-\frac{2A\cos(7t\omega)}{7\pi}+…
f(x)=2A+π2Acos(tω)−3π2Acos(3tω)+5π2Acos(5tω)−7π2Acos(7tω)+…
4.1.4.4 傅里叶变换:将信号分解为频率(时域→频域)
4.1.4.5 逆傅里叶变换:将频率合成信号


4.1.4.6 更高的频率需要更高频的采样

4.1.4.7 下采样导致了频率走样

高频信号采样不足:样本错误地看起来来自低频信号。
走样(aliases):两种信号采用同种采样方式得到的是一样的无法区分的结果。
4.1.5 滤波(Filtering=Getting rid of某个特定频段)
4.1.5.1 可视化图片频段(频谱)
傅里叶变换:时域→频域

4.1.5.2 仅滤去低频(边缘)——高通滤波器(只剩下高频,留下图像的边界)

4.1.5.3 过滤去高频(模糊)——低通滤波器(只剩下低频,留下基本信息)

4.1.5.4 过滤去高频和低频


4.1.6 滤波=卷积(=平均)Filtering = Convolution(=Averaging)
4.1.6.1 卷积
卷积:在滑动窗口的过程中,对应做点乘操作写回信号中心位置。



4.1.6.2 卷积定理
空间域中的卷积等于频域中的乘积,反之亦然
选项1:
- 通过空间域中的卷积滤波
选项2:
- 转换到频域(傅里叶变换)
- 把卷积内核转换到频域(傅里叶变换),两者相乘(频域结果)
- 转换为空间域(逆傅里叶变换)

4.1.6.3 滤波器(卷积和)

滤波器函数="低通"滤波器

更宽的卷积内核=较低的频率

4.1.7 采样=重复原始信号的频谱Sampling=Reapting Frequency Contents

4.1.8 走样=混叠频谱Aliasing=Mixed Frequency Contents

4.1.9 反走样
4.1.9.1 如何降低走样瑕疵?
选项1:提高采样频率
- 关键是增加了傅里叶域中复制频谱之间的距离
- 更高的分辨率显示,传感器,帧缓存……
- 但是:代价昂贵且可能需要很高的分辨率
选项2:抗锯齿/反走样
- 在复制频谱之前对“较窄”的频谱进行傅里叶变换
- 即在采样前过滤掉高频(留下低频的)
4.1.9.2 反走样 = 限制,再重复

4.2 实际中的反锯齿
4.2.1 实际中的预滤波器(模糊)
一个1像素宽的盒状滤波器(低通,模糊)

4.2.2 通过在像素域中进行卷积实现反走样
解决方案:
- 使用1像素的模糊卷积核卷积f(x,y)
- 回顾:卷积=滤波=平均
- 然后对每个像素的中心采样
4.2.3 通过计算平均像素值实现反走样
在光栅化一个三角形时,像素域f(x,y)内的平均值 = inside(triangle,x,y)等于三角形覆盖的像素:

4.2.4 通过更多的采样点反走样Antialiasing By Supersampling(MSAA)
4.2.4.1 超采样Superampling
通过采样一个像素内的多个位置并平均其值来近似估计1像素盒式滤波器的效果:

4.2.4.2 点采样:每个像素一个样本

4.2.4.3 超采样:第1步
在每个像素中取
N
×
N
N\times N
N×N 的样本:

4.2.4.4 超采样:第2步
计算每个像素“内部”的
N
×
N
N\times N
N×N样本的平均值:


4.4.4.5 超采样:结果
以下是显示器发出的相应信号:

4.2.5 MSAA的代价
- 计算代价提升
4.2.6 里程碑
除了MSAA,其他反走样方法:
- FXAA(Fast Approximate AA):快速近似反走样,是一种图像后处理操作。
- TAA(Temporal AA):复用上一帧的信息。
4.2.7 超分辨率/超采样
- 从低分辨率到高分辨率
- 仍会导致“样本不足”问题
- DLSS(Deep Learning Super Sampling):深度学习超采样
4.3 遮挡与可见性
4.3.1 画家算法
灵感来自油画家如何上色,由远及近,层层覆盖
需要对n个三角形的深度进行排序( O ( n l o g n ) O(n logn) O(nlogn))
以下三角形两两覆盖,形成了环(互相遮挡),画家算法不再适用

4.3.2 深度缓存(Z-buffering)
深度缓存算法是当前常用的算法。
思路:
- 存储当前每个样本(像素)的深度值(z-value)
- 需要一个额外的缓存区存储深度值
- 帧缓存(frame buffer)存储颜色值
- 深度缓存(depth buffer/z-buffer)存储深度
重要提示:
为了简单,假设z轴总是正向的
- z越小,越近
- z越大,越远
4.3.2.1 深度缓存例子

4.3.2.2 深度缓存(Z-buffer)算法
初始化深度缓存为∞
在光栅化过程中:


4.3.2.3 深度缓存(Z-buffer)算法的复杂度
- 对于n个三角形:O(n)(假设一个一个覆盖)
- 如何在线性时间内排序n个三角形?
- 这里并没有排序
- 只是记录最小值,比较
- 深度缓存算法与绘制三角形的顺序无关,得到的结果都是一致的(假设在同一个像素的深度都是不同的(浮点型表示))
最重要的可见性算法
- 通过所有的GPU硬件实现
5 着色
5.1 光照与阴影
5.1.1 到目前为止,我们涉及到了什么?

- 物体和摄像机在世界中的位置
- 计算物体相对于摄像机的位置
- 投影物体到屏幕上
- 采样三角形的覆盖范围
5.1.2 着色(Shading)的定义
- 在Merriam-Webster字典中
- 名词
- 用平行线或色块表示插图或图表中的明暗
- 在计算机图形学中
- 将不同材质应用到不同物体的过程
5.1.3 一个简单的着色模型(ShadingsModel)——Blinn-Phong反射模型
5.1.3.1 透视观察
- 镜面高光(直接光照)
- 漫反射
- 环境光照(间接光照)

5.1.3.2 着色是局部的
计算在特定着色点光线向摄像机反射的结果
输入:(单位向量只关注方向)
-
观察者方向Viewer direction: v ⃗ \vec{v} v
-
表面的法向量Surface normal: n ⃗ \vec{n} n
-
光线方向Light direction: l ⃗ \vec{l} l(对于许多灯光)
-
表面的参数Surface parameters(颜色,亮度,…)

考虑着色不考虑产生阴影!(shading ≠ shadow)
5.1.3.3 漫反射
-
光线均匀地散落
- 对于所有地观察方向,表面颜色是相同地

-
但多少光(能量)被接收了?
- Lanbert的余弦法则
- 表面辐照度与光线方向和表面法线夹角的余弦成正比

- 表面辐照度与光线方向和表面法线夹角的余弦成正比
- Lanbert的余弦法则
上图对应的辐照度Irradiance分别是 E = Φ A E=\frac{\Phi}{A} E=AΦ, E = 1 2 Φ A E=\frac{1}{2}\frac{\Phi}{A} E=21AΦ, E = Φ A cos θ E=\frac{\Phi}{A}\cos\theta E=AΦcosθ
当表面有一定角度时,表面的法线方向与光照方向的夹角是 c o s θ cosθ cosθ
5.1.3.4 光的衰减

纠正:Irradiance辐照度衰减

5.1.3.5 Lambertian(漫反射)着色
- 着色与观察方向无关
- L d L_d Ld:漫反射光
- k d k_d kd:漫反射系数(颜色(R,G,B)表示)
- ( I / r 2 ) (I/r^2) (I/r2):到达着色点的能量
- m a x ( 0 , n ⃗ ⋅ l ⃗ ) max(0,\vec{n}·\vec{l}) max(0,n⋅l):被着色点吸收的能量(取最大值,表示如果点乘是负值,没物理意义,这里考虑的不是折射而是反射)

- 产生漫反射效果

5.1.3.6 镜面高光
镜面高光的强度取决于观察方向
- 反射方向接近镜面反射方向R

v ⃗ \vec{v} v(观察)方向接近于镜面反射方向 ⇔ \Leftrightarrow ⇔法线(normal)方向与半程向量(half vector)方向接近
- 通过单位向量点乘测量方向的“接近程度”

通常高光是白色,因此 k s k_s ks为(255,255,255)。
5.1.3.7 余弦的指数图
随着指数 p p p 增加,反射夹角减小。

产生的高光效果

5.1.3.8 环境光照
着色不依赖于任何东西
- 添加不变的颜色忽略照明并填充黑色阴影
- 这是近似的/假的!

5.1.3.9 Blinn-Phong反射模型

5.1.4 着色频率(Shading Frequencies)

面、点、像素应用着色(插值)。
5.1.4.1 逐三角形着色(平面着色)flat shading
- 三角形的平面是一个平面——得到一个法向量
- 不适用于光滑的表面

5.1.4.2 逐顶点着色(Gouraud shading)
- 每一个顶点做一次着色,三角形内部的颜色通过插值求得
- 每个顶点都有一个法向量

5.1.4.3 逐像素着色(Phong shading)
- 每一个顶点做一次着色,三角形内部的颜色通过插值求得
- 对每个像素着色
- 不是Blinn-Phong反射模型

5.1.4.4 着色频率:面,顶点还是像素

5.1.4.5 定义逐顶点的法向量
最理想是通过潜在的几何图形得到顶点的法向量
-
如,考虑一个球体

否则必须通过三角形平面推断出顶点的法向量
- 一个简单的方案:求顶点相邻(周围)平面法线的均值(加权平均效果更好,和三角形面积有关)


5.1.4.6 定义逐像素的法向量
对顶点的法线做重心插值

别忘了归一化插值方向,变成单位向量
5.2 图形(实时渲染)管线Graphics(Real-time Rendering) Pipeline

- 输入在三维空间中的顶点
- 把顶点投影到屏幕上
- 得到三角形在屏幕上的投影
- 光栅化
- 着色
- 输出:图像(像素)
5.2.1 图形管线示例




Shader控制顶点和像素如何着色

5.2.1.1 着色器程序(Shader Programs)
-
编程处理顶点vertex和片段fragment阶段
-
是对一个单一顶点(或片段fragment)如何操作的描述
- 如果写的是对顶点的着色操作,称为顶点着色器(vertax shader)
- 如果写的是对像素的着色操作,称为像素着色器(fragment/pixel shader)
-
一个GLSL(OpenGL的着色语言)fragment shader的例子:
- 着色器函数每个fragment执行一次
- 在屏幕上采样位置输出当前fragment表面的颜色
- 这个shader执行在该点寻找并获取表面材质的颜色,然后表现漫反射光照计算

网站推荐:在线编写shader
5.2.1.2 目标:实时渲染高度复杂的3D场景
5.2.1.3 图形管道实现:GPUs(Graphics Pipeline Implementations)
专门用于处理执行图形管线的计算

5.2.1.4 GPU:异构多核处理器

5.3 纹理映射
不同位置的颜色不同

5.3.1 表面是二维的
- 表面存在于三维空间
- 任何三维表面的点都是二维的,三维表面对应一张二维图像(纹理)

5.3.1.1 纹理应用到表面

5.3.1.2 可视化纹理坐标
每个三角形顶点被表示乘一个纹理坐标(u,v)[0,1]


5.3.1.3 纹理可被重复使用多次!

5.4 三角形内部插值:重心坐标
5.4.1 在三角形内部插值
为什么需要插值?
- 确定顶点的值
- 在三角形中得到一个平滑过渡的值
需要插入什么值?
- 纹理坐标,颜色,法向量
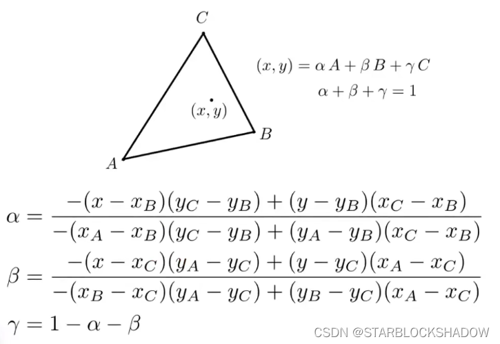
5.4.2 重心坐标
5.4.2.1 重心坐标的定义
重心坐标(Barycentric Coordinates)是定义在三角形 ( α , β , γ ) (\alpha,\beta,\gamma) (α,β,γ)上的一个坐标系

重心坐标:在三角形ABC所在的平面内,任何一个点 ( x , y ) (x,y) (x,y)都可以表示乘A、B、C这三个点坐标的线性组合。满足上述式子。
特殊的,如果点 ( x , y ) (x,y) (x,y)在三角形内部,还需要满足三个坐标系数 α 、 β 、 γ \alpha、\beta、\gamma α、β、γ都是非负的。
5.4.2.2 A、B、C点的重心坐标

A ( 1 , 0 , 0 ) B ( 0 , 1 , 0 ) C ( 0 , 0 , 1 ) A(1,0,0) B(0,1,0) C(0,0,1) A(1,0,0)B(0,1,0)C(0,0,1)
5.4.2.3 任意点的重心坐标——面积比

5.4.2.4 三角形重心的重心坐标

5.4.2.5 重心坐标公式

5.4.3 使用重心坐标
5.4.3.1 对顶点线性插值

V A , V B , V C V_A,V_B,V_C VA,VB,VC可以是位置,纹理坐标(u,v),颜色,法向量,深度,材质属性……
然而,在投影变换下,重心坐标不是不变的!
5.5 应用纹理
5.5.1 简单的纹理映射:漫反射颜色
对每个光栅化在屏幕上的样本 ( x , y ) (x,y) (x,y)(通常是一个像素的中心):
( u , v ) (u,v) (u,v)=评估在 ( x , y ) (x,y) (x,y)的纹理坐标(使用重心坐标)
texcolor=texture.sample(u,v);将样本颜色设置为texcolor(通常是漫反射系数Kd)
5.5.2 纹理放大(如果纹理太小了怎么办?)
一般不希望出现这样的情况——纹理分辨率不足
纹理上的一个像素——texel(纹理元素、纹素)

近似(四舍五入)、双线性插值、双三次插值(取临近的16个点)
5.5.2.1 双线性插值(Bilinear Interpolation)





5.5.3 纹理放大(如果纹理太大了怎么办?)
5.5.3.1 点采样纹理的问题——走样

5.5.3.2 在纹理中屏幕像素覆盖的“区域”

5.5.3.3 超采样(MSAA)能抗走样吗?
可以!但耗费性能!

5.5.3.4 走样——超采样?
超采样(MSAA)能抗走样吗?
- 可以,质量高,但耗性能
- 当高度减少时,一个像素包含很多纹理
- 一个像素中的信号频率太大
- 需要更高的采样频率
换一个思路理解这个问题
- 如果我们不采样呢?
- 只需要得到一个范围内的平均值!
5.5.3.5 点查询vs.范围(平均值)查询

5.5.3.6 范围查询
不同的像素→不同的覆盖区域范围大小

5.5.4 Mipmap——允许(fast,approx.,square)范围查询
Mipmap:快,不准(近似),方形范围查询
5.5.4.1 Mipmap(L. Williams 83)


引入了多大的额外存储量?
原来的1/3
5.5.4.2 计算Mipmap的第D层



微分计算
5.5.4.3 Mipmap层的可视化——颜色渐变不连续是到不同的层进行了查询

5.5.4.4 三线性插值(Trilinear Interpolation)
Mipmap层与层


5.5.4.5 Mipmap的限制
远处模糊过分了(Overblur)

5.5.4.6 各向异性过滤(Anisotropic Filtering)——局部解决三线性插值的问题

Ripmaps和summed区域表
- 可以查询轴对齐的矩形区域
- 对角线覆盖范围仍是一个问题

EWA过滤
- 使用多查询
- 加权平均值
- Mipmap层级仍有帮助
- 可以处理不规则的覆盖范围
- 额外开销是原来的三倍

5.5.4.7 纹理中不规则的像素覆盖范围

5.6 纹理的应用
5.6.1 许多,许多纹理的应用
在现代GPU中,纹理=内存+范围查询(过滤)
- 通常的方法是将数据进行查询(fragment计算)
许多的应用:
-
环境光照Environment lighting
-
存储微曲线测定值Store microgeometry
-
纹理函数Procedural textures
-
实体建模Solid modeling
-
批量渲染Volume rendering
-
……
5.6.1.1 环境贴图Environment Map

经典模型:犹他壶、斯坦福兔子、斯坦福龙、康奈尔盒子
假设环境光来自无限远处,记录一个方向的即可(从同一个方向来,强度都是一样的),没有深度意义
5.6.1.2 环境光Environment Lighting

5.6.1.3 球形环境贴图Spherical Environment Map

5.6.1.4 球形贴图的问题——易失真/扭曲(顶部和底部)!

5.6.1.5 立方体映射——解决球形贴图的问题

一个从球心出发的向量映射到立方体沿着该方向打到面上的点
立方体用6个方形纹理映射

5.6.2 纹理会影响着色!
-
纹理不仅仅代表颜色
- 如果它存储了高度/法向量呢?
- 凹凸贴图/法线贴图(Bump/normal mapping)
- 假的几何细节


5.6.2.1 凹凸贴图Bump Mapping
添加表面细节而并不添加更多的三角形
-
对每个像素垂直平面的的法向量(仅着色计算时)
-
每个由纹理定义的纹素有一个“高度”
-
如何修正法向量?

5.6.2.2 凹凸贴图如何扰动法向量(在平面上flatland)
- 原本平面的法线 n ( p ) = ( 0 , 1 ) n(p)=(0,1) n(p)=(0,1)
- p p p点的切线 d p = c ∗ [ h ( p + 1 ) − h ( p ) ] dp=c*[h(p+1)-h(p)] dp=c∗[h(p+1)−h(p)]
- 扰动法线是 n ( p ) = ( − d p , 1 ) . n o r m a l i z e d ( ) n(p)=(-dp,1).normalized() n(p)=(−dp,1).normalized()(垂直,逆时针旋转90°,归一化)

5.6.2.3 凹凸贴图如何扰动法向量(在三维中)
- 原本平面的法线 n ( p ) = ( 0 , 0 , 1 ) n(p)=(0,0,1) n(p)=(0,0,1)
- p点的切线(求导)
- d p / d u = c 1 ∗ [ h ( u + 1 ) − h ( u ) ] dp/du=c1*[h(u+1)-h(u)] dp/du=c1∗[h(u+1)−h(u)]
- d p / d v = c 2 ∗ [ h ( v + 1 ) − h ( v ) ] dp/dv=c2*[h(v+1)-h(v)] dp/dv=c2∗[h(v+1)−h(v)]
- 扰动法线是 n = ( − d p / d u , − d p / d v , 1 ) . n o r m a l i z e d ( ) n=(-dp/du,-dp/dv,1).normalized() n=(−dp/du,−dp/dv,1).normalized()
- 需要注意这是局部坐标系!
5.6.2.4 位移贴图Displacement mapping——一个更高级的方法
- 与凹凸贴图使用相同的纹理
- 实际操作时移动顶点位置
- 需要模型做的很细致,三角形多

DirectX(图形API)提供一个方法:动态的曲面细分,根据需要做位移贴图
5.6.2.5 3D噪声函数+实体建模

5.6.2.6 提供预先计算的着色

5.6.2.7 3D纹理和体渲染

6 几何Geometry
6.1 几何介绍
6.1.1 几何形体的例子









6.1.2 几何形体不同的代表
6.1.2.1 许多代表几何的方式



- 隐式几何 Implicit
- 代数表面 algebraic surface
- 水平集 level sets
- 距离函数 distance functions
- …
- 显式几何 Explicit
- 点云 point cloud
- 多边形面 polygon mesh
- 细分 subdivision,非均匀有理b-样条 NURBS
- …
6.1.3 隐式几何
基于分类的点
- 点满足一些特定的关系(函数)
例子:一个球,所有三维中的点满足 x 2 + y 2 + z 2 = 1 x^2+y^2+z^2=1 x2+y2+z2=1
更一般地, f ( x , y , z ) = 0 f(x,y,z)=0 f(x,y,z)=0

6.1.3.1 隐式表面——采样困难
f ( x , y , z ) = ( 2 − x 2 + y 2 ) 2 + z 2 − 1 f(x,y,z)=(2-\sqrt {x^2+y^2})^2+z^2-1 f(x,y,z)=(2−x2+y2)2+z2−1
哪些点会满足这个函数( f ( x , y , z ) = 0 f(x,y,z)=0 f(x,y,z)=0)?

6.1.3.2 隐式表面——判断点在面内部还是外部很简单

6.1.3.3 显式表示
所有的点直接给出或者通过参数映射的方式给出

马鞍面
6.1.3.4 显式表面——采样简单

6.1.3.5 显式表面——判断点在面内部还是外部很难

6.1.3.6 没有最好的表示方法——几何很难
根据需要选择最合适的表示方法
6.1.3.7 代数表面(隐式)——不直观

6.1.3.8 Constructive Solid Geometry (CSG)(隐式)
通过布尔运算组合隐式几何


6.1.3.9 距离函数(隐式)
不同于布尔,通过使用距离函数把表面融合到一起:
给定空间中从任何地方到物体的最小距离(可以标记距离)


6.1.3.10 融合距离函数(隐式)

6.1.3.11 距离函数的应用

6.1.3.12 水平集方法(隐式)
闭合方程很难描述复杂的形状
代替方式:存储近似函数的值表

法线在曲面内部插值等于0
提供更明确的形状控制(类似纹理)
6.1.3.13 医学数据中的水平集(CT,MRI等)

6.1.3.14 物理模拟中的水平集
水平集到气液边界的距离

6.1.3.15 分形Fractals(隐式)
在所有尺度上细节表现出自相似性
“语言”是用于描述自然现象
难以控制的形状!

6.1.3.16 隐式表示
优点:
- 紧凑的描述(例如,函数)
- 特定的查询容易(内部对象,到表面的距离)
- 适用于射线到平面的交叉
- 对于简单图形,精确描述/没有采样错误
- 易于处理拓扑的变化(例如,流体)
缺点:
- 很难表示复杂的图形
6.1.4 显式几何
6.1.4.1 点云(显式)
-
点 ( x , y , z ) (x,y,z) (x,y,z)的列表(list)
-
易表示任何类型的几何
-
在大型数据集中很有用(>>1point/pixel)
-
经常转换成多边形面Mesh
-
难以绘制下采样区域


6.1.4.2 多边形面(显式)
-
存储顶点和四边形(通常是三角形或四边形)
-
更容易处理/模拟,自适应采样
-
更复杂的数据结构

6.1.4.3 Wavefront Object File(.obj)格式
-
常用于图形学研究
-
只是一个指定顶点,法线,纹理坐标和它们之间联系的一个文本文件

6.2 曲线(显示表示)
6.2.1 应用
- 相机路径Camera Path
- 曲线动画Animation Curves
- 矢量字体Vector Fonts
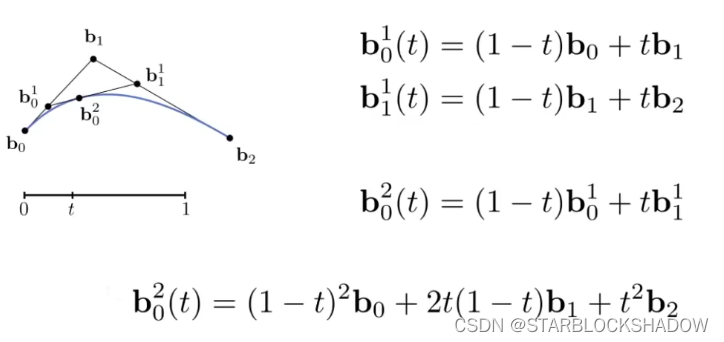
6.2.2 Bézier Curves(贝塞尔曲线)
6.2.2.1 用切线定义立方体的贝塞尔曲线

6.2.2.2 画一条贝塞尔曲线(De Castelijau算法)
6.2.2.2.1 考虑三个点(二次贝塞尔)
- 插入使用线性插值得到的一个点

2. 在两条线段上都插入一个点

3. 递归

- 用上述算法找到所有在 [ 0 , 1 ] [0,1] [0,1]上的 t t t

6.2.2.22 总共四个输入点
同样递归线性插值

6.2.3 评估贝塞尔曲线(代数公式)
de Casteljau算法给出了参数金字塔

例子:
三个点的二次贝塞尔曲线

n个点贝塞尔曲线的Bernstein形式:

Bernstein多项式: B i n ( t ) = ( n i ) t i ( 1 − t ) n − i B^n_i(t)=\left(\begin {array}{c} n \\ i\\ \end{array}\right)t^i(1-t)^{n-i} Bin(t)=(ni)ti(1−t)n−i

例子:
3D中的控制点:
b 0 = ( 0 , 2 , 3 ) , b 1 = ( 2 , 3 , 5 ) , b 2 = ( 6 , 7 , 9 ) , b 3 = ( 3 , 4 , 5 ) \textbf{b}_0=(0,2,3),\textbf{b}_1=(2,3,5),\textbf{b}_2=(6,7,9),\textbf{b}_3=(3,4,5) b0=(0,2,3),b1=(2,3,5),b2=(6,7,9),b3=(3,4,5)
这些点定义了三维中的贝塞尔曲线,是一个 t t t的立方多项式:
b n ( t ) = b 0 ( 1 − t ) 3 + b 1 3 t ( 1 − t ) 2 + b 2 3 t 2 ( 1 − t ) + b 3 t 3 \textbf{b}^n(t)=\textbf{b}_0(1-t)^3+\textbf{b}_13t(1-t)^2+\textbf{b}_23t^2(1-t)+\textbf{b}_3t^3 bn(t)=b0(1−t)3+b13t(1−t)2+b23t2(1−t)+b3t3
6.2.3.1 贝塞尔曲线的性质
插值端点
- 对于三次贝塞尔(四个控制点):
b ( 0 ) = b 0 ; b ( 1 ) = b 3 \textbf{b}(0)=\textbf{b}_0;\textbf{b}(1)=\textbf{b}_3 b(0)=b0;b(1)=b3
切线的终点
- 对于三次贝塞尔(四个控制点):
b ′ ( 0 ) = 3 ( b 1 − b 0 ) ; b ′ ( 1 ) = 3 ( b 3 − b 2 ) \textbf{b}^\prime(0)=3(\textbf{b}_1-\textbf{b}_0);\textbf{b}^\prime(1)=3(\textbf{b}_3-\textbf{b}_2) b′(0)=3(b1−b0);b′(1)=3(b3−b2)
仿射变换属性
- 对贝塞尔曲线做仿射变换和对其上的顶点做仿射变换结果相同
凸包性质(Contex hull property)
- 曲线一定要在控制点形成的凸包内
6.2.3.1.1 什么是凸包(Convex Hull)
凸包:能够包围一系列给定的几何形体的最小凸多边形。

6.2.4 逐段(Piecewise)贝塞尔曲线
6.2.4.1 高阶贝塞尔曲线——难以控制、罕见

6.2.4.2 逐段贝塞尔曲线
相反,将许多低阶的贝塞尔曲线相接
逐段三次(四个控制点)贝塞尔是最常见的技术

广泛用于文字、路径、插画、主题Keynote…
6.2.4.3 逐段贝塞尔曲线——连续性
给定两个贝塞尔曲线

第一段的终止点等于第二段的起始点(几何上连在一起)
C 0 C^0 C0连续: a n = b 0 \textbf{a}_n=\textbf{b}_0 an=b0

切线连续(一阶导数连续)
C 1 C^1 C1连续: a n = b 0 = 1 2 ( a n − 1 + b 1 ) \textbf{a}_n=\textbf{b}_0=\frac{1}{2}(\textbf{a}_{n-1}+\textbf{b}_1) an=b0=21(an−1+b1)

6.2.5 其他类型的曲线(样条)splines
-
Splines(样条)
- 通过给定的点集构造一条连续的曲线满足一定连续性
- 简单说,就是一个可控的曲线

-
B-splines(B-样条)
- basis splines(奇函数样条)的缩写
- 需要比贝塞尔曲线更多的信息
- 满足所有贝塞尔曲线的重要性质(即,超集)
6.3 曲面
把贝塞尔曲线扩展到面


6.3.1 Bezier表面
6.3.1.1 二次贝塞尔曲面

6.3.3.2 用参数(u,v)评估表面位置
对于双-三次贝塞尔曲面
输入:4×4的控制点
输出:用(u,v)表示的二维表面,范围在[0,1]2内

6.3.3.3 方法:可分离的一维de Casteljau算法
目标:评估对应的表面位置(u,v)
- 使用de Casteljau评估在4条贝塞尔曲线上的每一个u
- 使用一维de Casteljau评估在“移动”曲线上的点v

6.3.2 三角形和四边形
6.3.2.1 细分Subdivision,简化simplification,正规化regularization

6.3.2.2 网格细分(上采样)

增加分辨率
6.3.2.3 网格简化(下采样)

减少分辨率;试图保留形状/表现
6.3.2.4 网格正规化(相同的三角形)

修改采样分布以提高质量
6.3.3 细分Subdivision
6.3.3.1 Loop细分Loop Subdivision(三角形网格)

常见的三角形面细分规则:
-
创建更多的三角形(顶点)
- 将每个三角形分成4个

-
调整它们的位置
-
根据权重分配新的顶点位置
-
新/旧顶点以不同方式更新

-
对于新顶点:


-
对于旧顶点

-
-
6.3.3.2 Loop细分结果

6.3.3.3 Catmull-Clark细分(一般网格)

定义四边形、非四边形面、奇异点(度不为4的点)
每个细分步骤:
- 在每个面上添加顶点
- 取每条边的中点
- 连接所有新顶点

在一次细分后:增加了非四边形面数的奇异点,之后不再增加
有多少奇异点?4个
它们的度是多少?旧:5、新:3
有多少非四边形面?0个


6.3.3.4 Catmull-Clark顶点更新规则(四边形网格)
面上的点、边上的点、顶点

6.3.3.5 融合:整体形状和折痕
Loop细分的折痕

Catmull-Clark细分的折痕

6.3.4 网格(曲面)简化Mesh Simplification
目标:在保持整体形状的同时减少网格数量

6.3.4.1 边坍缩(Collapsing An Edge)
- 假设我们是边缘折叠简化一个曲面(edge collapsing)

6.3.4.2 二次误差度量(Quadric Error Metrics)
- 曲面简化引入了多少几何误差?
- 不是一个好的表示顶点局部平均值的办法
- 二次误差:新顶点到与它相关的面的距离的平方和(L2距离)达到最小

6.3.4.3 边坍缩的二次误差
- 边坍缩的成本是多少?
- 想法:计算边的中点,计算二次误差

- 更好的想法:选择二次误差最小的点
- 更多细节:Garland&Heckbert 1997
6.3.4.4 通过二次误差简化
迭代的边坍缩
哪个边?通过二次误差度量(Garland&Heckbert 1997)分配得分
- 取包含三角形面到表面的距离和的近似
- 用最小的得分迭代边坍缩(堆)
- 贪婪算法…结果很好!
6.3.4.5 二次误差曲面简化

6.4 阴影
6.4.1 阴影映射/图(Shadow mapping)——只能处理点光源投射出的阴影(硬阴影)
- 一种图像-空间算法
- 在计算阴影过程中,不需要知道场景中的几何信息
- 必须处理走样问题
- 关键思想
- 不在阴影里的点必须同时被光源和摄像机看见
6.4.2 步骤1:从光源出发渲染
-
光源深度图

6.4.3 步骤2A:从摄像机出发渲染
- 摄像机标准图(有深度)

6.4.4 步骤2B:投影回光源
- 将摄像机可见的点投影回光源


6.4.5 可视化阴影映射
- 将Dist(light,shading point)与shadow map比较

6.4.6 阴影映射
- 众所周知的渲染技术
- 早期动画的基本阴影技术和任何3D视频游戏
6.4.7 阴影映射的问题
-
硬阴影(仅限点光源)
-
质量取决于阴影地图分辨率(基于图像的技术的普遍问题)
-
涉及scale,bias,容差tolerance浮点深度值的比较
-
硬阴影vs.软阴影





6269

被折叠的 条评论
为什么被折叠?



