今天小编在学习 PyTorch 时,突然发现咋每次运行所得损失绘制的曲线都不一样呢?即使小编使用torch.manual_seed()函数固定 torch 的随机数种子每次运行的结果还是不一样,因此小编就写一篇文章记录一下。
数据集
本次使用的数据集是小编自定义的小型数据集:
| x1 | x2 | x3 | x4 | x5 | x6 | x7 | x8 | x9 | x10 | y |
|---|---|---|---|---|---|---|---|---|---|---|
| 46 | 41 | 13 | 57 | 21 | 42 | 22 | 44 | 54 | 32 | 1 |
| 39 | 55 | 19 | 56 | 23 | 51 | 30 | 30 | 35 | 56 | 0 |
| 42 | 33 | 14 | 35 | 29 | 53 | 30 | 51 | 33 | 59 | 1 |
| 51 | 25 | 18 | 23 | 27 | 28 | 24 | 39 | 21 | 30 | 0 |
| 36 | 58 | 20 | 42 | 26 | 49 | 28 | 51 | 21 | 36 | 1 |
| 60 | 30 | 16 | 41 | 26 | 58 | 28 | 23 | 26 | 41 | 1 |
| 28 | 26 | 12 | 58 | 23 | 46 | 51 | 41 | 54 | 27 | 0 |
| 45 | 37 | 10 | 50 | 26 | 26 | 27 | 27 | 32 | 54 | 1 |
| 47 | 49 | 16 | 37 | 20 | 49 | 20 | 37 | 44 | 28 | 0 |
| 46 | 55 | 12 | 59 | 26 | 38 | 22 | 20 | 43 | 56 | 1 |
| 56 | 27 | 13 | 26 | 20 | 26 | 45 | 26 | 53 | 34 | 1 |
注:
- 表格中xi 表示样本特征(输入),而y表示值(输出)。
- 制作数据集时,需要先将样本数据导入excel表格,再将文件保存为.csv格式的文件,最后再使用函数np.loadtxt(DATASETS_PATH + “文件名.csv”, delimiter=“,”, dtype=np.float32, skiprows=1)即可完成数据导入。
源码与分析
首先使用 numpy 加载数据集,并且将模型的输入与输出值分别取出。
def dataLoader():
"""
加载数据集
"""
xy = np.loadtxt(DATASETS_PATH + "/my_test/my_test.csv", delimiter=",", dtype=np.float32, skiprows=1)
x_data = torch.from_numpy(xy[:, :-1])
y_data = torch.from_numpy(xy[:, [-1]])
return x_data, y_data
定义模型,在这个模型的最初输入是 10 维数据,输出是 1 维数据。
class my_model(nn.Module):
def __init__(self):
super(my_model, self).__init__()
self.network = nn.Sequential(
nn.Linear(10, 5),
nn.ReLU(),
nn.Linear(5, 2),
nn.ReLU(),
nn.Linear(2, 1)
)
def forward(self, x):
y_pred = self.network(x)
return y_pred
网络结构:self.network是一个由多个层组成的序列,使用nn.Sequential来组织。这意味着数据将按照定义的顺序依次通过这些层。
- 第一层:
nn.Linear(10, 5),这是一个全连接层,将输入特征从10维减少到5维。 - 第二层:
nn.Sigmoid(),这是一个激活函数,将第一层的输出通过Sigmoid函数,输出值范围在0到1之间,通常用于二分类问题。 - 第三层:
nn.Linear(5, 2),又一个全连接层,将特征从5维减少到2维。 - 第四层:
nn.Sigmoid(),再次使用Sigmoid激活函数。 - 第五层:
nn.Linear(2, 1),将特征从2维减少到1维,这通常意味着模型的输出是一个单一的值。 - 第六层:
nn.Sigmoid(),最后一层也是Sigmoid激活函数。
前向传播:forward方法定义了数据通过模型的方式。输入x将通过self.network,即上面定义的序列,最终得到预测值y_pred。
输出:模型的输出是一个经过Sigmoid函数的单一值。这意味着无论输入特征如何,模型的输出都将是一个介于0和1之间的值,这通常用于二元分类问题,其中输出可以解释为属于某个类别的概率。
模型训练有六个步骤:数据集加载、模型定义、损失函数定义、优化器定义、训练模型、测试模型。一般情况下数据加载时会得到两部分数据:训练集与测试集,训练集通常用于模型训练或作为测试集的一部分,测试集用于测试所得到模型的准确度也可提高模型的泛化能力。
下面是模型训练的代码,此次训练直接使用所有测试集,且并未添加测试集。
def train():
# step1 数据加载
x_data, y_data = dataLoader()
# step2 模型定义
model = my_model()
# step3 损失函数定义
loss = nn.MSELoss()
# step4 优化器定义
optimizer = torch.optim.SGD(model.parameters(), lr=0.01)
# step5 训练
loss_list = []
for i in range(5):
_loss_list = []
for epoch in range(100):
# 前向传播
y_pred = model(x_data)
# 计算损失
loss_value = loss(y_pred, y_data)
_loss_list.append(loss_value.item())
# 反向传播
optimizer.zero_grad()
loss_value.backward()
# 更新参数
optimizer.step()
loss_list.append(_loss_list)
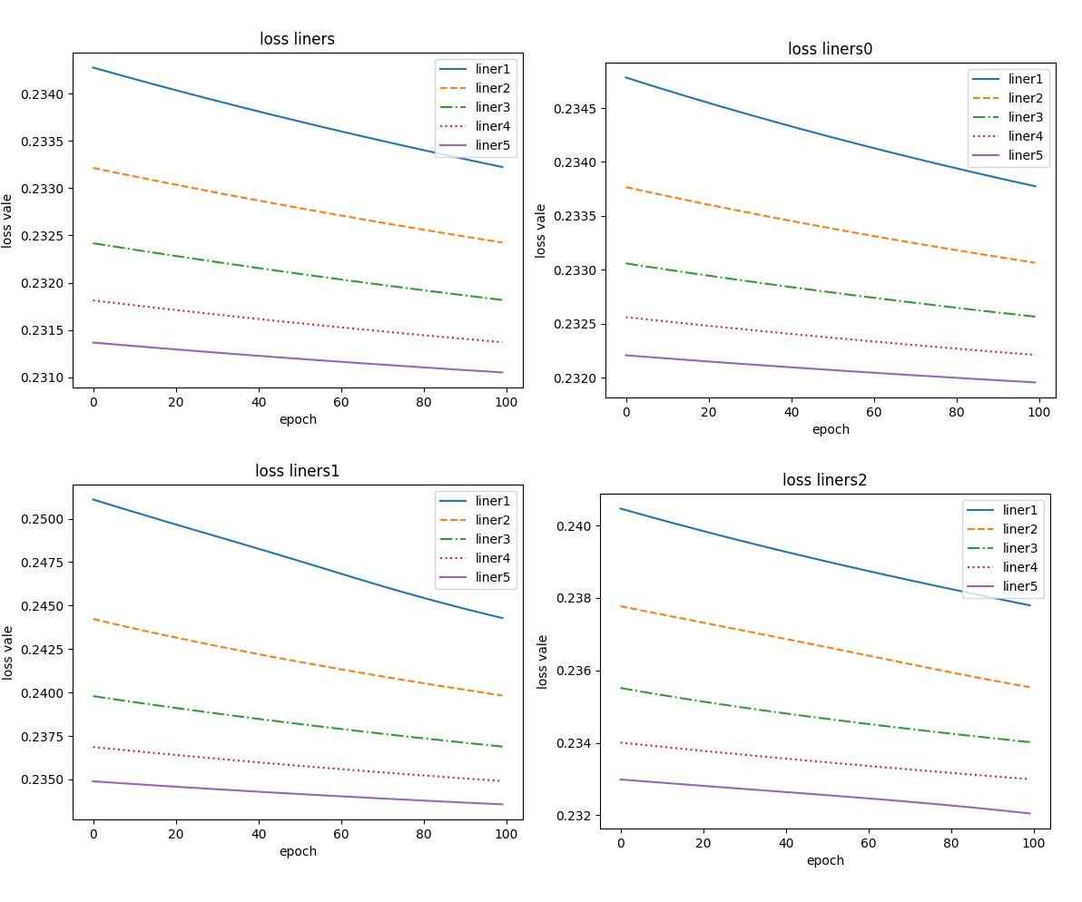
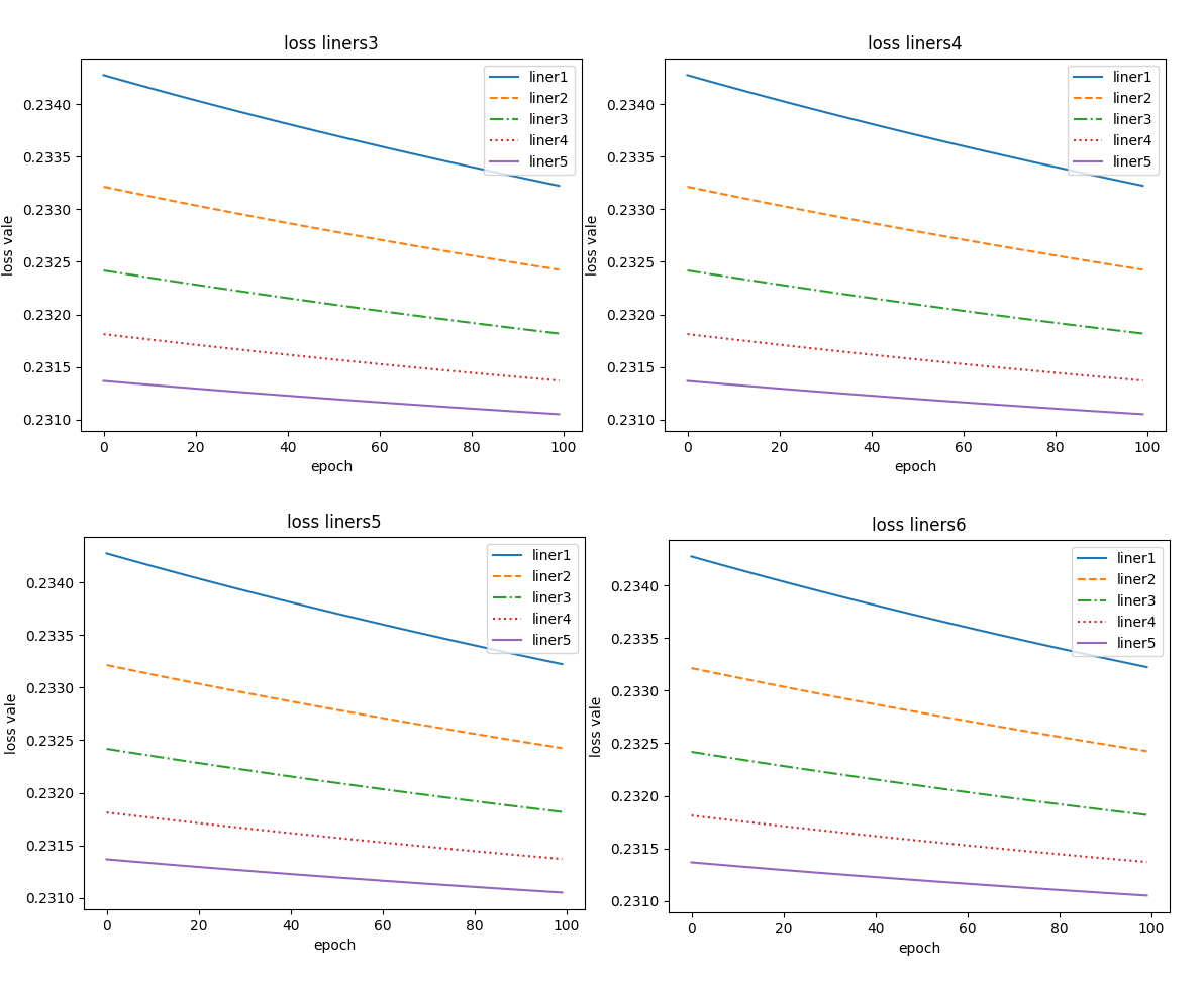
# 绘制损失曲线
draw_liners((range(len(loss_list[0])), loss_list[0], '-', 'liner1'),
(range(len(loss_list[1])), loss_list[1], '--', 'liner2'),
(range(len(loss_list[2])), loss_list[2], '-.', 'liner3'),
(range(len(loss_list[3])), loss_list[3], ':', 'liner4'),
(range(len(loss_list[4])), loss_list[4], 'solid', 'liner5'),
labels=['epoch', 'loss vale'], img_name="loss liners0",
is_display=False, is_save=True, imgs_path=IMAGES_PATH)
未添加随机数种子时,得到结果:

添加随机数种子后得到结果

在 pytorch 中可使用torch.manual_seed(11) 添加随机数种子,添加随机数种子用于初始化随机数生成器的状态,能够确保实验的可重复性。
问题阐述与分析
好!那么问题来了。
- 上述八张图片中曲线的线型大致一致,均为单调减函数,同一个 liner 相差并不是特别大,但不同 liner 数值上相差非常大。
- 未添加随机数种子时,每次训练所得到的曲线虽然线型一致,但是值存在一定的误差。
- 而添加随机数种子后,每次重新训练每个单独的 liner 都一样,但是不同 liner 值却不一样。
询问 AI 后,看 AI 的结果:
使用相同模型和数据集进行训练时,每次运行得到的损失值可能会不同,这可能是由以下几个因素导致的:
- 初始化权重的差异:神经网络在训练前需要初始化权重,不同的初始化方法或随机种子会导致权重初始化值不同,从而影响最终的损失值 。
- 学习率设置:如果学习率过大,可能会导致损失值突然变得很大,即模型训练出现“跑飞”的情况 。
- 数据集的划分和顺序:即使是相同的数据集,不同的数据划分和读取顺序也可能导致每次训练损失值波动 。
- 优化器的选择和配置:不同的优化器(如SGD、Adam等)或其配置参数(如动量、衰减率等)会影响模型训练的动态过程,进而影响损失值 。
- 正则化策略:正则化项的加入和参数(如L1、L2正则化的系数)会影响损失函数的值,不同的正则化设置可能导致损失值的变化 。
- 梯度消失或爆炸问题:在深度学习中,梯度消失或爆炸问题可能导致模型训练不稳定,从而影响损失值的稳定下降 。
- 训练过程中的随机性:如Dropout等引入随机性的操作,每次执行时都可能不同,进而影响损失值 。
- 数据预处理:数据的标准化、归一化等预处理步骤的不同,也可能导致损失值的波动 。
- 模型结构设计:模型结构的不同,如层数、神经元数量等,也会影响损失值的最终结果 。
- 损失函数的选择:不同的损失函数可能对模型训练过程中的损失值有不同的影响,特别是在分类问题中,交叉熵损失函数的选择会对损失值产生影响 。
小编的想法:
- 计算精度:因为计算机内部参与运算的数据大小会受到一定的限制,这就有可能会造成最终结果产生一定误差。在控制台中打印每次 loss 得到结果loss_value.item()=0.2310512214899063,个人猜测这种可能性较小。
- 模型的随机性:神经网络算法具有一定的随机性,如初始化随机权重,因此用同样的数据训练同一个网络会得到不同的结果。模型定义时,可使用下面这段代码查看模型参数。
self.linear = nn.Linear(in_features, out_features)
for name, p in self.linear.named_parameter():
print(name, ": ", p)
- 第三方库的随机性:在本模型中,并未引入任何第三方库,因此小编认为此种情况不符合这个实例。
928

被折叠的 条评论
为什么被折叠?



