牛顿法配电网潮流计算matlab程序
传统牛顿—拉夫逊算法,简称牛顿法,是将潮流计算方程组F(X)=0,进行泰勒展开。因泰勒展开有许多高阶项,而高阶项级数部分对计算结果影响很小,当忽略一阶以上部分时,可以简化对方程的求解计算。当忽略一阶以上部分后,牛顿法的求解过程实质是逐次线性化,这是反复形成、求解修正方程的过程[16]。其方程式如下:

(18)
在公式(18)中,和分别表示状态变量与其修正量组成的列向量;为方阵,一般叫作雅可比矩阵,第i行j列元素为 ,它的大小为第i个函数对第j个变量求偏导;k则表示阵元素都在处取;同时,F(X)是由n个函数组成的n维列向量;在极坐标下,节点电压可如下表示:

(19)
若和为已知大小的功率,与从节点电压求得的有功和无功功率之差,为功率的不平衡量,则节点功率不平衡量可用如下公式计算:

(20)
节点功率可用各节点电压模值与相位表示,如下公式所示:

(21)
式(21)中,为节点i和j的相位差。
由以公式(18)-(21)推得牛顿法下,其潮流计算方程可写为:

(22)
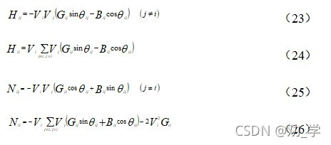
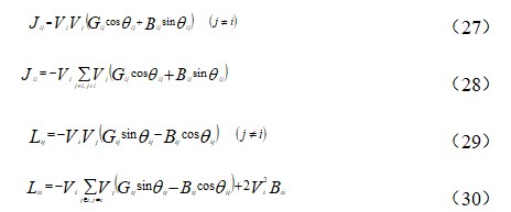
公式(22)中,雅可比矩阵的各元素为

(23)
(24)
(25)
(26)

(27)
(28)
(29)
(30)
其中,节点导纳矩阵的元素由Gij 、Bij表示。
随着国内外配电系统自动化水平不断提高,电力行业人员也开始更加深入地研究配电网系统。配电网潮流计算作为DMS(配电管理系统)的重要基础,受到广大行业界人士的关注。因此,配电网潮流计算,已然成为配电网分析的重要内容。配电网与输电网相比,两者有明显不同,前者一般采用网格结构,线路参数R/X的值较大,三相负荷不对称程度明显。这些特点使得在输电网中计算有效,如牛顿法,不再适用于配电网。为此,有学者提出了适用于配电网的潮流算法,主要包括基于回路方程的潮流算法、前推回推法和改进的牛顿-拉夫逊法[17](简称改进的牛拉法)。其中,基于回路方程的方法具有较强的网格处理能力和良好的收敛性,但该方法的节点数和分支数处理非常复杂。前推回推法是针对配电网的树状特性,可以避免潮流计算中的病态条件,同时速度更快。然而,由于其公式和算法与牛顿潮流算法不同,其在其它方面(如潮流优化)的应用将受到限制。
改进牛顿法通过对传统法进行一定的近似,将J阵写成UDUT 的形式。U仅由网络拓扑决定,是一个上三角矩阵;D是一个对角矩阵。在牛拉法中,需要对J阵因子分解与前代回代,改进法则只有前推回代的计算过程。它很好地改善了传统法以及前推回推法。经过算例计算结果证明,改进法可以避免J阵病态,且拥有前推回代法的收敛速度、精度,又由于它属于牛顿型算法,所以该算法已经得到了广泛的运用[18]。
下面附带电力系统分析牛顿法算例及matlab程序:
网络结构如下:
系统参数如下:
在上图所示的简单电力系统中,系统中节点1、2为PQ节点,节点3为PV节点,节点4为平衡节点,已给定P1s+jQ1s=-0.30-j0.18 P2s+jQ2s=-0.55-j0.13 P3s=0.5 V3s=1.10 V4s=1.05∠0°
容许误差ε=10-5
节点导纳矩阵:

各节点电压:
节点 e f v ζ
1.0.984637 -0.008596 0.984675 -0.500172
2.0.958690 -0.108387 0.964798 -6.450306
3.1.092415 0.128955 1.100000 6.732347
4.1.050000 0.000000 1.050000 0.000000
各节点功率:
节点 P Q
1-0.300000 -0.180000
2–0.550000 -0.130000
3 0.500000 -0.551305
4 0.367883 0.264698
matlab程序如下:
// 牛顿法潮流计算matlab程序
clc;
Y=[1.042093-8.242876i -0.588235+2.352941i 3.666667i -0.453858+1.891074i;
-0.588235+2.352941i 1.069005-4.727377i 0 -0.480769+2.403846i;
3.666667i 0 -3.333333i 0;
-0.453858+1.891074i -0.480769+2.403846i 0 0.934627-4.261590i];
%导纳矩阵
e=[1 1 1.1 1.05];%初始电压
f=zeros(4,1);
V=zeros(4,1);%节点电压
Ws=[-0.3 ; -0.18 ; -0.55 ; -0.13 ; 0.5 ; 1.1];%初始功率
W=zeros(6,1);
n=length(Y);%节点数
J=zeros(2*(n-1));%雅可比矩阵
delta_v=zeros(1,6);
delta_w=Ws;
G=real(Y);
B=imag

本文详细介绍了牛顿法在配电网潮流计算中的原理和MATLAB程序实现。通过泰勒展开简化方程,利用雅可比矩阵进行线性化迭代,解决配电网中节点电压和功率的计算问题。文中给出了具体的数学公式和MATLAB代码示例,展示了算法的计算流程。此外,还讨论了针对配电网特点的其他潮流算法,如改进的牛顿-拉夫逊法,强调了其在实际应用中的优势。
最低0.47元/天 解锁文章
1万+

被折叠的 条评论
为什么被折叠?



